Suppr超能文献

血浆和脑脊液代谢物与脑膜瘤之间的潜在因果关系:两样本孟德尔随机化研究

Potential Causal Relationship Between Plasma and Cerebrospinal Fluid Metabolites and Meningioma: Two-Sample Mendelian Randomization Study.

作者信息

Du Guangyu, Xu Daikang, Zhao Hai, Yan Zhiyong, Wang Jianpeng

机构信息

Department of Neurosurgery, The Affiliated Hospital of Qingdao University, Qingdao, Shandong, 266000, People's Republic of China.

出版信息

J Multidiscip Healthc. 2025 Jul 31;18:4391-4409. doi: 10.2147/JMDH.S527449. eCollection 2025.

Abstract

BACKGROUND

Meningioma (MGM) is the most common benign intracranial tumor and ranks as the second most frequent intracranial tumor in terms of incidence, following malignant gliomas. Studying the metabolites in the serum and cerebrospinal fluid (CSF) of patients with MGM is crucial for understanding the underlying biological mechanisms, identifying new biomarkers, and developing novel therapeutic strategies.

METHODS

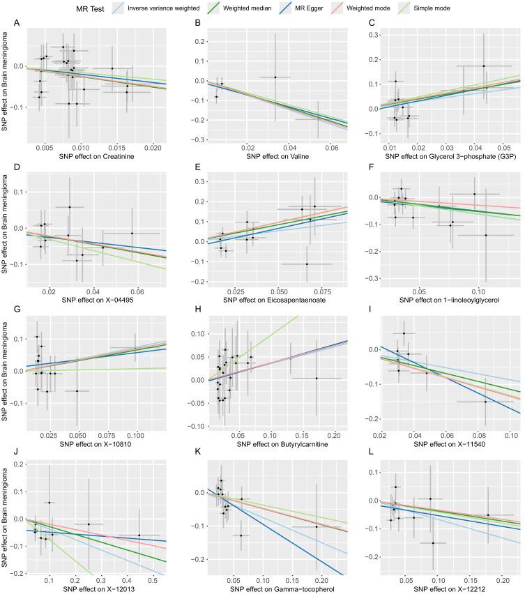
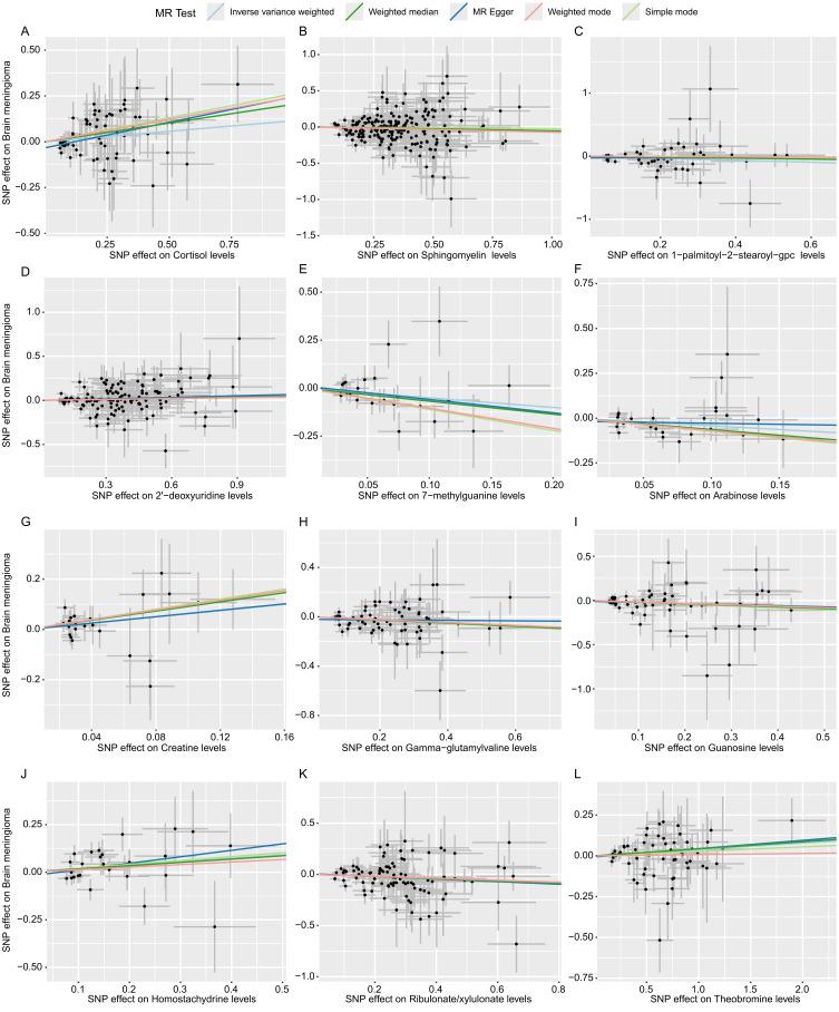
Mendelian randomization (MR) is a powerful analytical approach that leverages genetic variants to assess potential causal relationships between exposures and outcomes. In this study, MR analysis was used to investigate the causal relationships between 486 serum metabolites, 338 CSF metabolites, and MGM. Our MGM data was derived from the genome wide association studies (GWASs) dataset in the FinnGen database, comprising 1,835 cases of European ancestry and 377,674 controls. The data for 486 plasma metabolites was obtained from the GWAS catalog, and the data for 338 CSF metabolites was obtained from the Wisconsin Alzheimer's Disease Research Center (WADRC) and Wisconsin Alzheimer's Disease Prevention Registry (WRAP) study collections. We mainly utilized the Inverse Variance Weighted (IVW) approach to evaluate the causal association between metabolites and MGMs, supplemented by four additional methods to further validate and strengthen our findings. False discovery rate (FDR) correction was applied (q<0.05) to control the false-positive rate.

