• 文献检索
  • 文档翻译
  • 深度研究
  • 学术资讯
  • Suppr Zotero 插件Zotero 插件
  • 邀请有礼
  • 套餐&价格
  • 历史记录
应用&插件
Suppr Zotero 插件Zotero 插件浏览器插件Mac 客户端Windows 客户端微信小程序
定价
高级版会员购买积分包购买API积分包
服务
文献检索文档翻译深度研究API 文档MCP 服务
关于我们
关于 Suppr公司介绍联系我们用户协议隐私条款
关注我们

Suppr 超能文献

核心技术专利:CN118964589B侵权必究
粤ICP备2023148730 号-1Suppr @ 2026

文献检索

告别复杂PubMed语法,用中文像聊天一样搜索,搜遍4000万医学文献。AI智能推荐,让科研检索更轻松。

立即免费搜索

文件翻译

保留排版,准确专业,支持PDF/Word/PPT等文件格式,支持 12+语言互译。

免费翻译文档

深度研究

AI帮你快速写综述,25分钟生成高质量综述,智能提取关键信息,辅助科研写作。

立即免费体验

踝关节撞击——关于预期结果的系统评价

Impingement of the ankle joint-a systematic review on the expected outcome.

作者信息

Hamberger Maximilian A, Saller Maximilian M, Böcker Wolfgang, Polzer Hans, Baumbach Sebastian F

机构信息

Department of Orthopaedics and Trauma Surgery, Musculoskeletal University Center Munich (MUM), University Hospital, LMU Munich, Ziemssenstraße 5, Munich, 80336, Germany.

Department of Orthopaedics and Trauma Surgery, Musculoskeletal University Center Munich (MUM), University Hospital, Ludwig-Maximilians-University (LMU), Fraunhoferstraße 20, Planegg/Martinsried, 82152, Germany.

出版信息

BMC Musculoskelet Disord. 2025 Jul 12;26(1):678. doi: 10.1186/s12891-025-08785-8.

DOI:10.1186/s12891-025-08785-8
PMID:40646513
原文链接:https://pmc.ncbi.nlm.nih.gov/articles/PMC12254996/
Abstract

BACKGROUND

Impingement syndrome of the ankle is a multifaceted condition. It can affect all regions within the ankle joint and can be caused either by bony prominences or soft tissue. Exact numbers on the incidences are missing, prevalence rates up to 60% are estimated in certain risk groups. Previous systematic reviews have focused on specific anterior or posterior ankle impingements. Still, a comprehensive overview over impingement syndromes of the ankle and the outcome to be expected is missing. This systematic review aims at giving a comprehensive overview on studies reporting on the outcome of any kind of ankle impingement.

METHODS

A systematic review was conducted, based on a thorough search strategy in four databases following the PRISMA guidelines. Included were all studies reporting on the outcome for any sort of ankle impingement. Assessed data were the level of evidence, study details, general demographics, injury details, surgical treatment, postoperative treatment protocol, follow-up time, complications, and outcome. Analyzed were comparable outcome parameters presented in at least three studies.

RESULTS

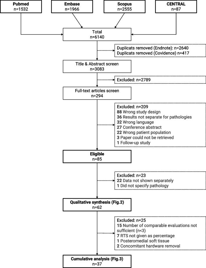
Out of 3083 screened abstracts, 85 studies were eligible for qualitative and 37 studies for quantitative analysis. The AOFAS was assessed by 21 studies, with significant postoperative improvement in all studies. In all but two studies, mean postoperative AOFAS scores above 80 points were achieved. The VAS pain on a 10-point Likert scale was reported in 12 studies and improved in all. Return to sports was reported as a percentage/duration in 17/14 studies. At least 70% of patients returned to sports in all but one study.

CONCLUSIONS

This study is the first to provide a comprehensive overview over the expected outcomes following surgical treatment of any ankle impingement syndrome. The great heterogeneity of the studies did not allow a pathology-specific comparison. Surgery apparently improves the symptoms considerably, but the outcome varies between the different types of impingements, with a posterior os trigonum impingement resulting in the most favorable outcomes.

TRIAL REGISTRATION

The study was a-priori registered at Prospero (#CRD42022354685) on August 19th, 2022.

LEVEL OF EVIDENCE

Level 1 Systematic Review.

