• 文献检索
  • 文档翻译
  • 深度研究
  • 学术资讯
  • Suppr Zotero 插件Zotero 插件
  • 邀请有礼
  • 套餐&价格
  • 历史记录
应用&插件
Suppr Zotero 插件Zotero 插件浏览器插件Mac 客户端Windows 客户端微信小程序
定价
高级版会员购买积分包购买API积分包
服务
文献检索文档翻译深度研究API 文档MCP 服务
关于我们
关于 Suppr公司介绍联系我们用户协议隐私条款
关注我们

Suppr 超能文献

核心技术专利:CN118964589B侵权必究
粤ICP备2023148730 号-1Suppr @ 2026

文献检索

告别复杂PubMed语法,用中文像聊天一样搜索,搜遍4000万医学文献。AI智能推荐,让科研检索更轻松。

立即免费搜索

文件翻译

保留排版,准确专业,支持PDF/Word/PPT等文件格式,支持 12+语言互译。

免费翻译文档

深度研究

AI帮你快速写综述,25分钟生成高质量综述,智能提取关键信息,辅助科研写作。

立即免费体验

智能失禁护理对重度智力残疾和多重残疾患者的有效性:整群随机试验。

Effectiveness of Smart Continence Care for People With Profound Intellectual and Multiple Disabilities: Cluster Randomized Trial.

作者信息

van Cooten Vivette Jc, Gielissen Marieke Fm, den Hollander Wouter, van Mastrigt Ghislaine Apg, Smeets Odile, Bongers Inge Mb, Boon Brigitte

机构信息

Academy Het Dorp, Research & Advisory on Technology in Long-term Care, Arnhem, The Netherlands.

Tranzo, Tilburg School of Social and Behavioral Sciences, Tilburg University, Tilburg, The Netherlands.

出版信息

J Med Internet Res. 2025 Jul 31;27:e66389. doi: 10.2196/66389.

DOI:10.2196/66389
PMID:40743514
原文链接:https://pmc.ncbi.nlm.nih.gov/articles/PMC12355147/
Abstract

BACKGROUND

People with profound intellectual and multiple disabilities (PIMD) living in residential care facilities receive continence care at scheduled times. This can result in leakage or unnecessary incontinence material (IM) changes, negatively affecting individuals and their professional caregivers. Smart continence care (SCC), which notifies caregivers when IMs require changing, may resolve these issues and improve personalized care.

OBJECTIVE

We aimed to evaluate the effects of SCC in comparison with regular continence care. The primary outcome measure was the number of weekly leakages. Secondary outcomes were the number of weekly IM changes, the time spent on continence care, the quality of life of individuals with PIMD, and caregivers' physical burden.

METHODS

A staggered-entry, open-label, cluster randomized trial was conducted in residential care facilities for people with disabilities in the Netherlands. Overall, 165 participants with PIMD and incontinence who were unable to indicate the need for IM changes were recruited, of whom 156 (94.5%) were included in the analyses. Six residential care facilities participated in the study and were randomized at a cluster level of 1:1. The intervention group (82/156, 52.6%) received SCC for 12 weeks. The waiting-list group (74/156, 47.4%) continued to receive regular continence care. Outcome measures were collected at weeks 0, 6, and 12 and were analyzed using generalized linear mixed models.

RESULTS

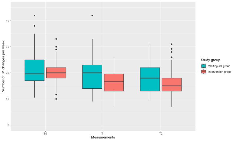
In intention-to-treat analyses comparing both groups, SCC appeared ineffective in reducing weekly leakages. An unexpected reduction in leakages for the waiting-list group compared to the intervention group was revealed (β coefficient=1.013, 95% CI 0.217-1.808; P=.01). SCC was effective in reducing the number of IM changes per week (β coefficient=-2.005, 95% CI -3.303 to -.707; P=.003). No significant reduction in the time spent on continence care (P=.84) was observed. There was no effect on quality of life or improvement in caregivers' physical burden. Per-protocol and completer analyses did not alter our intention-to-treat conclusions. However, exploratory analyses revealed that the counterintuitive effect on leakage may be due to increased leakages at most locations within one residential care facility in the intervention group. The exclusion of this facility from the analyses revealed that the effect on leakage, which had previously favored the waiting-list group, was no longer significant. The reduction in the number of IM changes in the intervention group compared to the waiting-list group showed an increased effect size, from Cohen d=-0.34 to Cohen d=-0.45.