RESULTS

Through MR analysis, the study identified 19 plasma metabolites and 17 CSF metabolites demonstrating potential causal associations with MGMs. Among these, 14 metabolites indicated positive causality with MGMs, while 22 metabolites displayed a remarkable negative causality. In particular, plasma levels of Glycerol 3-phosphate (G3P) (OR=4.76, 95% CI=1.02-22.12, P=0.047) and Valine (OR=0.025, 95% CI=0.0020-0.42, P=0.010) were found to exhibit the optimal efficacy. Multiple sensitivity analyses confirm the robustness of the results. The study found no evidence of a reverse causality between MGMs and the plasma levels of Glycerol 3-phosphate (G3P) and Valine.

CONCLUSION

This study identified 36 metabolites associated with the incidence of MGMs, among which Glycerol 3-phosphate (G3P) and Valine are the most notable findings.

摘要

背景

脑膜瘤(MGM)是最常见的颅内良性肿瘤,就发病率而言,仅次于恶性胶质瘤,是第二常见的颅内肿瘤。研究MGM患者血清和脑脊液(CSF)中的代谢物对于理解潜在的生物学机制、识别新的生物标志物以及制定新的治疗策略至关重要。

方法

孟德尔随机化(MR)是一种强大的分析方法,利用基因变异来评估暴露与结局之间的潜在因果关系。在本研究中,MR分析用于研究486种血清代谢物、338种脑脊液代谢物与MGM之间的因果关系。我们的MGM数据来自芬兰基因数据库中的全基因组关联研究(GWAS)数据集,包括1835例欧洲血统的病例和377,674例对照。486种血浆代谢物的数据来自GWAS目录,338种脑脊液代谢物的数据来自威斯康星州阿尔茨海默病研究中心(WADRC)和威斯康星州阿尔茨海默病预防登记处(WRAP)的研究集合。我们主要采用逆方差加权(IVW)方法来评估代谢物与MGM之间的因果关联,并辅以另外四种方法来进一步验证和强化我们的发现。应用错误发现率(FDR)校正(q<0.05)来控制假阳性率。

结果

通过MR分析,该研究确定了19种血浆代谢物和17种脑脊液代谢物与MGM存在潜在因果关联。其中,14种代谢物与MGM呈正因果关系,22种代谢物呈显著负因果关系。特别是,发现甘油3-磷酸(G3P)(OR=4.76,95%CI=1.02-22.12,P=0.047)和缬氨酸(OR=0.025,95%CI=0.0020-0.42,P=0.010)的血浆水平表现出最佳效果。多项敏感性分析证实了结果的稳健性。该研究未发现MGM与甘油3-磷酸(G3P)和缬氨酸的血浆水平之间存在反向因果关系的证据。

结论

本研究确定了36种与MGM发病率相关的代谢物,其中甘油3-磷酸(G3P)和缬氨酸是最显著的发现。

https://cdn.ncbi.nlm.nih.gov/pmc/blobs/528d/12323869/ce5999d0a679/JMDH-18-4391-g0001.jpg

文献检索

告别复杂PubMed语法,用中文像聊天一样搜索,搜遍4000万医学文献。AI智能推荐,让科研检索更轻松。

立即免费搜索

文件翻译

保留排版,准确专业,支持PDF/Word/PPT等文件格式,支持 12+语言互译。

免费翻译文档

深度研究

AI帮你快速写综述,25分钟生成高质量综述,智能提取关键信息,辅助科研写作。

立即免费体验