• 文献检索
  • 文档翻译
  • 深度研究
  • 学术资讯
  • Suppr Zotero 插件Zotero 插件
  • 邀请有礼
  • 套餐&价格
  • 历史记录
应用&插件
Suppr Zotero 插件Zotero 插件浏览器插件Mac 客户端Windows 客户端微信小程序
定价
高级版会员购买积分包购买API积分包
服务
文献检索文档翻译深度研究API 文档MCP 服务
关于我们
关于 Suppr公司介绍联系我们用户协议隐私条款
关注我们

Suppr 超能文献

核心技术专利:CN118964589B侵权必究
粤ICP备2023148730 号-1Suppr @ 2026

文献检索

告别复杂PubMed语法,用中文像聊天一样搜索,搜遍4000万医学文献。AI智能推荐,让科研检索更轻松。

立即免费搜索

文件翻译

保留排版,准确专业,支持PDF/Word/PPT等文件格式,支持 12+语言互译。

免费翻译文档

深度研究

AI帮你快速写综述,25分钟生成高质量综述,智能提取关键信息,辅助科研写作。

立即免费体验

用于学习非线性动力学的加权复合算子

Weighted Composition Operators for Learning Nonlinear Dynamics.

作者信息

Russo Benjamin P, Messenger Daniel A, Bortz David, Rosenfeld Joel A

机构信息

Oak Ridge National Laboratory, Computer Science and Mathematics Division, Oak Ridge, TN 37830.

Department of Applied Mathematics, University of Colorado, Boulder, CO 80309.

出版信息

IFAC Pap OnLine. 2024;58(17):97-102. doi: 10.1016/j.ifacol.2024.10.120. Epub 2024 Oct 30.

DOI:10.1016/j.ifacol.2024.10.120
PMID:40687066
原文链接:https://pmc.ncbi.nlm.nih.gov/articles/PMC12276882/
Abstract

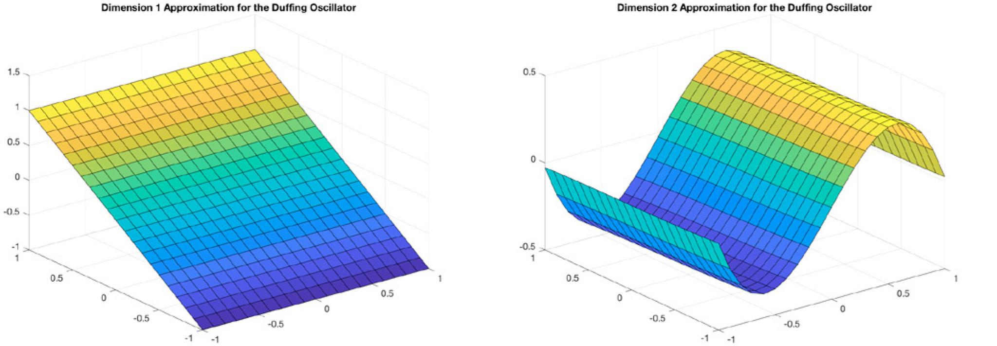
Operator theoretic methods in dynamical system have been dominated by the use of Koopman operators and their continuous time counterparts, such as Koopman Generators and Liouville Operators. The advantage gained from their use primarily stems from the ability to extract subspaces and eigenfunctions within a space of observables that are invariant with respect to the Koopman operator over that space. When this occurs, a dynamic mode decomposition of the systems state provides a linear model for the dynamical system. Not all Koopman operators have eigenfunctions that may be exploited in this manner. However, the framework can still be leveraged for approximations using other operators. In this setting, we present a different operator for the study of dynamical systems, the weighted composition operator. These operators are compact for a wide range of dynamics and spaces, and through their interactions with occupation kernels and vector valued kernels, they admit an estimation of the underlying dynamics. This manuscript presents a new algorithm for the data driven study of dynamical systems from data, and also provides two numerical experiments where convergence is achieved as a proof of concept.

摘要

动力系统中的算子理论方法一直以柯普曼算子及其连续时间对应物(如柯普曼生成器和刘维尔算子)的使用为主导。使用它们所获得的优势主要源于能够在可观测量空间中提取相对于该空间上的柯普曼算子不变的子空间和特征函数。当这种情况发生时,系统状态的动态模式分解为动力系统提供了一个线性模型。并非所有柯普曼算子都具有可以以这种方式利用的特征函数。然而,该框架仍然可以利用其他算子进行近似。在这种情况下,我们提出了一种用于研究动力系统的不同算子,即加权复合算子。这些算子对于广泛的动力学和空间是紧的,并且通过它们与占据核和向量值核的相互作用,它们允许对潜在动力学进行估计。本文提出了一种用于从数据进行动力系统数据驱动研究的新算法,并提供了两个收敛的数值实验作为概念验证。