CONCLUSIONS

SCC was ineffective in reducing the number of weekly leakages, but it reduced the number of weekly IM changes. We observed improvements in continence care in both groups. Increased attention to continence care, with or without technology, may lead to improved care outcomes. Additional research is required to identify the settings in which the implementation of SCC is most meaningful.

TRIAL REGISTRATION

ClinicalTrials.gov NCT05481840; https://clinicaltrials.gov/ct2/show/NCT05481840.

INTERNATIONAL REGISTERED REPORT IDENTIFIER (IRRID): RR2-10.2196/42555.

摘要

背景

生活在寄宿护理机构中的重度智力和多重残疾(PIMD)患者会在预定时间接受失禁护理。这可能导致渗漏或不必要的失禁用品(IM)更换,对患者及其专业护理人员产生负面影响。智能失禁护理(SCC)可在IM需要更换时通知护理人员,可能会解决这些问题并改善个性化护理。

目的

我们旨在评估SCC与常规失禁护理相比的效果。主要结局指标是每周的渗漏次数。次要结局包括每周IM更换次数、失禁护理花费的时间、PIMD患者的生活质量以及护理人员的身体负担。

方法

在荷兰的残疾人寄宿护理机构中进行了一项交错入组、开放标签、整群随机试验。总共招募了165名患有PIMD且失禁且无法表明需要更换IM的参与者,其中156名(94.5%)纳入分析。六家寄宿护理机构参与了研究,并以1:1的比例在整群层面进行随机分组。干预组(82/156,52.6%)接受了12周的SCC。等待名单组(74/156,47.4%)继续接受常规失禁护理。在第0、6和12周收集结局指标,并使用广义线性混合模型进行分析。

结果

在意向性分析中比较两组时,SCC在减少每周渗漏次数方面似乎无效。与干预组相比,等待名单组的渗漏次数意外减少(β系数 = 1.013,95%置信区间0.217 - 1.808;P = 0.01)。SCC在减少每周IM更换次数方面有效(β系数 = -2.005,95%置信区间 -3.303至 -0.707;P = 0.003)。未观察到失禁护理花费时间有显著减少(P = 0.84)。对生活质量或护理人员身体负担没有影响。符合方案分析和完成者分析未改变我们的意向性分析结论。然而,探索性分析表明,对渗漏的反直觉影响可能是由于干预组中一家寄宿护理机构内大多数地点的渗漏增加。将该机构排除在分析之外后发现,之前有利于等待名单组的对渗漏的影响不再显著。与等待名单组相比,干预组IM更换次数的减少显示效应量增加,从Cohen d = -0.34增加到Cohen d = -0.45。

结论

SCC在减少每周渗漏次数方面无效,但减少了每周IM更换次数。我们观察到两组的失禁护理都有所改善。增加对失禁护理的关注,无论是否采用技术手段,都可能导致护理效果改善。需要进一步研究以确定实施SCC最有意义的环境。

