• 文献检索
  • 文档翻译
  • 深度研究
  • 学术资讯
  • Suppr Zotero 插件Zotero 插件
  • 邀请有礼
  • 套餐&价格
  • 历史记录
应用&插件
Suppr Zotero 插件Zotero 插件浏览器插件Mac 客户端Windows 客户端微信小程序
定价
高级版会员购买积分包购买API积分包
服务
文献检索文档翻译深度研究API 文档MCP 服务
关于我们
关于 Suppr公司介绍联系我们用户协议隐私条款
关注我们

Suppr 超能文献

核心技术专利:CN118964589B侵权必究
粤ICP备2023148730 号-1Suppr @ 2026

文献检索

告别复杂PubMed语法,用中文像聊天一样搜索,搜遍4000万医学文献。AI智能推荐,让科研检索更轻松。

立即免费搜索

文件翻译

保留排版,准确专业,支持PDF/Word/PPT等文件格式,支持 12+语言互译。

免费翻译文档

深度研究

AI帮你快速写综述,25分钟生成高质量综述,智能提取关键信息,辅助科研写作。

立即免费体验

基于神经外科病房患者数据的预测多重耐药肺部感染列线图的疗效评估

Evaluation of the Efficacy of a Nomogram to Predict Multidrug-Resistant Pulmonary Infections Based on Data from Neurosurgery Ward Patients.

作者信息

Zhou Ran, Chen Xiaolong, Jia Hengmin, Duan Wen

机构信息

Department of Pharmacy, The First Affiliated Hospital of USTC, Division of Life Sciences and Medicine, University of Science and Technology of China, Hefei, Anhui, 230001, People's Republic of China.

Department of Pharmacy, The Second People's Hospital of Chizhou, Chizhou, Anhui, 247100, People's Republic of China.

出版信息

Infect Drug Resist. 2025 Jul 26;18:3723-3734. doi: 10.2147/IDR.S527114. eCollection 2025.

DOI:10.2147/IDR.S527114
PMID:40741530
原文链接:https://pmc.ncbi.nlm.nih.gov/articles/PMC12309567/
Abstract

OBJECTIVE

This study aimed to construct and evaluate a nomogram based on data from neurosurgery ward patients to predict the probability of multidrug-resistant (MDR) pneumonia occurrence.

METHODS

We retrospectively collected clinical data, early laboratory test results, and physician prescriptions for 35 variables from patients. Univariate and stepwise regression analyses were used to screen variables to determine predictive factors, and a nomogram was constructed in the training group based on the results of the logistic regression model. Using the validation group, discrimination, calibration, and clinical applicability were assessed based on the receiver operating characteristic curve, calibration curve, and decision curve analysis (DCA).

RESULTS

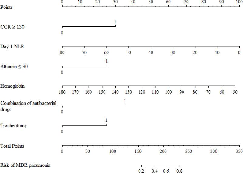
Among 3397 patients admitted to the neurosurgery ward from January 1, 2021, to September 30, 2024, 438 patients had pulmonary infections, including 208 patients with MDR pneumonia and 230 patients with non-MDR pneumonia. We randomly divided these patients into a training group (70%, N = 307) and a validation group (30%, N = 131). The nomogram consisted of only six predictive factors (creatinine clearance rate (CCR)≥130 mL/min/1.73 m, the Day 1 neutrophil-to-lymphocyte ratio (NLR), albumin≤30 g/L, hemoglobin, combination of antibacterial drugs, and tracheostomy), which demonstrated significantly higher sensitivity and specificity in the early identification of MDR pneumonia (AUC of the training group = 0.816 (95% CI: 0.760-0.862), AUC of the validation group = 0.797 (95% CI: 0.720-0.874)) and good calibration. DCA confirmed the clinical applicability of this nomogram.

CONCLUSION

We propose for the first time that augmented renal clearance (ARC) is an independent risk factor for the occurrence of MDR pneumonia in neurosurgical patients. Moreover, we successfully established a convenient prediction model that consists of six prediction factors, which can assist neurosurgeons in making early predictions of the incidence of MDR pneumonia.

