Suppr超能文献

大学生心理空虚的维度及其与自杀史的关系。

Dimensions of the psychological emptiness and its relation with suicide history among college students.

作者信息

Hang Xing, Lü Wenqi, Wu Yan, Kang Xudong, Zhu Ye

机构信息

Business School, Chengdu University, Chengdu, China.

Sleep Medicine Center, West China Hospital, Sichuan University, Chengdu, China.

出版信息

Front Psychol. 2025 Jul 3;16:1626912. doi: 10.3389/fpsyg.2025.1626912. eCollection 2025.

Abstract

BACKGROUND

The psychological emptiness (PE) presents a state of emotional emptiness and lack of meaning, and is increasingly relevant in modern society. However, few studies have tried to assess its dimension and suicide history. This study aims to establish the factorial structure of PE and compare its predictive power against a standard depression inventory.

METHODS

A total of 45,335 university students participated in the study. The 20 items involving lack of purpose, depression, and meaninglessness in life were used to evaluate the PE, alongside the Beck Depression Inventory (BDI). Exploratory factor analysis (EFA) was employed to identify the structure of the 20 items, while confirmatory factor analysis (CFA) was employed to confirm the construct validity of the model. Logistic regression analysis was conducted to assess the predictive relationship between the identified factors and suicide history.

RESULTS

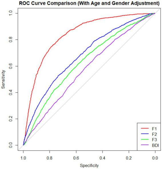
EFA identified a three-factor structure: Depression and Self-Harm/Suicidal Tendencies (DST), Life Meaning and Purpose (LMP), and Study Motivation (SM). The three factors accounted for 23.1, 12.6, and 11.9% of the total variance, respectively. CFA confirmed the construct validity of the model, which showed acceptable fit indices and high internal consistency (Cronbach's > 0.80). Logistic regression analysis revealed that DST was the strongest predictor of suicide risk (AUC = 0.84), outperforming traditional depression scales (BDI, AUC = 0.58).

CONCLUSION

The present study provides a comprehensive framework for understanding PE. The PE may include three psychological dimensions, while DST is a strong predictor of suicide history.

摘要

背景

心理空虚(PE)呈现出一种情感空虚和缺乏意义的状态,在现代社会中愈发重要。然而,很少有研究试图评估其维度和自杀史。本研究旨在确定心理空虚的因子结构,并将其预测能力与标准抑郁量表进行比较。

方法

共有45335名大学生参与了本研究。使用涉及缺乏目标、抑郁和生活无意义的20个项目来评估心理空虚,同时使用贝克抑郁量表(BDI)。采用探索性因子分析(EFA)来确定这20个项目的结构,而验证性因子分析(CFA)则用于确认模型的结构效度。进行逻辑回归分析以评估所确定的因子与自杀史之间的预测关系。

结果

探索性因子分析确定了一个三因子结构:抑郁与自我伤害/自杀倾向(DST)、生活意义与目标(LMP)和学习动机(SM)。这三个因子分别占总方差的23.1%、12.6%和11.9%。验证性因子分析确认了模型的结构效度,该模型显示出可接受的拟合指数和高内部一致性(克朗巴哈系数>0.80)。逻辑回归分析表明,抑郁与自我伤害/自杀倾向是自杀风险的最强预测因子(曲线下面积[AUC]=0.84),优于传统抑郁量表(BDI,AUC=0.58)。

结论

本研究为理解心理空虚提供了一个全面的框架。心理空虚可能包括三个心理维度,而抑郁与自我伤害/自杀倾向是自杀史的一个强有力的预测因子。

https://cdn.ncbi.nlm.nih.gov/pmc/blobs/f81c/12269772/9196ac453202/fpsyg-16-1626912-g001.jpg

文献检索

告别复杂PubMed语法,用中文像聊天一样搜索,搜遍4000万医学文献。AI智能推荐,让科研检索更轻松。

立即免费搜索

文件翻译

保留排版,准确专业,支持PDF/Word/PPT等文件格式,支持 12+语言互译。

免费翻译文档

深度研究

AI帮你快速写综述,25分钟生成高质量综述,智能提取关键信息,辅助科研写作。

立即免费体验