Suppr超能文献

在计时赛和临界功率测试中通过摄氧量测量进行特定运动项目的性能评估。

Sport-specific performance assessment with oxygen uptake measurements in time trials and critical power tests.

作者信息

Bruggisser Fabienne, Knaier Raphael, Schoch Raphael, Infanger Denis, Niemeyer Max, Schmidt-Trucksäss Arno, Wagner Jonathan

机构信息

Department of Sport, Exercise and Health, Faculty of Medicine, University of Basel, Basel, Switzerland.

Department Medicine, Training and Health, Institute of Sports Science and Motologie, Philipps-University Marburg, Marburg, Germany.

出版信息

Sci Rep. 2025 Jul 21;15(1):26398. doi: 10.1038/s41598-025-09900-4.

Abstract

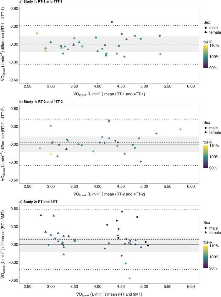
This study investigated the added value of peak oxygen uptake ([Formula: see text]O) measurements during a 4-min time trial (4TT) or a 3-min all-out test (3MT) as compared to a ramp cycling test to enhance sport-specific performance assessment. Data from two cross-sectional studies were analysed. In study 1, 18 male and 13 female recreational cyclists performed two ramp tests and two 4TT on different days. In study 2, 23 male and 17 female CrossFit athletes performed one ramp test followed by a 3MT with an intervening 20-min recovery. The tolerance limits for ∆[Formula: see text]O between the two exercise tests was set to ± 0.13 L·min, reflecting common day-to-day variation in [Formula: see text]O. In study 1, comparing the first ramp test with the first 4TT and comparing the second ramp test with the second 4TT showed mean differences of 0.02 L·min (p = 0.930) and 0.03 L·min (p = 0.873), respectively. However, the tolerance limits were - 0.35-0.31 L·min and - 0.36-0.42 L·min, respectively. In study 2, the mean difference and tolerance limits were 0.08 L·min (p = 0.637) and - 0.42-0.58 L·min. Although the 4TT and 3MT show limited agreement with ramp tests for [Formula: see text]O, the lack of systematic deviations supports their value for sport-specific performance assessment.

摘要

本研究调查了与递增负荷骑行测试相比,4分钟计时赛(4TT)或3分钟全力测试(3MT)期间峰值摄氧量([公式:见正文]O)测量在增强特定运动表现评估方面的附加价值。对两项横断面研究的数据进行了分析。在研究1中,18名男性和13名女性休闲自行车运动员在不同日期进行了两次递增负荷测试和两次4TT。在研究2中,23名男性和17名女性CrossFit运动员进行了一次递增负荷测试,随后进行了一次3MT,并在其间进行了20分钟的恢复。两次运动测试之间∆[公式:见正文]O的公差限值设定为±0.13L·min,反映了[公式:见正文]O的日常常见变化。在研究1中,将第一次递增负荷测试与第一次4TT进行比较,以及将第二次递增负荷测试与第二次4TT进行比较,平均差异分别为0.02L·min(p = 0.930)和0.03L·min(p = 0.873)。然而,公差限值分别为-0.35-0.31L·min和-0.36-0.42L·min。在研究2中,平均差异和公差限值分别为0.08L·min(p = 0.637)和-0.42-0.58L·min。尽管4TT和3MT在[公式:见正文]O方面与递增负荷测试的一致性有限,但缺乏系统偏差支持了它们在特定运动表现评估中的价值。

https://cdn.ncbi.nlm.nih.gov/pmc/blobs/454f/12280066/be91ceaf0f3a/41598_2025_9900_Fig1_HTML.jpg

文献检索

告别复杂PubMed语法,用中文像聊天一样搜索,搜遍4000万医学文献。AI智能推荐,让科研检索更轻松。

立即免费搜索

文件翻译

保留排版,准确专业,支持PDF/Word/PPT等文件格式,支持 12+语言互译。

免费翻译文档

深度研究

AI帮你快速写综述,25分钟生成高质量综述,智能提取关键信息,辅助科研写作。

立即免费体验