试验注册

ClinicalTrials.gov NCT05481840;https://clinicaltrials.gov/ct2/show/NCT05481840。

国际注册报告识别码(IRRID):RR2 - 10.2196/42555。

https://cdn.ncbi.nlm.nih.gov/pmc/blobs/f53d/12355147/c449d5fb6d89/jmir_v27i1e66389_fig7.jpg
https://cdn.ncbi.nlm.nih.gov/pmc/blobs/f53d/12355147/eaf707f79d71/jmir_v27i1e66389_fig1.jpg
https://cdn.ncbi.nlm.nih.gov/pmc/blobs/f53d/12355147/bc9812f593ae/jmir_v27i1e66389_fig2.jpg
https://cdn.ncbi.nlm.nih.gov/pmc/blobs/f53d/12355147/42118e53bf11/jmir_v27i1e66389_fig3.jpg
https://cdn.ncbi.nlm.nih.gov/pmc/blobs/f53d/12355147/b81a97d79dcb/jmir_v27i1e66389_fig4.jpg
https://cdn.ncbi.nlm.nih.gov/pmc/blobs/f53d/12355147/c6365540ef6b/jmir_v27i1e66389_fig5.jpg
https://cdn.ncbi.nlm.nih.gov/pmc/blobs/f53d/12355147/c9d8a19652e9/jmir_v27i1e66389_fig6.jpg
https://cdn.ncbi.nlm.nih.gov/pmc/blobs/f53d/12355147/c449d5fb6d89/jmir_v27i1e66389_fig7.jpg
https://cdn.ncbi.nlm.nih.gov/pmc/blobs/f53d/12355147/eaf707f79d71/jmir_v27i1e66389_fig1.jpg
https://cdn.ncbi.nlm.nih.gov/pmc/blobs/f53d/12355147/bc9812f593ae/jmir_v27i1e66389_fig2.jpg
https://cdn.ncbi.nlm.nih.gov/pmc/blobs/f53d/12355147/42118e53bf11/jmir_v27i1e66389_fig3.jpg
https://cdn.ncbi.nlm.nih.gov/pmc/blobs/f53d/12355147/b81a97d79dcb/jmir_v27i1e66389_fig4.jpg
https://cdn.ncbi.nlm.nih.gov/pmc/blobs/f53d/12355147/c6365540ef6b/jmir_v27i1e66389_fig5.jpg
https://cdn.ncbi.nlm.nih.gov/pmc/blobs/f53d/12355147/c9d8a19652e9/jmir_v27i1e66389_fig6.jpg
https://cdn.ncbi.nlm.nih.gov/pmc/blobs/f53d/12355147/c449d5fb6d89/jmir_v27i1e66389_fig7.jpg

相似文献

1
Effectiveness of Smart Continence Care for People With Profound Intellectual and Multiple Disabilities: Cluster Randomized Trial.智能失禁护理对重度智力残疾和多重残疾患者的有效性:整群随机试验。
J Med Internet Res. 2025 Jul 31;27:e66389. doi: 10.2196/66389.
2
Prescription of Controlled Substances: Benefits and Risks管制药品的处方:益处与风险
3
Conservative, physical and surgical interventions for managing faecal incontinence and constipation in adults with central neurological diseases.保守治疗、物理治疗和手术干预用于治疗伴有中枢神经系统疾病的成年人的粪便失禁和便秘。
Cochrane Database Syst Rev. 2024 Oct 29;10(10):CD002115. doi: 10.1002/14651858.CD002115.pub6.
4
Interventions for preventing falls in older people in care facilities.护理机构中预防老年人跌倒的干预措施。
Cochrane Database Syst Rev. 2025 Aug 20;8:CD016064. doi: 10.1002/14651858.CD016064.
5
Pelvic floor muscle training for prevention and treatment of urinary and faecal incontinence in antenatal and postnatal women.盆底肌训练用于预防和治疗产前及产后女性的尿失禁和粪失禁。
Cochrane Database Syst Rev. 2017 Dec 22;12(12):CD007471. doi: 10.1002/14651858.CD007471.pub3.
6
Interventions for patients and caregivers to improve knowledge of sickle cell disease and recognition of its related complications.针对患者及护理人员的干预措施,以提高对镰状细胞病的认识及其相关并发症的识别能力。
Cochrane Database Syst Rev. 2016 Oct 6;10(10):CD011175. doi: 10.1002/14651858.CD011175.pub2.
7
Non-pharmacological interventions for somatoform disorders and medically unexplained physical symptoms (MUPS) in adults.成人躯体形式障碍和医学无法解释的身体症状(MUPS)的非药物干预措施。
Cochrane Database Syst Rev. 2014 Nov 1;2014(11):CD011142. doi: 10.1002/14651858.CD011142.pub2.
8
Use of endoanal ultrasound for reducing the risk of complications related to anal sphincter injury after vaginal birth.使用经肛门超声降低阴道分娩后肛门括约肌损伤相关并发症的风险。
Cochrane Database Syst Rev. 2015 Oct 29;2015(10):CD010826. doi: 10.1002/14651858.CD010826.pub2.
9
Falls prevention interventions for community-dwelling older adults: systematic review and meta-analysis of benefits, harms, and patient values and preferences.社区居住的老年人跌倒预防干预措施:系统评价和荟萃分析的益处、危害以及患者的价值观和偏好。
Syst Rev. 2024 Nov 26;13(1):289. doi: 10.1186/s13643-024-02681-3.
10
Therapist-supported Internet cognitive behavioural therapy for anxiety disorders in adults.治疗师支持的针对成人焦虑症的互联网认知行为疗法。
Cochrane Database Syst Rev. 2016 Mar 12;3(3):CD011565. doi: 10.1002/14651858.CD011565.pub2.

