• 文献检索
  • 文档翻译
  • 深度研究
  • 学术资讯
  • Suppr Zotero 插件Zotero 插件
  • 邀请有礼
  • 套餐&价格
  • 历史记录
应用&插件
Suppr Zotero 插件Zotero 插件浏览器插件Mac 客户端Windows 客户端微信小程序
定价
高级版会员购买积分包购买API积分包
服务
文献检索文档翻译深度研究API 文档MCP 服务
关于我们
关于 Suppr公司介绍联系我们用户协议隐私条款
关注我们

Suppr 超能文献

核心技术专利:CN118964589B侵权必究
粤ICP备2023148730 号-1Suppr @ 2026

文献检索

告别复杂PubMed语法,用中文像聊天一样搜索,搜遍4000万医学文献。AI智能推荐,让科研检索更轻松。

立即免费搜索

文件翻译

保留排版,准确专业,支持PDF/Word/PPT等文件格式,支持 12+语言互译。

免费翻译文档

深度研究

AI帮你快速写综述,25分钟生成高质量综述,智能提取关键信息,辅助科研写作。

立即免费体验

近视散光患者眼残余散光与波前引导的飞秒激光原位角膜磨镶术(FS-LASIK)矫正效果的相关性

The correlation between ocular residual astigmatism and wavefront-guided FS-LASIK correction effects in myopic astigmatism patients.

作者信息

Zuo Qingyun, Zhang Yu, He Ming, Wang Siyi, Du ZhiYu

机构信息

Department of Ophthalmology, The Second Affiliated Hospital of Chongqing Medical University, Chongqing, 400010, China.

Medal Eye Institute, Chongqing, 400050, China.

出版信息

Sci Rep. 2025 Jul 15;15(1):25442. doi: 10.1038/s41598-025-08868-5.

DOI:10.1038/s41598-025-08868-5
PMID:40659730
原文链接:https://pmc.ncbi.nlm.nih.gov/articles/PMC12260003/
Abstract

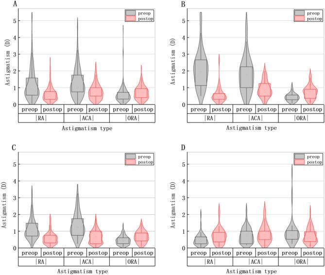
To evaluate the impact of ocular residual astigmatism (ORA) on the astigmatic correction outcomes of wavefront-guided femtosecond laser-assisted in situ keratomileusis (WFG FS-LASIK) in myopic astigmatism patients. Retrospective cohort study. This study analyzed 90 patients (177 eyes) undergoing WFG FS-LASIK at Chongqing Medal Eye Institute between January 2015 and May 2021, all with complete follow-up data spanning 15 days-6 months postoperatively. Participants were categorized into three groups based on the ratio of ORA to refractive astigmatism (RA), and the axial difference between ORA and anterior corneal astigmatism (ACA): Group1 (42 eyes): |ORA|/|RA| < 1 and the axial difference between ORA and ACA was ≦ 45°. Group 2 (86 eyes): |ORA|/|RA| < 1 and the axial difference between ORA and ACA was > 45°. Group3 (49 eyes): |ORA|/|RA| > 1 and the axial difference between ORA and ACA was > 45°. Uncorrected distance visual acuity (UDVA) at 6 months postoperatively was compared among the three groups. Alpins vector analysis was performed to compare the accuracy of astigmatic correction, quantified by: Angle of error (AE): axial deviation between the surgically induced astigmatism (SIA) and target induced astigmatism (TIA); Correction index (CI): ratio of SIA to TIA (ideal value = 1.0). The mean |AE| values significantly differed among groups (P < 0.05), being lowest in Group 1 (9.29°) and highest in Group 3 (26.64°). Correction index (CI) defined as the ratio of SIA to TIA. The mean CI values were1.00 (Group 1), 1.19 (Group 2) and 3.26 (Group 3).No statistically significant differences were observed in postoperative UDVA among the three groups (P > 0.05). In WGF FS-LASIK, the consistency between the axis of ORA and ACA affects the degree of deviation in astigmatic axis correction, but had no significant impact on UDVA.