摘要

背景

踝关节撞击综合征是一种多方面的病症。它可影响踝关节内的所有区域,可由骨突或软组织引起。目前尚缺乏确切的发病率数据,据估计某些风险人群中的患病率高达60%。以往的系统评价主要集中在特定的踝关节前侧或后侧撞击。然而,目前仍缺乏对踝关节撞击综合征及其预期结果的全面概述。本系统评价旨在全面概述报告任何类型踝关节撞击结果的研究。

方法

按照PRISMA指南,在四个数据库中进行了全面的检索策略,开展了一项系统评价。纳入所有报告任何类型踝关节撞击结果的研究。评估的数据包括证据水平、研究细节、一般人口统计学、损伤细节、手术治疗、术后治疗方案、随访时间、并发症和结果。分析至少三项研究中呈现的可比结果参数。

结果

在3083篇筛选出的摘要中,85项研究符合定性分析要求,37项研究符合定量分析要求。21项研究对美国足踝外科协会(AOFAS)评分进行了评估,所有研究术后均有显著改善。除两项研究外,所有研究术后AOFAS平均评分均高于80分。12项研究报告了10分李克特量表上的视觉模拟评分(VAS)疼痛情况,所有研究中疼痛均有所改善。17/14项研究报告了恢复运动的百分比/持续时间。除一项研究外,所有研究中至少70%的患者恢复了运动。

结论

本研究首次全面概述了任何踝关节撞击综合征手术治疗后的预期结果。研究的高度异质性不允许进行病理特异性比较。手术显然能显著改善症状,但不同类型撞击的结果有所不同,后踝三角骨撞击的结果最为理想。

试验注册

该研究于2022年8月19日在国际前瞻性系统评价注册库(#CRD42022354685)进行了预注册。

证据水平

1级系统评价。

https://cdn.ncbi.nlm.nih.gov/pmc/blobs/26b3/12254996/cf6eed65efb6/12891_2025_8785_Fig3_HTML.jpg
https://cdn.ncbi.nlm.nih.gov/pmc/blobs/26b3/12254996/92b41cacf8dd/12891_2025_8785_Fig1_HTML.jpg
https://cdn.ncbi.nlm.nih.gov/pmc/blobs/26b3/12254996/58473f90bcfd/12891_2025_8785_Fig2_HTML.jpg
https://cdn.ncbi.nlm.nih.gov/pmc/blobs/26b3/12254996/cf6eed65efb6/12891_2025_8785_Fig3_HTML.jpg
https://cdn.ncbi.nlm.nih.gov/pmc/blobs/26b3/12254996/92b41cacf8dd/12891_2025_8785_Fig1_HTML.jpg
https://cdn.ncbi.nlm.nih.gov/pmc/blobs/26b3/12254996/58473f90bcfd/12891_2025_8785_Fig2_HTML.jpg
https://cdn.ncbi.nlm.nih.gov/pmc/blobs/26b3/12254996/cf6eed65efb6/12891_2025_8785_Fig3_HTML.jpg

相似文献

1
Impingement of the ankle joint-a systematic review on the expected outcome.踝关节撞击——关于预期结果的系统评价
BMC Musculoskelet Disord. 2025 Jul 12;26(1):678. doi: 10.1186/s12891-025-08785-8.
2
Rehabilitation for ankle fractures in adults.成人踝关节骨折康复。
Cochrane Database Syst Rev. 2024 Sep 23;9(9):CD005595. doi: 10.1002/14651858.CD005595.pub4.
3
Falls prevention interventions for community-dwelling older adults: systematic review and meta-analysis of benefits, harms, and patient values and preferences.社区居住的老年人跌倒预防干预措施:系统评价和荟萃分析的益处、危害以及患者的价值观和偏好。
Syst Rev. 2024 Nov 26;13(1):289. doi: 10.1186/s13643-024-02681-3.
4
Hyaluronic acid and other conservative treatment options for osteoarthritis of the ankle.透明质酸及踝关节骨关节炎的其他保守治疗选择
Cochrane Database Syst Rev. 2015 Oct 17;2015(10):CD010643. doi: 10.1002/14651858.CD010643.pub2.
5
Systemic pharmacological treatments for chronic plaque psoriasis: a network meta-analysis.系统性药理学治疗慢性斑块状银屑病:网络荟萃分析。
Cochrane Database Syst Rev. 2021 Apr 19;4(4):CD011535. doi: 10.1002/14651858.CD011535.pub4.
6
Morphological, functional and neurological outcomes of craniectomy versus cranial vault remodeling for isolated nonsyndromic synostosis of the sagittal suture: a systematic review.颅骨切除术与颅骨重塑术治疗孤立性非综合征性矢状缝早闭的形态学、功能及神经学预后:一项系统评价
JBI Database System Rev Implement Rep. 2015 Sep;13(9):309-68. doi: 10.11124/jbisrir-2015-2470.
7
Drugs for preventing postoperative nausea and vomiting in adults after general anaesthesia: a network meta-analysis.成人全身麻醉后预防术后恶心呕吐的药物:网状Meta分析
Cochrane Database Syst Rev. 2020 Oct 19;10(10):CD012859. doi: 10.1002/14651858.CD012859.pub2.
8
Systemic pharmacological treatments for chronic plaque psoriasis: a network meta-analysis.慢性斑块状银屑病的全身药理学治疗:一项网状Meta分析。
Cochrane Database Syst Rev. 2020 Jan 9;1(1):CD011535. doi: 10.1002/14651858.CD011535.pub3.
9
A rapid and systematic review of the clinical effectiveness and cost-effectiveness of topotecan for ovarian cancer.拓扑替康治疗卵巢癌的临床有效性和成本效益的快速系统评价。
Health Technol Assess. 2001;5(28):1-110. doi: 10.3310/hta5280.
10
Does Minimally Invasive Surgery Provide Better Clinical or Radiographic Outcomes Than Open Surgery in the Treatment of Hallux Valgus Deformity? A Systematic Review and Meta-analysis.微创外科治疗拇外翻畸形是否优于开放手术:系统评价和荟萃分析。
Clin Orthop Relat Res. 2023 Jun 1;481(6):1143-1155. doi: 10.1097/CORR.0000000000002471. Epub 2022 Nov 4.

