Suppr超能文献

硫族元素影响的基于苯并硫杂氮杂萘的、-配位二氟硼配合物:从激光染料到室温磷光发射体。

Chalcogen-Influenced Benzochalcogenazolo-Based ,-Coordinated Difluoroboron Complexes: From Lasing Dyes to Room-Temperature-Phosphorescence Emitters.

作者信息

Kutsiy Stepan, Pytlarz Radosław, Hotynchan Andrii, Marek-Urban Paulina H, Luboradzki Roman, Jean-Woldemar Enzo, Volyniuk Dmytro, Chénais Sébastien, Forget Sébastien, Durka Krzysztof, Grazulevicius Juozas V, Potopnyk Mykhaylo A

机构信息

Institute of Organic Chemistry, Polish Academy of Sciences, Kasprzaka 44/52, 01-224 Warsaw, Poland.

Department of Electronic Devices, Lviv Polytechnic National University, Sviatoho Yura sq. 1, Lviv 79013, Ukraine.

出版信息

Inorg Chem. 2025 Jul 21;64(28):14704-14716. doi: 10.1021/acs.inorgchem.5c02557. Epub 2025 Jul 7.

Abstract

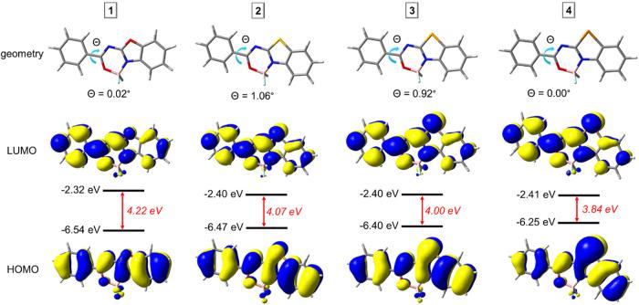
Four ,-coordinated benzochalcogenazolo-based boron difluoride complexes were designed, synthesized, and spectroscopically investigated in solutions, crystalline state, and dye-doped poly(methyl methacrylate) films. The single crystal analysis revealed that oxadiazaborinine dyes adopt planar geometry with multiple intermolecular hydrogen-bonding interactions. The benzoxazole- and benzothiazole-containing dyes exhibit highly intensive photoluminescence in the crystalline state and when dispersed in the inert polymer, accompanied by high-rate constants of radiative deactivation (2.2 × 10 s and 2.7 × 10 s, respectively). This results in their amplified spontaneous emission ability with very low thresholds of 11 and 4.7 μJ/cm, respectively, and very narrow bandwidths with the values of full widths at half maxima of 10 and 6.3 nm. In stark contrast, the benzotellurium-containing analogue shows room temperature phosphorescence with a short phosphorescence lifetime of 9.4 μs, caused by the strong chalcogen heavy-atom effect.

摘要

设计、合成了四种基于苯并硫属氮杂环的二氟化硼配合物,并对其在溶液、晶体状态以及染料掺杂的聚甲基丙烯酸甲酯薄膜中的光谱性质进行了研究。单晶分析表明,恶二唑硼嗪染料采用平面几何结构,具有多种分子间氢键相互作用。含苯并恶唑和苯并噻唑的染料在晶体状态以及分散于惰性聚合物中时表现出高强度的光致发光,同时具有较高的辐射失活速率常数(分别为2.2×10⁸ s⁻¹和2.7×10⁸ s⁻¹)。这使得它们分别具有极低的阈值11和4.7 μJ/cm²的放大自发辐射能力,以及半高宽分别为10和6.3 nm的非常窄的带宽。与之形成鲜明对比的是,含苯并碲的类似物表现出室温磷光,磷光寿命较短,为9.4 μs,这是由强硫属重原子效应引起的。

https://cdn.ncbi.nlm.nih.gov/pmc/blobs/125b/12284858/ea6de4abdb01/ic5c02557_0001.jpg

文献AI研究员

20分钟写一篇综述,助力文献阅读效率提升50倍。

立即体验

用中文搜PubMed

大模型驱动的PubMed中文搜索引擎

马上搜索

文档翻译

学术文献翻译模型,支持多种主流文档格式。

立即体验