摘要

评估眼部残余散光(ORA)对近视散光患者波前引导飞秒激光原位角膜磨镶术(WFG FS-LASIK)散光矫正效果的影响。回顾性队列研究。本研究分析了2015年1月至2021年5月期间在重庆爱尔眼科医院接受WFG FS-LASIK手术的90例患者(177只眼),所有患者均有术后15天至6个月的完整随访数据。根据ORA与屈光性散光(RA)的比值以及ORA与角膜前表面散光(ACA)的轴向差异,将参与者分为三组:第1组(42只眼):|ORA|/|RA|<1且ORA与ACA的轴向差异≤45°。第2组(86只眼):|ORA|/|RA|<1且ORA与ACA的轴向差异>45°。第3组(49只眼):|ORA|/|RA|>1且ORA与ACA的轴向差异>45°。比较三组术后6个月的未矫正远视力(UDVA)。采用Alpins矢量分析比较散光矫正的准确性,量化指标为:误差角(AE):手术诱导散光(SIA)与目标诱导散光(TIA)之间的轴向偏差;矫正指数(CI):SIA与TIA的比值(理想值=1.0)。三组间平均|AE|值差异有统计学意义(P<0.05),第1组最低(9.29°),第3组最高(26.64°)。矫正指数(CI)定义为SIA与TIA的比值。第1组、第2组和第3组的平均CI值分别为1.00、1.19和3.26。三组术后UDVA差异无统计学意义(P>0.05)。在WGF FS-LASIK手术中,ORA与ACA轴的一致性影响散光轴矫正的偏差程度,但对UDVA无显著影响。

https://cdn.ncbi.nlm.nih.gov/pmc/blobs/97bf/12260003/2649c9dfb607/41598_2025_8868_Fig5_HTML.jpg
https://cdn.ncbi.nlm.nih.gov/pmc/blobs/97bf/12260003/18a66a1e25f4/41598_2025_8868_Fig1_HTML.jpg
https://cdn.ncbi.nlm.nih.gov/pmc/blobs/97bf/12260003/599da8c89c19/41598_2025_8868_Fig2_HTML.jpg
https://cdn.ncbi.nlm.nih.gov/pmc/blobs/97bf/12260003/0255705a97ea/41598_2025_8868_Fig3_HTML.jpg
https://cdn.ncbi.nlm.nih.gov/pmc/blobs/97bf/12260003/2585d8943262/41598_2025_8868_Fig4_HTML.jpg
https://cdn.ncbi.nlm.nih.gov/pmc/blobs/97bf/12260003/2649c9dfb607/41598_2025_8868_Fig5_HTML.jpg
https://cdn.ncbi.nlm.nih.gov/pmc/blobs/97bf/12260003/18a66a1e25f4/41598_2025_8868_Fig1_HTML.jpg
https://cdn.ncbi.nlm.nih.gov/pmc/blobs/97bf/12260003/599da8c89c19/41598_2025_8868_Fig2_HTML.jpg
https://cdn.ncbi.nlm.nih.gov/pmc/blobs/97bf/12260003/0255705a97ea/41598_2025_8868_Fig3_HTML.jpg
https://cdn.ncbi.nlm.nih.gov/pmc/blobs/97bf/12260003/2585d8943262/41598_2025_8868_Fig4_HTML.jpg
https://cdn.ncbi.nlm.nih.gov/pmc/blobs/97bf/12260003/2649c9dfb607/41598_2025_8868_Fig5_HTML.jpg

