Suppr超能文献

磁铁矿(FeO)中Verwey转变的线性/二次序参量耦合描述

A linear/quadratic order parameter coupling description of the Verwey transition in magnetite, FeO.

作者信息

Carpenter Michael A, Harrison Richard J, Shaw-Stewart James, Adachi Kanta, Senn Mark S, Howard Christopher J

机构信息

Department of Earth Sciences, University of Cambridge, Downing Street, Cambridge CB2 3EQ, United Kingdom.

Everoze Partners Ltd, Lancaster Environment Centre, Lancaster University, Lancaster LA1 4YQ, United Kingdom.

出版信息

Acta Crystallogr B Struct Sci Cryst Eng Mater. 2025 Aug 1;81(Pt 4):427-436. doi: 10.1107/S2052520625004779. Epub 2025 Jul 8.

Abstract

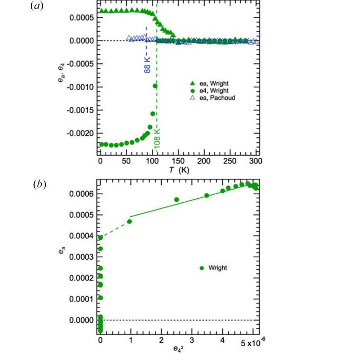
The change in symmetry Fd3m → Cc at the Verwey transition in magnetite puts it in a class of phase transitions with linear/quadratic coupling between two separate order parameters. Direct coupling between an order parameter Q, to represent an electronic instability, and an order parameter Q, to represent cation charge ordering, has the form λQQ, with T(Q) < T(Q), but there must also be indirect coupling through the common strain, e, due to strain coupling terms λeQ and λeQ. Q has the symmetry of irrep Γ while the pattern of cation charge ordering of Fe and Fe on octahedral sites depends on some combination of irreps Δ, X, X, W and W. The software package ISOVIZ has been used to show how reported patterns of order for the simplified structure in space group P2/c can be understood in terms of a linearly dependent mix of patterns with symmetry Δ and X, so that Q can be treated in the first instance as though it has the symmetry of Δ. Spontaneous strains calculated from published lattice parameters and symmetry-adapted atomic displacements from previous structural refinements in space group Cc have been used to confirm that the two order parameters have different temperature dependences, consistent with this phenomenological treatment. The effect of chemical doping can be understood in terms of the development of local strain heterogeneity which acts to suppress the macroscopic strains and which appears to have a greater influence on charge ordering than on the electronic structure.

摘要

磁铁矿在韦尔维转变时从对称Fd3m转变为Cc,使其处于一类相变中,这类相变在两个独立的序参量之间具有线性/二次耦合。一个代表电子不稳定性的序参量Q与一个代表阳离子电荷有序化的序参量Q之间的直接耦合形式为λQQ,其中T(Q) < T(Q),但由于应变耦合项λeQ和λeQ,还必定存在通过公共应变e的间接耦合。Q具有不可约表示Γ的对称性,而八面体位置上Fe和Fe的阳离子电荷有序化模式取决于不可约表示Δ、X、X、W和W的某种组合。软件包ISOVIZ已被用于展示如何根据具有对称性Δ和X的模式的线性相关混合来理解空间群P2/c中简化结构的报道有序模式,从而在第一近似下可将Q视为具有Δ的对称性。根据已发表的晶格参数以及从空间群Cc中先前结构精修得到的对称适配原子位移计算出的自发应变,已被用于证实这两个序参量具有不同的温度依赖性,这与这种唯象处理是一致的。化学掺杂的影响可以根据局部应变不均匀性的发展来理解,这种局部应变不均匀性起到抑制宏观应变的作用,并且似乎对电荷有序化的影响比对电子结构的影响更大。

https://cdn.ncbi.nlm.nih.gov/pmc/blobs/ff4c/12322932/041620349660/b-81-00427-fig1.jpg

文献检索

告别复杂PubMed语法,用中文像聊天一样搜索,搜遍4000万医学文献。AI智能推荐,让科研检索更轻松。

立即免费搜索

文件翻译

保留排版,准确专业,支持PDF/Word/PPT等文件格式,支持 12+语言互译。

免费翻译文档

深度研究

AI帮你快速写综述,25分钟生成高质量综述,智能提取关键信息,辅助科研写作。

立即免费体验