Shi Yu, Zhang Xinrong, Wong Tyler, Yan Taotao, Henry Linda, Cheung Ramsey, Nguyen Mindie H
Division of Gastroenterology and Hepatology, Stanford University Medical Center, Palo Alto, California.
State Key Laboratory for Diagnosis and Treatment of Infectious Diseases, National Clinical Research Center for Infectious Diseases, The First Affiliated Hospital, School of Medicine, Zhejiang University, Hangzhou, China.
JAMA Netw Open. 2025 Jul 1;8(7):e2523674. doi: 10.1001/jamanetworkopen.2025.23674.
Patients with cirrhosis are at high risk of developing adverse liver events. However, data on sex differences are limited.
To compare risk of adverse liver events between male and female patients with cirrhosis.
DESIGN, SETTING, AND PARTICIPANTS: This population-based retrospective cohort study included adult patients with cirrhosis who were identified from a US private health insurance claims database (Merative MarketScan Research Databases) from January 1, 2007, to December 31, 2022.
Males compared with females.
The main outcome was the incidence of adverse liver events (decompensated cirrhosis [DC], hepatocellular carcinoma [HCC], and liver transplant [LT]). Propensity score matching on age, liver disease etiologies, geographic region, insurance type, specialty type, alcohol use disorder, obesity, baseline status of decompensation, and Charlson Comorbidity Index score was used to balance baseline characteristics of the male and female groups.
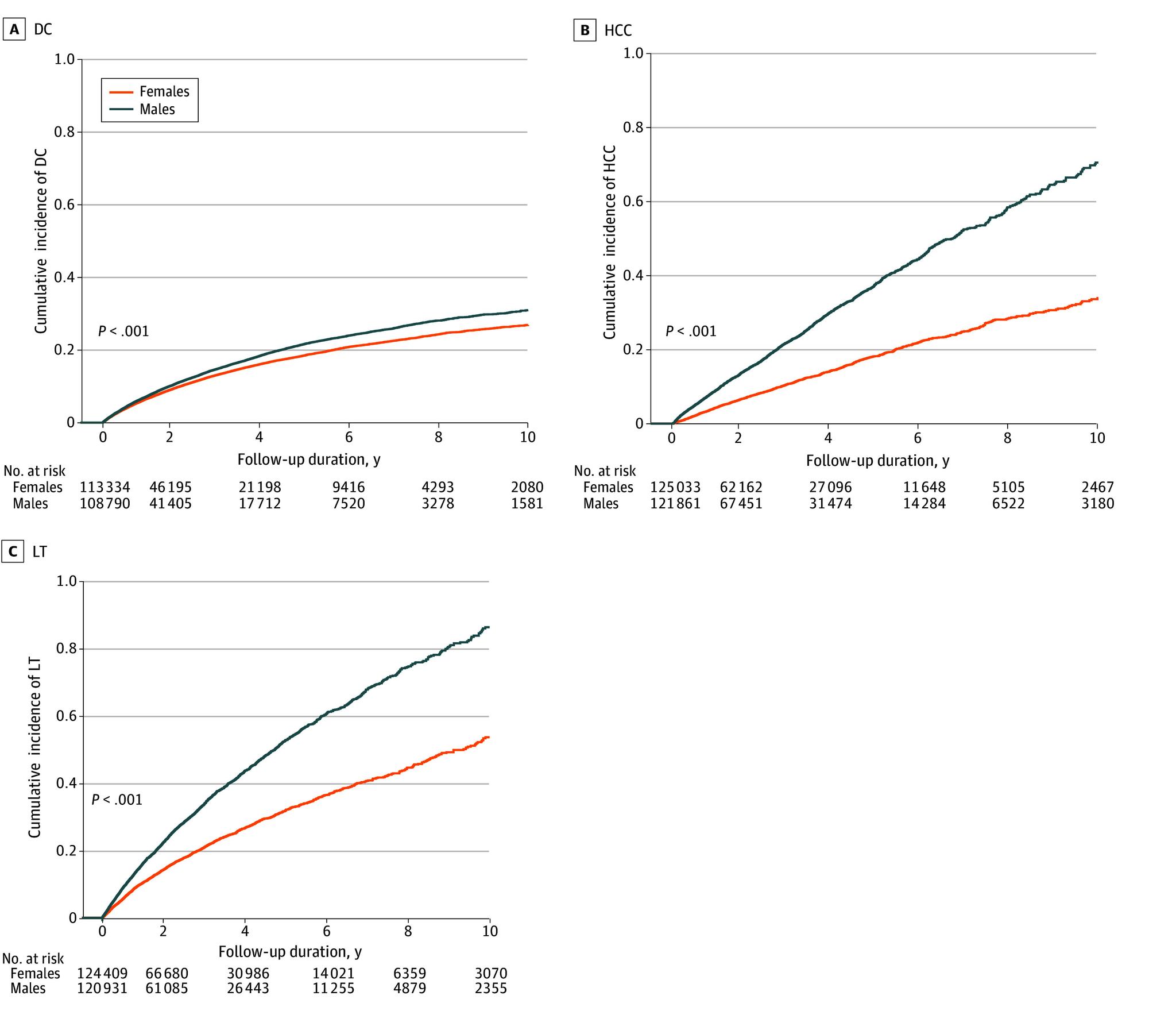
The study included 438 706 patients with cirrhosis (mean [SD] age, 56.8 [15.4] years; 50.8% males), with a higher mean (SD) age in males than in females (57.6 [14.3] vs 55.9 [16.4] years). Propensity score matching yielded 169 711 pairs of female and male patients with similar baseline characteristics for subsequent analyses. Males compared with females had a higher incidence (per 1000 person-years) of DC (65.77 [95% CI, 64.74-66.81] vs 55.35 [95% CI, 54.46-56.25]; P < .001), HCC (6.98 [95% CI, 6.71-7.27] vs 3.35 [95% CI, 3.17-3.54]; P < .001), and LT (10.23 [95% CI, 9.89-10.58] vs 6.27 [95% CI, 6.01-6.52]; P < .001). In the Cox proportional hazards regression model, male sex was associated with 16% higher risk of DC (hazard ratio [HR], 1.16 [95% CI, 1.14-1.19]; P < .001), 63% of LT (HR, 1.63 [95% CI, 