Suppr超能文献

热解耦可能促进高山植物降温并避免热应激。

Thermal Decoupling May Promote Cooling and Avoid Heat Stress in Alpine Plants.

作者信息

Morales Loreto V, Sierra-Almeida Angela, Sandoval-Urzúa Catalina, Arroyo Mary T K

机构信息

Grupo de Ecofisiología Térmica (GET), Facultad de Ciencias Naturales y Oceanográficas, Universidad de Concepción, Concepción 4030000, Chile.

Cape Horn International Center (CHIC), Cabo de Hornos 6350000, Chile.

出版信息

Plants (Basel). 2025 Jul 2;14(13):2023. doi: 10.3390/plants14132023.

Abstract

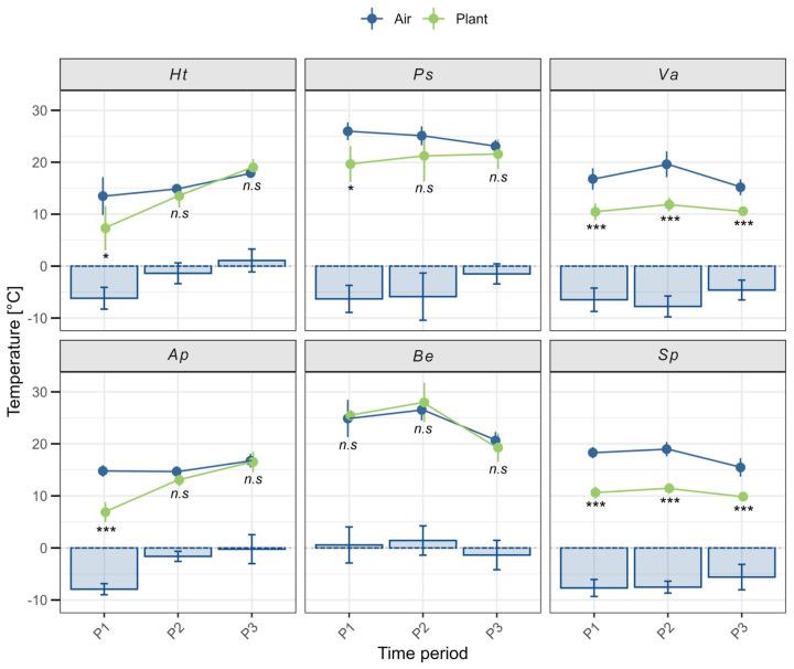
In alpine ecosystems, where low temperatures predominate, prostrate growth forms play a crucial role in thermal resistance by enabling thermal decoupling from ambient conditions, thereby creating a warmer microclimate. However, this strategy may be maladaptive during frequent heatwaves driven by climate change. This study combined microclimatic and plant characterization, infrared thermal imaging, and leaf photoinactivation to evaluate how thermal decoupling (TD) affects heat resistance (LT) in six alpine species from the Nevados de Chillán volcano complex in the Andes of south-central Chile. Results showed that plants' temperatures increased with solar radiation, air, and soil temperatures, but decreased with increasing humidity. Most species exhibited negative TD, remaining 6.7 K cooler than the air temperature, with variation across species, time of day, and growth form; shorter, rounded plants showed stronger negative TD. Notably, despite negative TD, all species exhibited high heat resistance (Mean LT = 46 °C), with LT positively correlated with TD in shrubs. These findings highlight the intricate relationships between thermal decoupling, environmental factors, and plant traits in shaping heat resistance. This study provides insights into how alpine plants may respond to the increasing heat stress associated with climate change, emphasizing the adaptive significance of thermal decoupling in these environments.

摘要

在以低温为主的高山生态系统中,匍匐生长形态通过与周围环境实现热解耦,从而创造出更温暖的微气候,在耐热性方面发挥着关键作用。然而,在气候变化引发的频繁热浪期间,这种策略可能会产生不良适应性。本研究结合了微气候和植物特征、红外热成像以及叶片光失活,以评估热解耦(TD)如何影响来自智利中南部安第斯山脉内华多斯-德奇廉火山群的六种高山植物的耐热性(LT)。结果表明,植物温度随太阳辐射、气温和土壤温度升高而升高,但随湿度增加而降低。大多数物种表现出负热解耦,比气温低6.7K,且因物种、一天中的时间和生长形态而异;较矮、呈圆形的植物表现出更强的负热解耦。值得注意的是,尽管存在负热解耦,但所有物种均表现出较高的耐热性(平均LT = 46°C),灌木的LT与TD呈正相关。这些发现突出了热解耦、环境因素和植物性状在塑造耐热性方面的复杂关系。本研究为高山植物如何应对与气候变化相关的日益增加的热胁迫提供了见解,强调了热解耦在这些环境中的适应性意义。

https://cdn.ncbi.nlm.nih.gov/pmc/blobs/4e4c/12252459/3b4a7bfb4779/plants-14-02023-g002.jpg

文献检索

告别复杂PubMed语法,用中文像聊天一样搜索,搜遍4000万医学文献。AI智能推荐,让科研检索更轻松。

立即免费搜索

文件翻译

保留排版,准确专业,支持PDF/Word/PPT等文件格式,支持 12+语言互译。

免费翻译文档

深度研究

AI帮你快速写综述,25分钟生成高质量综述,智能提取关键信息,辅助科研写作。

立即免费体验