• 文献检索
  • 文档翻译
  • 深度研究
  • 学术资讯
  • Suppr Zotero 插件Zotero 插件
  • 邀请有礼
  • 套餐&价格
  • 历史记录
应用&插件
Suppr Zotero 插件Zotero 插件浏览器插件Mac 客户端Windows 客户端微信小程序
定价
高级版会员购买积分包购买API积分包
服务
文献检索文档翻译深度研究API 文档MCP 服务
关于我们
关于 Suppr公司介绍联系我们用户协议隐私条款
关注我们

Suppr 超能文献

核心技术专利:CN118964589B侵权必究
粤ICP备2023148730 号-1Suppr @ 2026

文献检索

告别复杂PubMed语法,用中文像聊天一样搜索,搜遍4000万医学文献。AI智能推荐,让科研检索更轻松。

立即免费搜索

文件翻译

保留排版,准确专业,支持PDF/Word/PPT等文件格式,支持 12+语言互译。

免费翻译文档

深度研究

AI帮你快速写综述,25分钟生成高质量综述,智能提取关键信息,辅助科研写作。

立即免费体验

环氧树脂体系钢桥面铺装的热场及高温性能

Thermal Field and High-Temperature Performance of Epoxy Resin System Steel Bridge Deck Pavement.

作者信息

Mao Rui, Gu Xingyu, Jiang Jiwang, Zhang Zhu, Lei Kaiwen

机构信息

School of Transportation, Southeast University, Nanjing 211189, China.

出版信息

Materials (Basel). 2025 Jul 1;18(13):3109. doi: 10.3390/ma18133109.

DOI:10.3390/ma18133109
PMID:40649596
原文链接:https://pmc.ncbi.nlm.nih.gov/articles/PMC12251487/
Abstract

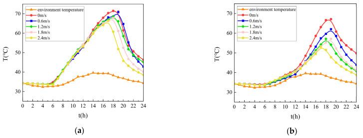
Epoxy Resin System (ERS) steel bridge pavement, which comprises a resin asphalt (RA) base layer and a modified asphalt wearing course, offers cost efficiency and rapid installation. However, the combined effects of traffic loads and environmental conditions pose significant challenges, requiring greater high-temperature stability than conventional pavements. The thermal sensitivity of resin materials and the use of conventional asphalt mixtures may weaken deformation resistance under elevated temperature conditions. This study investigates the thermal field distribution and high-temperature performance of ERS pavements under extreme conditions and explores temperature reduction strategies. A three-dimensional thermal field model developed using finite element analysis software analyzes interactions between the steel box girder and pavement layers. Based on simulation results, wheel tracking and dynamic creep tests confirm the superior performance of the RA05 mixture, with dynamic stability reaching 23,318 cycles/mm at 70 °C and a 2.1-fold improvement in rutting resistance in Stone Mastic Asphalt (SMA)-13 + RA05 composites. Model-driven optimization identifies that enhancing internal airflow within the steel box girder is possible without compromising its structural integrity. The cooling effect is particularly significant when the internal airflow aligns with ambient wind speeds (open-girder configuration). Surface peak temperatures can be reduced by up to 20 °C and high-temperature durations can be shortened by 3-7 h.

摘要

环氧树脂体系(ERS)钢桥路面由树脂沥青(RA)基层和改性沥青磨耗层组成,具有成本效益且安装迅速。然而,交通荷载和环境条件的综合作用带来了重大挑战,需要比传统路面更高的高温稳定性。树脂材料的热敏感性和传统沥青混合料的使用可能会削弱高温条件下的抗变形能力。本研究调查了ERS路面在极端条件下的热场分布和高温性能,并探索了降温策略。使用有限元分析软件开发的三维热场模型分析了钢箱梁与路面层之间的相互作用。基于模拟结果,车辙试验和动态蠕变试验证实了RA05混合料的优越性能,在70℃时动态稳定性达到23318次/毫米,在沥青玛蹄脂碎石混合料(SMA)-13+RA05复合材料中抗车辙能力提高了2.1倍。模型驱动的优化表明,在不损害钢箱梁结构完整性的情况下,可以增强其内部气流。当内部气流与环境风速一致(开口梁配置)时,冷却效果尤为显著。表面峰值温度可降低多达20℃,高温持续时间可缩短3-7小时。