本文引用的文献

1
The injury mechanism correlation between MRI and video-analysis in professional football players with an acute ACL knee injury reveals consistent bone bruise patterns.MRI 与视频分析在职业足球运动员急性 ACL 膝关节损伤中的损伤机制相关性显示出一致的骨挫伤模式。
Knee Surg Sports Traumatol Arthrosc. 2023 Jan;31(1):121-132. doi: 10.1007/s00167-022-07002-6. Epub 2022 Jun 13.
2
Anterior ankle impingment syndrome is less frequent, but associated with a longer absence and higher re-injury rate compared to posterior syndrome: a prospective cohort study of 6754 male professional soccer players.前踝撞击综合征不太常见,但与后踝综合征相比,它的缺勤时间更长,再受伤率更高:一项对 6754 名男性职业足球运动员的前瞻性队列研究。
Knee Surg Sports Traumatol Arthrosc. 2022 Dec;30(12):4262-4269. doi: 10.1007/s00167-022-07004-4. Epub 2022 Jun 10.
3
Endoscopic Treatment of Posterior Ankle Impingement Secondary to Os Trigonum in Recreational Athletes.内镜治疗业余运动员中继发于三角骨的后踝撞击综合征
Foot Ankle Orthop. 2020 Sep 23;5(3):2473011420945330. doi: 10.1177/2473011420945330. eCollection 2020 Jul.
4
Arthroscopic Treatment of Posterior Ankle Impingement Syndrome: Mid-Term Clinical Results and a Learning Curve.关节镜治疗后踝撞击综合征:中期临床结果及学习曲线
Arthrosc Sports Med Rehabil. 2021 May 15;3(4):e1077-e1086. doi: 10.1016/j.asmr.2021.03.013. eCollection 2021 Aug.
5
Arthroscopic os trigonum en-bloc removal outcomes at 6-month follow-up are better compared to Stieda's process resection in patients with posterior ankle impingement syndrome: a prospective comparative study.关节镜下整块切除 os trigonum 与 Stieda PROCESS 切除术治疗后踝撞击综合征的前瞻性对比研究:6 个月随访结果比较。
J ISAKOS. 2021 Nov;6(6):329-332. doi: 10.1136/jisakos-2021-000619. Epub 2021 Jun 30.
6
Open Versus Endoscopic Surgical Treatment of Posterior Ankle Impingement: A Meta-analysis.经内镜与开放性手术治疗踝关节撞击综合征的比较:一项荟萃分析。
Am J Sports Med. 2022 Feb;50(2):563-575. doi: 10.1177/03635465211004977. Epub 2021 May 28.
7
Magnetic resonance imaging findings associated with posterior ankle impingement syndrome are prevalent in elite ballet dancers and athletes.磁共振成像发现与后踝关节撞击综合征相关,在精英芭蕾舞演员和运动员中很常见。
Skeletal Radiol. 2021 Dec;50(12):2423-2431. doi: 10.1007/s00256-021-03811-x. Epub 2021 May 19.
8
Associations between clinical and imaging findings in posterior ankle impingement syndrome: a systematic review.后踝撞击综合征的临床和影像学表现相关性:系统综述。
Acta Radiol. 2022 May;63(5):652-657. doi: 10.1177/02841851211008389. Epub 2021 Apr 19.
9
The PRISMA 2020 statement: an updated guideline for reporting systematic reviews.PRISMA 2020 声明:系统评价报告的更新指南。
BMJ. 2021 Mar 29;372:n71. doi: 10.1136/bmj.n71.
10
Outcomes After Arthroscopic Surgery for Anterior Impingement in the Ankle Joint in the General and Athletic Populations: Does Sex Play a Role?踝关节前撞击关节镜手术后的结果:性别是否起作用?
Am J Sports Med. 2021 Aug;49(10):2834-2842. doi: 10.1177/0363546520980096. Epub 2021 Jan 5.