1.54-1.71]; P < .001), and 110% of HCC (HR, 2.10 [95% CI, 1.96-2.25]; P < .001). Among the major liver disease etiologies, male sex (compared with female sex) was associated with the highest risk of adverse liver events in patients with alcohol-related liver disease including DC (HR, 1.13 [95% CI, 1.08-1.19]; P < .001), HCC (HR, 2.40 [95% CI, 2.01-2.88]; P < .001), and LT (HR, 1.36 [95% CI, 1.21-1.53]; P < .001), followed by metabolic dysfunction-associated steatotic liver disease and hepatitis C virus (HCV) infection, but not in patients with HBV except for those with HCC (HR, 1.60 [95% CI, 1.08-2.36]; P = .02).
The findings of this cohort study of adult patients with cirrhosis suggest that significant sex differences in liver complication risk exist, which was more pronounced in nonviral (alcohol-related liver disease and metabolic dysfunction-associated steatotic liver disease) compared with viral (HBV and HCV) cirrhosis. Sex disparities should be taken into consideration in future guidelines and programs for disease monitoring, prevention, and treatment of patients with cirrhosis.
肝硬化患者发生不良肝脏事件的风险很高。然而,关于性别差异的数据有限。
比较男性和女性肝硬化患者发生不良肝脏事件的风险。
设计、背景和参与者:这项基于人群的回顾性队列研究纳入了2007年1月1日至2022年12月31日期间从美国私人医疗保险索赔数据库(Merative MarketScan研究数据库)中识别出的成年肝硬化患者。
男性与女性进行比较。
主要结局是不良肝脏事件(失代偿期肝硬化[DC]、肝细胞癌[HCC]和肝移植[LT])的发生率。采用倾向评分匹配法,根据年龄、肝病病因、地理区域、保险类型、专科类型、酒精使用障碍、肥胖、失代偿基线状态和Charlson合并症指数评分来平衡男性和女性组的基线特征。
该研究纳入了438706例肝硬化患者(平均[标准差]年龄为56.8[15.4]岁;50.8%为男性),男性的平均(标准差)年龄高于女性(57.6[14.3]岁对55.9[16.4]岁)。倾向评分匹配产生了169711对具有相似基线特征的女性和男性患者用于后续分析。与女性相比,男性DC的发生率(每1000人年)更高(65.77[95%CI,64.74 - 66.81]对55.35[95%CI,54.46 - 56.25];P < .001),HCC(6.98[95%CI,6.71 - 7.27]对3.35[95%CI,3.17 - 3.54];P < .001),以及LT(10.23[95%CI,9.89 - 10.58]对6.27[95%CI,6.01 - 6.52];P < .001)。在Cox比例风险回归模型中,男性性别与DC风险高16%相关(风险比[HR],1.16[95%CI,1.14 - 1.19];P < .001),LT风险高63%(HR,1.63[95%CI,1.54 - 1.71];P < .001),HCC风险高110%(HR,2.10[95%CI,1.96 - 2.25];P < .001)。在主要的肝病病因中,男性性别(与女性性别相比)在酒精性肝病患者中发生不良肝脏事件的风险最高,包括DC(HR,1.13[95%CI,1.08 - 1.19];P < .001),HCC(HR,2.40[95%CI,2.01 - 2.88];P < .001),以及LT(HR,1.36[95%CI,1.21 - 1.53];P < .001),其次是代谢功能障碍相关脂肪性肝病和丙型肝炎病毒(HCV)感染,但在乙型肝炎病毒(HBV)患者中,除了HCC患者外无差异(HR,1.60[95%CI,1.08 - 2.36];P = .02)。
这项针对成年肝硬化患者的队列研究结果表明,肝脏并发症风险存在显著的性别差异,与病毒性(HBV和HCV)肝硬化相比,在非病毒性(酒精性肝病和代谢功能障碍相关脂肪性肝病)中更为明显。在未来肝硬化患者疾病监测、预防和治疗的指南及项目中应考虑性别差异。