相似文献

1
The correlation between ocular residual astigmatism and wavefront-guided FS-LASIK correction effects in myopic astigmatism patients.近视散光患者眼残余散光与波前引导的飞秒激光原位角膜磨镶术(FS-LASIK)矫正效果的相关性
Sci Rep. 2025 Jul 15;15(1):25442. doi: 10.1038/s41598-025-08868-5.
2
[Comparison of visual outcomes between corneal topography-guided FS-LASIK and SMILE for myopia and myopic astigmatism: a network meta-analysis].角膜地形图引导的飞秒激光原位角膜磨镶术与小切口基质透镜切除术治疗近视及近视散光的视觉效果比较:一项网状Meta分析
Zhonghua Yan Ke Za Zhi. 2024 Dec 11;60(12):1004-1012. doi: 10.3760/cma.j.cn112142-20240108-00014.
3
Efficacy of small incision lenticule extraction (SMILE), femtosecond-assisted laser in situ keratomileusis (FS-LASIK), and toric implantable collamer lens (TICL) implantation in correcting myopia with high astigmatism: a vector analysis.小切口基质透镜切除术(SMILE)、飞秒激光制瓣准分子原位角膜磨镶术(FS-LASIK)和可植入式散光人工晶状体(TICL)植入术矫正高度散光近视的疗效:矢量分析
BMC Ophthalmol. 2025 Jul 1;25(1):388. doi: 10.1186/s12886-025-04209-2.
4
[Toric-ICL shows better predictability and efficacy than FS-LASIK for myopia correction in patients with moderate to high myopia and astigmatism].对于中高度近视合并散光患者,散光型有晶体眼人工晶体植入术(Toric-ICL)在近视矫正方面比飞秒激光制瓣准分子原位角膜磨镶术(FS-LASIK)显示出更好的可预测性和疗效。
Nan Fang Yi Ke Da Xue Xue Bao. 2025 Jun 20;45(6):1113-1121. doi: 10.12122/j.issn.1673-4254.2025.06.01.
5
Laser-assisted subepithelial keratectomy (LASEK) versus laser-assisted in-situ keratomileusis (LASIK) for correcting myopia.准分子激光上皮下角膜磨镶术(LASEK)与准分子激光原位角膜磨镶术(LASIK)治疗近视的比较。
Cochrane Database Syst Rev. 2017 Feb 15;2(2):CD011080. doi: 10.1002/14651858.CD011080.pub2.
6
A prospective study to compare the safety and efficacy of toric intra-ocular lens vs. opposite clear corneal incision in patients undergoing phacoemulsification for age-related cataract with pre-existing corneal astigmatism.一项前瞻性研究,比较在患有年龄相关性白内障且伴有角膜散光的患者中,进行白内障超声乳化手术时,使用散光型人工晶状体与采用对侧透明角膜切口的安全性和有效性。
Rom J Ophthalmol. 2025 Jan-Mar;69(1):74-82. doi: 10.22336/rjo.2025.13.
7
Topography-Guided FS-LASIK With PAE Algorithm and Sirius Tomography Data for Correction of Myopia and Myopic Astigmatism.采用PAE算法和Sirius断层扫描数据的地形引导FS-LASIK治疗近视和近视散光
J Refract Surg. 2022 Apr;38(4):235-242. doi: 10.3928/1081597X-20220131-01. Epub 2022 Apr 1.
8
Three-year outcomes of small incision lenticule extraction (SMILE) and femtosecond laser-assisted laser in situ keratomileusis (FS-LASIK) for myopia and myopic astigmatism.小切口微透镜取出术(SMILE)和飞秒激光辅助准分子激光原位角膜磨镶术(FS-LASIK)治疗近视和近视散光的 3 年疗效。
Br J Ophthalmol. 2019 Apr;103(4):565-568. doi: 10.1136/bjophthalmol-2018-312140. Epub 2018 Jul 30.
9
Small Incision Lenticule Extraction (SMILE) Versus Laser Assisted Stromal In Situ Keratomileusis (LASIK) for Astigmatism Corrections: A Systematic Review and Meta-analysis.小切口透镜切除术(SMILE)与准分子原位角膜磨镶术(LASIK)治疗散光的系统评价和Meta分析
Am J Ophthalmol. 2023 Mar;247:181-199. doi: 10.1016/j.ajo.2022.11.013. Epub 2022 Nov 19.
10
Visual Acuity and Quality of Life Results in a Randomized Trial of Topography-Guided LASIK With GIS Software Versus Wavefront-Optimized LASIK.使用地理信息系统(GIS)软件的地形引导准分子原位角膜磨镶术(LASIK)与波前优化LASIK随机试验中的视力和生活质量结果
J Refract Surg. 2025 Jul;41(7):e625-e634. doi: 10.3928/1081597X-20250509-01. Epub 2025 Jul 1.