摘要

目的

本研究旨在基于神经外科病房患者的数据构建并评估一种列线图,以预测多重耐药(MDR)肺炎发生的概率。

方法

我们回顾性收集了患者35个变量的临床数据、早期实验室检查结果和医生处方。采用单因素和逐步回归分析筛选变量以确定预测因素,并根据逻辑回归模型的结果在训练组中构建列线图。使用验证组,基于受试者操作特征曲线、校准曲线和决策曲线分析(DCA)评估区分度、校准度和临床适用性。

结果

在2021年1月1日至2024年9月30日入住神经外科病房的3397例患者中,438例发生肺部感染,其中208例为MDR肺炎,230例为非MDR肺炎。我们将这些患者随机分为训练组(70%,N = 307)和验证组(30%,N = 131)。该列线图仅由六个预测因素组成(肌酐清除率(CCR)≥130 mL/min/1.73 m²、第1天中性粒细胞与淋巴细胞比值(NLR)、白蛋白≤30 g/L、血红蛋白、抗菌药物联合使用以及气管切开术),在MDR肺炎的早期识别中显示出显著更高的敏感性和特异性(训练组AUC = 0.816(95% CI:0.760 - 0.862),验证组AUC = 0.797(95% CI:0.720 - 0.874))以及良好的校准度。DCA证实了该列线图的临床适用性。

结论

我们首次提出增强肾清除率(ARC)是神经外科患者发生MDR肺炎的独立危险因素。此外,我们成功建立了一个由六个预测因素组成的便捷预测模型,可协助神经外科医生对MDR肺炎的发生率进行早期预测。

https://cdn.ncbi.nlm.nih.gov/pmc/blobs/49a2/12309567/73ea14615329/IDR-18-3723-g0002.jpg
https://cdn.ncbi.nlm.nih.gov/pmc/blobs/49a2/12309567/f03982f77dc8/IDR-18-3723-g0001.jpg
https://cdn.ncbi.nlm.nih.gov/pmc/blobs/49a2/12309567/73ea14615329/IDR-18-3723-g0002.jpg
https://cdn.ncbi.nlm.nih.gov/pmc/blobs/49a2/12309567/f03982f77dc8/IDR-18-3723-g0001.jpg
https://cdn.ncbi.nlm.nih.gov/pmc/blobs/49a2/12309567/73ea14615329/IDR-18-3723-g0002.jpg

相似文献

1
Evaluation of the Efficacy of a Nomogram to Predict Multidrug-Resistant Pulmonary Infections Based on Data from Neurosurgery Ward Patients.基于神经外科病房患者数据的预测多重耐药肺部感染列线图的疗效评估
Infect Drug Resist. 2025 Jul 26;18:3723-3734. doi: 10.2147/IDR.S527114. eCollection 2025.
2
Comparison of Two Modern Survival Prediction Tools, SORG-MLA and METSSS, in Patients With Symptomatic Long-bone Metastases Who Underwent Local Treatment With Surgery Followed by Radiotherapy and With Radiotherapy Alone.两种现代生存预测工具 SORG-MLA 和 METSSS 在接受手术联合放疗和单纯放疗治疗有症状长骨转移患者中的比较。
Clin Orthop Relat Res. 2024 Dec 1;482(12):2193-2208. doi: 10.1097/CORR.0000000000003185. Epub 2024 Jul 23.
3
Multidrug-resistant coinfection with multiple microbes: a retrospective study on its risk factors and clinical outcomes.多重微生物的多重耐药合并感染:关于其危险因素和临床结局的回顾性研究。
mSystems. 2025 Jul 10:e0175724. doi: 10.1128/msystems.01757-24.
4
Does the Presence of Missing Data Affect the Performance of the SORG Machine-learning Algorithm for Patients With Spinal Metastasis? Development of an Internet Application Algorithm.缺失数据的存在是否会影响 SORG 机器学习算法在脊柱转移瘤患者中的性能?开发一种互联网应用算法。
Clin Orthop Relat Res. 2024 Jan 1;482(1):143-157. doi: 10.1097/CORR.0000000000002706. Epub 2023 Jun 12.
5
Prediction of additional hospital days in patients undergoing cervical spine surgery with machine learning methods.运用机器学习方法预测行颈椎手术患者的额外住院天数。
Comput Assist Surg (Abingdon). 2024 Dec;29(1):2345066. doi: 10.1080/24699322.2024.2345066. Epub 2024 Jun 11.
6
A blood test-based nomogram to predict the progression-free survival of patients with intrahepatic cholangiocarcinoma after surgical resection.一种基于血液检测的列线图,用于预测肝内胆管癌患者手术切除后的无进展生存期。
Front Oncol. 2025 Jun 9;15:1507602. doi: 10.3389/fonc.2025.1507602. eCollection 2025.
7
Clinical diagnostic and prognostic value of homocysteine combined with hemoglobin [f (Hcy-Hb)] in cardio-renal syndrome caused by primary acute myocardial infarction.同型半胱氨酸联合血红蛋白[f(Hcy-Hb)]在原发性急性心肌梗死所致心肾综合征中的临床诊断及预后价值
J Transl Med. 2025 Jul 23;23(1):813. doi: 10.1186/s12967-025-06512-4.
8
Exploration of the Therapeutic Efficacy of Azithromycin Sequential Therapy in Children With Mycoplasma Pneumonia.阿奇霉素序贯疗法治疗儿童支原体肺炎的疗效探讨
Br J Hosp Med (Lond). 2025 Jun 25;86(6):1-18. doi: 10.12968/hmed.2025.0005. Epub 2025 Jun 13.
9
Are Current Survival Prediction Tools Useful When Treating Subsequent Skeletal-related Events From Bone Metastases?当前的生存预测工具在治疗骨转移后的骨骼相关事件时有用吗?
Clin Orthop Relat Res. 2024 Sep 1;482(9):1710-1721. doi: 10.1097/CORR.0000000000003030. Epub 2024 Mar 22.
10
A novel nomogram for predicting osteoporosis with low back pain among the patients in Wenshan Zhuang and Miao Autonomous Prefecture of China.中国文山壮族苗族自治州患者中用于预测伴有腰痛的骨质疏松症的新型列线图。
Front Endocrinol (Lausanne). 2025 Jun 5;16:1535163. doi: 10.3389/fendo.2025.1535163. eCollection 2025.