本文引用的文献

1
POWER: an open, single-arm, post-market clinical trial using the TENA SmartCare Change Indicator in a home environment.POWER:一项在家庭环境中使用得伴智能护理更换指示器的开放性单臂上市后临床试验。
Arch Med Sci. 2023 Jan 13;19(1):270-273. doi: 10.5114/aoms/158568. eCollection 2023.
2
Effectiveness of a Smart Urinary Continence Care Assessment System for Nursing Home Residents: A Quasi-Experimental, Sequential Quantitative-Qualitative Methods Trial.智能尿失禁护理评估系统对养老院居民的效果:一项准实验、序贯定量-定性方法试验。
J Wound Ostomy Continence Nurs. 2023;50(1):48-56. doi: 10.1097/WON.0000000000000937.
3
Smart Continence Care for People With Profound Intellectual and Multiple Disabilities: Protocol for a Cluster Randomized Trial and Trial-Based Economic Evaluation.
为重度智力和多重残疾者提供的智能失禁护理:一项整群随机试验和基于试验的经济评估方案
JMIR Res Protoc. 2022 Nov 22;11(11):e42555. doi: 10.2196/42555.
4
Integrating Sensor Technology in Disposable Body-Worn Absorbent Products: A Qualitative Study to Define User Profile, (Technical) Criteria, Conditions, and Potential Benefits.将传感器技术融入一次性贴身吸收制品中:一项定性研究,旨在定义用户特征、(技术)标准、条件和潜在效益。
J Wound Ostomy Continence Nurs. 2021;48(6):560-567. doi: 10.1097/WON.0000000000000812.
5
The effects of a bioresponse system on the joint attention behaviour of adults with visual and severe or profound intellectual disabilities and their affective mutuality with their caregivers.生物反应系统对有视觉障碍和严重或极重度智力残疾的成年人及其照顾者的共同注意行为及其情感互惠的影响。
J Appl Res Intellect Disabil. 2019 Jul;32(4):890-900. doi: 10.1111/jar.12581. Epub 2019 Mar 12.
6
Different ways to estimate treatment effects in randomised controlled trials.在随机对照试验中估计治疗效果的不同方法。
Contemp Clin Trials Commun. 2018 Mar 28;10:80-85. doi: 10.1016/j.conctc.2018.03.008. eCollection 2018 Jun.
7
Factors that influence the implementation of e-health: a systematic review of systematic reviews (an update).影响电子健康实施的因素:系统评价的系统综述(更新版)
Implement Sci. 2016 Oct 26;11(1):146. doi: 10.1186/s13012-016-0510-7.
8
Understanding the Hawthorne effect.理解霍桑效应。
BMJ. 2015 Sep 4;351:h4672. doi: 10.1136/bmj.h4672.
9
An exploration of the effects of introducing a telemonitoring system for continence assessment in a nursing home.探索在养老院引入用于尿失禁评估的远程监测系统的效果。
J Clin Nurs. 2014 Nov;23(21-22):3069-76. doi: 10.1111/jocn.12538. Epub 2014 Jan 31.
10
Evaluation of Data Entry Errors and Data Changes to an Electronic Data Capture Clinical Trial Database.电子数据采集临床试验数据库的数据录入错误与数据变更评估
Drug Inf J. 2011 Jul;45(4):421-430. doi: 10.1177/009286151104500404.