Suppr超能文献

miRNA-29b在心肌梗死诊断及心肌梗死后心功能评估中的价值。

The value of miRNA-29b in the diagnosis of myocardial infarction and the evaluation of cardiac function after myocardial infarction.

作者信息

Wang Xiaoxi, Liu Xuexin, Shao Weihua, Duan Yawei, Hou Huiqing

机构信息

Department of Physical Examination Center, Hebei General Hospital, Shijiazhuang, China.

Department of Geriatric Cardiology, Hebei General Hospital, Shijiazhuang, China.

出版信息

Cardiovasc Diagn Ther. 2025 Jun 30;15(3):539-549. doi: 10.21037/cdt-24-561. Epub 2025 Jun 25.

Abstract

BACKGROUND

miRNA-29b affects angiogenesis and cardiac fibrosis, processes relevant to the pathophysiology of myocardial infarction (MI). This study aimed to investigate the accuracy of miRNA-29b in diagnosing acute myocardial infarction (AMI) and its association with postinfarction cardiac function.

METHODS

A total of 106 patients with AMI admitted to the Department of Cardiology of Hebei General Hospital between January 2023 and July 2024 were prospectively enrolled within 24 hours of symptom onset. Indicators including circulating miRNA-29b levels [detected via real-time quantitative polymerase chain reaction (RT-qPCR)], myocardial enzymes, vascular endothelial growth factor (VEGF), and tumor necrosis factor-α (TNF-α) were assessed at baseline. Cardiac function was assessed by echocardiography. Left ventricular ejection fraction (LVEF), left ventricular fractional shortening (LVFS), left ventricular end-diastolic diameter (LVEDd), left ventricular end-systolic diameter (LVEDs), and left ventricular posterior wall thickness at end-diastole (LVPWd) and end-systole (LVPWs) were also measured. Based on echocardiography, patients with AMI (n=106) were divided into an abnormal cardiac function (ACF) group (LVEF <50%; n=50) or a normal cardiac function (NCF) group (LVEF ≥50%; n=56). Thirty healthy participants were selected as the control group. Variables were compared with independent samples t-tests. Correlation and receiver operating characteristic (ROC) curve analyses were also conducted.

RESULTS

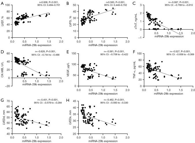
There was no significant differences in baseline demographic or clinical characteristics between the AMI and control groups; however, the control group, compared with the AMI group, had lower levels of low-density lipoprotein cholesterol (2.72±0.58 3.53±0.77 mmol/L; P<0.001) and fasting blood glucose (7.00±1.61 8.77±2.37 mmol/L; P<0.001). Moreover, the relative blood miRNA-29b expression was significantly lower in the AMI group than in the control group (0.31±0.16 0.73±0.40; P<0.01), and the expression was lower in the ACF group than in the NCF group (0.24±0.15 0.39±0.14; P<0.01). Correlation analysis showed that miRNA-29b was positively correlated with LVEF [r=0.608; P<0.001; 95% confidence interval (CI): 0.494-0.701] and LVFS (r=0.583; P<0.001; 95% CI: 0.448-0.702). Conversely, it was negatively correlated with cardiac troponin T (cTnT) level (r=-0.687; P<0.001; 95% CI: -0.769 to -0.610), creatine kinase-MB (r=-0.626; P<0.001; 95% CI: -0.744 to -0.488), VEGF (r=-0.581; P<0.001, 95% CI: -0.708 to -0.422), TNF-α (r=-0.527; P<0.001; 95% CI: -0.658 to -0.369), LVEDd (r=-0.451; P<0.001; 95% CI: -0.578 to -0.284), and LVEDs (r=-0.462; P<0.001; 95% CI: -0.593 to -0.330). ROC analysis indicated good diagnostic performance of miRNA-29b for AMI [area under the curve (AUC) =0.853; 95% CI: 0.767-0.939], and miRNA-29b also showed predictive value for postinfarction cardiac dysfunction (AUC =0.797; 95% CI: 0.673-0.920).

CONCLUSIONS

Blood miRNA-29b is lower in patients with AMI, particularly in those with impaired cardiac function. miRNA-29b demonstrates potential value in the diagnosis of AMI and the assessment of postinfarction cardiac function.

摘要

背景

miRNA-29b影响血管生成和心脏纤维化,这些过程与心肌梗死(MI)的病理生理学相关。本研究旨在探讨miRNA-29b在诊断急性心肌梗死(AMI)中的准确性及其与梗死后心功能的关系。

方法

前瞻性纳入2023年1月至2024年7月期间在河北医科大学第一医院心内科住院的106例AMI患者,于症状发作后24小时内进行研究。在基线时评估包括循环miRNA-29b水平[通过实时定量聚合酶链反应(RT-qPCR)检测]、心肌酶、血管内皮生长因子(VEGF)和肿瘤坏死因子-α(TNF-α)等指标。通过超声心动图评估心功能。还测量了左心室射血分数(LVEF)、左心室短轴缩短率(LVFS)、左心室舒张末期内径(LVEDd)、左心室收缩末期内径(LVEDs)以及左心室舒张末期后壁厚度(LVPWd)和收缩末期后壁厚度(LVPWs)。根据超声心动图,将AMI患者(n = 106)分为心功能异常(ACF)组(LVEF < 50%;n = 50)或心功能正常(NCF)组(LVEF≥50%;n = 56)。选取30名健康参与者作为对照组。采用独立样本t检验比较变量。还进行了相关性分析和受试者工作特征(ROC)曲线分析。

结果

AMI组和对照组在基线人口统计学或临床特征方面无显著差异;然而,与AMI组相比,对照组的低密度脂蛋白胆固醇水平较低(2.72±0.58对3.53±0.77 mmol/L;P < 0.001)和空腹血糖较低(7.00±1.61对8.77±2.37 mmol/L;P < 0.001)。此外,AMI组血液中miRNA-29b的相对表达明显低于对照组(0.31±0.16对0.73±0.40;P < 0.01),且ACF组的表达低于NCF组(0.24±0.15对0.39±0.14;P < 0.01)。相关性分析表明,miRNA-29b与LVEF呈正相关[r = 0.608;P < 0.001;95%置信区间(CI):0.494 - 0.701]和LVFS呈正相关(r = 0.583;P < 0.001;95% CI:0.448 - 0.702)。相反,它与心肌肌钙蛋白T(cTnT)水平呈负相关(r = -0.687;P < 0.001;95% CI:-0.769至-0.610)、肌酸激酶同工酶MB(r = -0.626;P < 0.001;95% CI:-0.744至-0.488)、VEGF(r = -0.581;P < 0.001,95% CI:-0.708至-0.422)、TNF-α(r = -0.527;P < 0.001;95% CI:-0.658至-0.369)、LVEDd(r = -

https://cdn.ncbi.nlm.nih.gov/pmc/blobs/46ba/12246988/c39fc198e8c3/cdt-15-03-539-f1.jpg

文献检索

告别复杂PubMed语法,用中文像聊天一样搜索,搜遍4000万医学文献。AI智能推荐,让科研检索更轻松。

立即免费搜索

文件翻译

保留排版,准确专业,支持PDF/Word/PPT等文件格式,支持 12+语言互译。

免费翻译文档

深度研究

AI帮你快速写综述,25分钟生成高质量综述,智能提取关键信息,辅助科研写作。

立即免费体验