本文引用的文献

1
The Prevalence of Multidrug-Resistant and Extensively Drug-Resistant Infections in Respiratory Intensive Care Unit, Causative Microorganisms and Mortality.呼吸重症监护病房中多重耐药和广泛耐药感染的患病率、致病微生物及死亡率
Infect Drug Resist. 2024 Nov 8;17:4913-4919. doi: 10.2147/IDR.S480829. eCollection 2024.
2
Bacterial profile, and independent predictors for healthcare-associated pneumonia persistently caused by multidrug-resistant Gram-negative bacteria for patients with the preceding multidrug-resistant Gram-negative pneumonia in Taiwan.台湾地区先前患有多重耐药革兰氏阴性菌肺炎患者,持续性多重耐药革兰氏阴性菌所致医源性肺炎的细菌谱及独立预测因子。
J Microbiol Immunol Infect. 2024 Oct;57(5):801-811. doi: 10.1016/j.jmii.2024.07.009. Epub 2024 Aug 6.
3
Novel Antibiotics for Gram-Negative Nosocomial Pneumonia.用于革兰氏阴性医院获得性肺炎的新型抗生素
Antibiotics (Basel). 2024 Jul 5;13(7):629. doi: 10.3390/antibiotics13070629.
4
Antimicrobial De-Escalation in Critically Ill Patients.危重症患者的抗菌药物降阶梯治疗
Antibiotics (Basel). 2024 Apr 19;13(4):375. doi: 10.3390/antibiotics13040375.
5
Zahorec index or Neutrophil-to-lymphocyte ratio, valid biomarker of inflammation and immune response to infection, cancer and surgery.Zahorec 指数或中性粒细胞与淋巴细胞比值,是炎症和对感染、癌症及手术的免疫反应的有效生物标志物。
Bratisl Lek Listy. 2024;125(2):75-83. doi: 10.4149/BLL_2024_012.
6
Risk Factors for Delirium Superimposed on Dementia in Elderly Patients in Comprehensive Ward.综合病房老年痴呆患者并发谵妄的危险因素。
Am J Alzheimers Dis Other Demen. 2023 Jan-Dec;38:15333175231206023. doi: 10.1177/15333175231206023.
7
Distribution of bacteria and risk factors in patients with multidrug-resistant pneumonia in a single center rehabilitation ward.单中心康复病房多重耐药性肺炎患者的细菌分布及危险因素。
Medicine (Baltimore). 2023 Sep 8;102(36):e35023. doi: 10.1097/MD.0000000000035023.
8
[Recommendations for the management and rehabilitation of patients with a tracheostomy].[气管切开术患者的管理与康复建议]
Zhonghua Jie He He Hu Xi Za Zhi. 2023 Oct 12;46(10):965-976. doi: 10.3760/cma.j.cn112147-20230331-00153.
9
LC-MS/MS-Based Serum Metabolomics and Transcriptome Analyses for the Mechanism of Augmented Renal Clearance.基于 LC-MS/MS 的血清代谢组学和转录组学分析增强肾脏清除的机制。
Int J Mol Sci. 2023 Jun 21;24(13):10459. doi: 10.3390/ijms241310459.
10
Evaluating the efficiency of a nomogram based on the data of neurosurgical intensive care unit patients to predict pulmonary infection of multidrug-resistant .评估基于神经外科重症监护病房患者数据的列线图预测多重耐药菌肺部感染的效率。
Front Cell Infect Microbiol. 2023 Apr 25;13:1152512. doi: 10.3389/fcimb.2023.1152512. eCollection 2023.