Suppr超能文献

添加那拉菌素可提高放牧牛的生长性能。

Narasin Supplementation Enhances Growth Performance in Grazing Cattle.

作者信息

Polizel Daniel M, Marques Rodrigo S, Limede Arnaldo C, Cidrini Fernando A A, Gonçalves José Renato S, Carvalho Pedro H V, Pires Alexandre V

机构信息

Department of Biology and Animal Science, Sao Paulo State University, Ilha Solteira 15385-000, SP, Brazil.

School of Animal Sciences, Virginia Polytechnic and State University, Blacksburg, VA 24061, USA.

出版信息

Animals (Basel). 2025 Jul 1;15(13):1939. doi: 10.3390/ani15131939.

Abstract

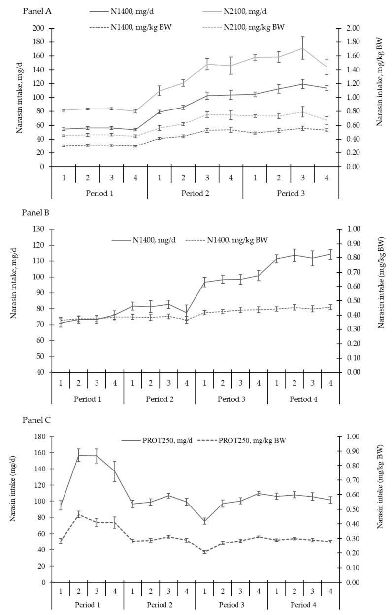
Three experiments were conducted to evaluate the effects of narasin inclusion on the growth performance of grazing beef cattle under similar forage availability and quality. All three experiments were arranged in a randomized complete block design according to the initial BW. Exp 1: 200 Nellore calves (initial BW = 177 ± 15 kg) were randomly allocated in three treatments for 84 d during the rainy season: (1) CONT: mineral supplement; (2) 1400 N: 1400 mg of narasin/kg of supplement; and (3) 2100 N: 2100 mg of narasin/kg of supplement. Narasin inclusion increased ( ≤ 0.01) ADG by 0.077 kg/d and final BW by 6.7 kg, with no differences ( ≥ 0.50) between narasin doses. Exp 2: 240 Nellore calves (initial BW = 195 ± 19 kg) were allocated to CONT or N1400 for 112 d during the rainy season. Narasin inclusion increased ( ≤ 0.01) ADG by 0.082 kg/d and final BW by 9.1 kg. Exp 3: 150 Nellore yearlings (initial BW = 332 ± 22 kg) were allocated for 112 d during the dry season: (1) PROT: protein supplement and (2) PROT250: inclusion of 250 mg of narasin/kg of supplement. Narasin inclusion increased ( ≤ 0.04) ADG by 0.048 kg and final BW by 5.3 kg. For all experiments, narasin inclusion did not impact ( ≥ 0.25) supplement intake. Hence, inclusion of narasin in mineral and protein supplements consistently enhances growth performance of grazing beef cattle across different seasons and production stages, without impacting supplement intake, providing an effective nutritional strategy to enhance productivity on tropical pastures.

摘要

进行了三项试验,以评估在相似的牧草可利用量和质量条件下,添加那拉菌素对放牧肉牛生长性能的影响。所有三项试验均根据初始体重按随机完全区组设计进行安排。试验1:在雨季,将200头内洛尔犊牛(初始体重=177±15千克)随机分配到三种处理中,为期84天:(1)对照组:矿物质补充剂;(2)1400N:每千克补充剂中添加1400毫克那拉菌素;(3)2100N:每千克补充剂中添加2100毫克那拉菌素。添加那拉菌素使平均日增重(ADG)提高(P≤0.01)0.077千克/天,最终体重提高6.7千克,不同那拉菌素剂量之间无差异(P≥0.50)。试验2:在雨季,将240头内洛尔犊牛(初始体重=195±19千克)分配到对照组或N1400组,为期112天。添加那拉菌素使ADG提高(P≤0.01)0.082千克/天,最终体重提高9.1千克。试验3:在旱季,将150头内洛尔一岁龄牛(初始体重=332±22千克)分配为期112天:(1)蛋白质补充剂组;(2)PROT250组:每千克补充剂中添加250毫克那拉菌素。添加那拉菌素使ADG提高(P≤0.04)0.048千克,最终体重提高5.3千克。对于所有试验,添加那拉菌素对补充剂摄入量没有影响(P≥0.25)。因此,在矿物质和蛋白质补充剂中添加那拉菌素可在不同季节和生产阶段持续提高放牧肉牛的生长性能,且不影响补充剂摄入量,为提高热带牧场的生产力提供了一种有效的营养策略。

https://cdn.ncbi.nlm.nih.gov/pmc/blobs/0ae5/12249026/b38ae2bbd471/animals-15-01939-g001.jpg

文献检索

告别复杂PubMed语法,用中文像聊天一样搜索,搜遍4000万医学文献。AI智能推荐,让科研检索更轻松。

立即免费搜索

文件翻译

保留排版,准确专业,支持PDF/Word/PPT等文件格式,支持 12+语言互译。

免费翻译文档

深度研究

AI帮你快速写综述,25分钟生成高质量综述,智能提取关键信息,辅助科研写作。

立即免费体验