https://cdn.ncbi.nlm.nih.gov/pmc/blobs/1d0b/12251487/20a11ce84afc/materials-18-03109-g011.jpg
https://cdn.ncbi.nlm.nih.gov/pmc/blobs/1d0b/12251487/493fabd93334/materials-18-03109-g001.jpg
https://cdn.ncbi.nlm.nih.gov/pmc/blobs/1d0b/12251487/a5a0f7a780e5/materials-18-03109-g002.jpg
https://cdn.ncbi.nlm.nih.gov/pmc/blobs/1d0b/12251487/c9b96a39be20/materials-18-03109-g003.jpg
https://cdn.ncbi.nlm.nih.gov/pmc/blobs/1d0b/12251487/a59cd63ade9b/materials-18-03109-g004.jpg
https://cdn.ncbi.nlm.nih.gov/pmc/blobs/1d0b/12251487/58845d452717/materials-18-03109-g005.jpg
https://cdn.ncbi.nlm.nih.gov/pmc/blobs/1d0b/12251487/64699d678f7b/materials-18-03109-g006.jpg
https://cdn.ncbi.nlm.nih.gov/pmc/blobs/1d0b/12251487/109adcbef7e6/materials-18-03109-g007.jpg
https://cdn.ncbi.nlm.nih.gov/pmc/blobs/1d0b/12251487/18fe47330103/materials-18-03109-g008.jpg
https://cdn.ncbi.nlm.nih.gov/pmc/blobs/1d0b/12251487/c2eb19231e45/materials-18-03109-g009.jpg
https://cdn.ncbi.nlm.nih.gov/pmc/blobs/1d0b/12251487/f19ea9508027/materials-18-03109-g010.jpg
https://cdn.ncbi.nlm.nih.gov/pmc/blobs/1d0b/12251487/20a11ce84afc/materials-18-03109-g011.jpg
https://cdn.ncbi.nlm.nih.gov/pmc/blobs/1d0b/12251487/493fabd93334/materials-18-03109-g001.jpg
https://cdn.ncbi.nlm.nih.gov/pmc/blobs/1d0b/12251487/a5a0f7a780e5/materials-18-03109-g002.jpg
https://cdn.ncbi.nlm.nih.gov/pmc/blobs/1d0b/12251487/c9b96a39be20/materials-18-03109-g003.jpg
https://cdn.ncbi.nlm.nih.gov/pmc/blobs/1d0b/12251487/a59cd63ade9b/materials-18-03109-g004.jpg
https://cdn.ncbi.nlm.nih.gov/pmc/blobs/1d0b/12251487/58845d452717/materials-18-03109-g005.jpg
https://cdn.ncbi.nlm.nih.gov/pmc/blobs/1d0b/12251487/64699d678f7b/materials-18-03109-g006.jpg
https://cdn.ncbi.nlm.nih.gov/pmc/blobs/1d0b/12251487/109adcbef7e6/materials-18-03109-g007.jpg
https://cdn.ncbi.nlm.nih.gov/pmc/blobs/1d0b/12251487/18fe47330103/materials-18-03109-g008.jpg
https://cdn.ncbi.nlm.nih.gov/pmc/blobs/1d0b/12251487/c2eb19231e45/materials-18-03109-g009.jpg
https://cdn.ncbi.nlm.nih.gov/pmc/blobs/1d0b/12251487/f19ea9508027/materials-18-03109-g010.jpg
https://cdn.ncbi.nlm.nih.gov/pmc/blobs/1d0b/12251487/20a11ce84afc/materials-18-03109-g011.jpg

相似文献

1
Thermal Field and High-Temperature Performance of Epoxy Resin System Steel Bridge Deck Pavement.环氧树脂体系钢桥面铺装的热场及高温性能
Materials (Basel). 2025 Jul 1;18(13):3109. doi: 10.3390/ma18133109.
2
Microscopic Mechanisms and Pavement Performance of Waterborne Epoxy Resin-Modified Emulsified Asphalt.水性环氧树脂改性乳化沥青的微观机理与路用性能
Materials (Basel). 2025 Jun 16;18(12):2825. doi: 10.3390/ma18122825.
3
Mechanical Characteristics of 26H2MF and St12T Steels Under Torsion at Elevated Temperatures.26H2MF和St12T钢在高温扭转下的力学特性
Materials (Basel). 2025 Jul 7;18(13):3204. doi: 10.3390/ma18133204.
4
Research on mechanical characteristics and key technology of integral intelligent lifting construction of large-span heavy steel box girder.大跨度重型钢箱梁整体智能提升施工力学特性及关键技术研究
PLoS One. 2025 Jun 26;20(6):e0326918. doi: 10.1371/journal.pone.0326918. eCollection 2025.
5
Research on asphalt pavement structure with cement treated large size macadam (CTB-50) base course.水泥稳定大粒径碎石(CTB - 50)基层沥青路面结构研究
PLoS One. 2025 Jul 7;20(7):e0325210. doi: 10.1371/journal.pone.0325210. eCollection 2025.
6
Influence of Mineral Powder Content and Gradation on the Aging and High-Temperature Rheological Properties of Styrene-Butadiene-Styrene (SBS) Modified Asphalt.矿粉含量与级配对苯乙烯-丁二烯-苯乙烯(SBS)改性沥青老化及高温流变性能的影响
Materials (Basel). 2025 Jun 13;18(12):2785. doi: 10.3390/ma18122785.
7
Management of urinary stones by experts in stone disease (ESD 2025).结石病专家对尿路结石的管理(2025年结石病专家共识)
Arch Ital Urol Androl. 2025 Jun 30;97(2):14085. doi: 10.4081/aiua.2025.14085.
8
Measurement Performance Improvement of Buried Strain Sensors for Asphalt Pavement Using Mesoscale Finite Element Simulation.基于细观尺度有限元模拟的沥青路面埋入式应变传感器测量性能改进
Sensors (Basel). 2025 Jun 16;25(12):3754. doi: 10.3390/s25123754.
9
Sexual Harassment and Prevention Training性骚扰与预防培训
10
Direct composite resin fillings versus amalgam fillings for permanent posterior teeth.直接复合树脂充填与银汞合金充填用于永久性后牙。
Cochrane Database Syst Rev. 2021 Aug 13;8(8):CD005620. doi: 10.1002/14651858.CD005620.pub3.