https://cdn.ncbi.nlm.nih.gov/pmc/blobs/3a53/12276882/8d55d58d8812/nihms-2095407-f0006.jpg
https://cdn.ncbi.nlm.nih.gov/pmc/blobs/3a53/12276882/8a53f09931b3/nihms-2095407-f0001.jpg
https://cdn.ncbi.nlm.nih.gov/pmc/blobs/3a53/12276882/7e46d9afe592/nihms-2095407-f0002.jpg
https://cdn.ncbi.nlm.nih.gov/pmc/blobs/3a53/12276882/59870b7e38f4/nihms-2095407-f0003.jpg
https://cdn.ncbi.nlm.nih.gov/pmc/blobs/3a53/12276882/96e0ac80bf3a/nihms-2095407-f0004.jpg
https://cdn.ncbi.nlm.nih.gov/pmc/blobs/3a53/12276882/f6b38bb2bdfb/nihms-2095407-f0005.jpg
https://cdn.ncbi.nlm.nih.gov/pmc/blobs/3a53/12276882/8d55d58d8812/nihms-2095407-f0006.jpg
https://cdn.ncbi.nlm.nih.gov/pmc/blobs/3a53/12276882/8a53f09931b3/nihms-2095407-f0001.jpg
https://cdn.ncbi.nlm.nih.gov/pmc/blobs/3a53/12276882/7e46d9afe592/nihms-2095407-f0002.jpg
https://cdn.ncbi.nlm.nih.gov/pmc/blobs/3a53/12276882/59870b7e38f4/nihms-2095407-f0003.jpg
https://cdn.ncbi.nlm.nih.gov/pmc/blobs/3a53/12276882/96e0ac80bf3a/nihms-2095407-f0004.jpg
https://cdn.ncbi.nlm.nih.gov/pmc/blobs/3a53/12276882/f6b38bb2bdfb/nihms-2095407-f0005.jpg
https://cdn.ncbi.nlm.nih.gov/pmc/blobs/3a53/12276882/8d55d58d8812/nihms-2095407-f0006.jpg

相似文献

1
Weighted Composition Operators for Learning Nonlinear Dynamics.用于学习非线性动力学的加权复合算子
IFAC Pap OnLine. 2024;58(17):97-102. doi: 10.1016/j.ifacol.2024.10.120. Epub 2024 Oct 30.
2
Short-Term Memory Impairment短期记忆障碍
3
Sexual Harassment and Prevention Training性骚扰与预防培训
4
Management of urinary stones by experts in stone disease (ESD 2025).结石病专家对尿路结石的管理(2025年结石病专家共识)
Arch Ital Urol Androl. 2025 Jun 30;97(2):14085. doi: 10.4081/aiua.2025.14085.
5
Comparison of Two Modern Survival Prediction Tools, SORG-MLA and METSSS, in Patients With Symptomatic Long-bone Metastases Who Underwent Local Treatment With Surgery Followed by Radiotherapy and With Radiotherapy Alone.两种现代生存预测工具 SORG-MLA 和 METSSS 在接受手术联合放疗和单纯放疗治疗有症状长骨转移患者中的比较。
Clin Orthop Relat Res. 2024 Dec 1;482(12):2193-2208. doi: 10.1097/CORR.0000000000003185. Epub 2024 Jul 23.
6
The Black Book of Psychotropic Dosing and Monitoring.《精神药物剂量与监测黑皮书》
Psychopharmacol Bull. 2024 Jul 8;54(3):8-59.
7
Assessing the comparative effects of interventions in COPD: a tutorial on network meta-analysis for clinicians.评估慢性阻塞性肺疾病干预措施的比较效果:面向临床医生的网状Meta分析教程
Respir Res. 2024 Dec 21;25(1):438. doi: 10.1186/s12931-024-03056-x.
8
Cost-effectiveness of using prognostic information to select women with breast cancer for adjuvant systemic therapy.利用预后信息为乳腺癌患者选择辅助性全身治疗的成本效益
Health Technol Assess. 2006 Sep;10(34):iii-iv, ix-xi, 1-204. doi: 10.3310/hta10340.
9
A rapid and systematic review of the clinical effectiveness and cost-effectiveness of paclitaxel, docetaxel, gemcitabine and vinorelbine in non-small-cell lung cancer.对紫杉醇、多西他赛、吉西他滨和长春瑞滨在非小细胞肺癌中的临床疗效和成本效益进行的快速系统评价。
Health Technol Assess. 2001;5(32):1-195. doi: 10.3310/hta5320.
10
How lived experiences of illness trajectories, burdens of treatment, and social inequalities shape service user and caregiver participation in health and social care: a theory-informed qualitative evidence synthesis.疾病轨迹的生活经历、治疗负担和社会不平等如何影响服务使用者和照顾者参与健康和社会护理:一项基于理论的定性证据综合分析
Health Soc Care Deliv Res. 2025 Jun;13(24):1-120. doi: 10.3310/HGTQ8159.

本文引用的文献

1
WEAK SINDy: GALERKIN-BASED DATA-DRIVEN MODEL SELECTION.弱稀疏识别(SINDy):基于伽辽金法的数据驱动模型选择
Multiscale Model Simul. 2021;19(3):1474-1497. doi: 10.1137/20m1343166. Epub 2021 Sep 7.
2
WEAK SINDY FOR PARTIAL DIFFERENTIAL EQUATIONS.偏微分方程的弱辛迪方法
J Comput Phys. 2021 Oct 15;443. doi: 10.1016/j.jcp.2021.110525. Epub 2021 Jun 23.
3
Applied Koopmanism.应用库普曼主义。
Chaos. 2012 Dec;22(4):047510. doi: 10.1063/1.4772195.
4
On learning vector-valued functions.关于学习向量值函数。
Neural Comput. 2005 Jan;17(1):177-204. doi: 10.1162/0899766052530802.