本文引用的文献

1
The contribution of ocular residual astigmatism to anterior corneal astigmatism in refractive astigmatism eyes.屈光性散光眼中眼内残余散光对角膜前表面散光的影响。
Sci Rep. 2021 Jan 13;11(1):1018. doi: 10.1038/s41598-020-80106-6.
2
Characterisation of internal, refractive, and corneal astigmatism in a UK university student population.英国大学生群体的眼内、折射和角膜散光特征。
Cont Lens Anterior Eye. 2020 Aug;43(4):333-337. doi: 10.1016/j.clae.2020.02.007. Epub 2020 Feb 22.
3
Astigmatism and its components in 12-year-old Chinese children: the Anyang Childhood Eye Study.
12 岁中国儿童的散光及其成分:安阳儿童眼研究。
Br J Ophthalmol. 2019 Jun;103(6):768-774. doi: 10.1136/bjophthalmol-2018-312114. Epub 2018 Aug 2.
4
Intraocular pressure and myopia progression in Chinese children: the Anyang Childhood Eye Study.中国儿童的眼压与近视进展:安阳儿童眼研究。
Br J Ophthalmol. 2019 Mar;103(3):349-354. doi: 10.1136/bjophthalmol-2017-311831. Epub 2018 Jun 1.
5
Ocular residual and corneal astigmatism in a clinical population of high school students.高中生临床人群的眼内残余散光和角膜散光。
PLoS One. 2018 Apr 9;13(4):e0194513. doi: 10.1371/journal.pone.0194513. eCollection 2018.
6
Comparison of Moderate- to High-Astigmatism Corrections Using WaveFront-Guided Laser In Situ Keratomileusis and Small-Incision Lenticule Extraction.使用波前引导的准分子原位角膜磨镶术和小切口基质透镜切除术对中高度散光矫正的比较。
Cornea. 2016 Apr;35(4):523-30. doi: 10.1097/ICO.0000000000000782.
7
Correlation of major components of ocular astigmatism in myopic patients.近视患者眼散光主要成分的相关性
Cont Lens Anterior Eye. 2016 Feb;39(1):20-5. doi: 10.1016/j.clae.2015.06.005. Epub 2015 Jul 15.
8
Ocular residual astigmatism's effect on high myopic astigmatism LASIK surgery.眼残余散光对高度近视散光LASIK手术的影响。
Eye (Lond). 2014 Aug;28(8):1014-9. doi: 10.1038/eye.2014.133. Epub 2014 Jun 27.
9
Laser in situ keratomileusis for astigmatism ≤ 0.75 diopter combined with low myopia: a retrospective data analysis.激光原位角膜磨镶术治疗≤0.75 屈光度散光合并低度近视:回顾性数据分析。
BMC Ophthalmol. 2014 Jan 6;14:1. doi: 10.1186/1471-2415-14-1.
10
Ocular residual astigmatism: effects of demographic and ocular parameters in myopic laser in situ keratomileusis.眼残余散光:近视性激光原位角膜磨镶术中人口统计学和眼部参数的影响。
J Cataract Refract Surg. 2014 Feb;40(2):232-8. doi: 10.1016/j.jcrs.2013.11.015. Epub 2013 Dec 13.