• 文献检索
  • 文档翻译
  • 深度研究
  • 学术资讯
  • Suppr Zotero 插件Zotero 插件
  • 邀请有礼
  • 套餐&价格
  • 历史记录
应用&插件
Suppr Zotero 插件Zotero 插件浏览器插件Mac 客户端Windows 客户端微信小程序
定价
高级版会员购买积分包购买API积分包
服务
文献检索文档翻译深度研究API 文档MCP 服务
关于我们
关于 Suppr公司介绍联系我们用户协议隐私条款
关注我们

Suppr 超能文献

核心技术专利:CN118964589B侵权必究
粤ICP备2023148730 号-1Suppr @ 2026

文献检索

告别复杂PubMed语法,用中文像聊天一样搜索,搜遍4000万医学文献。AI智能推荐,让科研检索更轻松。

立即免费搜索

文件翻译

保留排版,准确专业,支持PDF/Word/PPT等文件格式,支持 12+语言互译。

免费翻译文档

深度研究

AI帮你快速写综述,25分钟生成高质量综述,智能提取关键信息,辅助科研写作。

立即免费体验

针对男性群体改编综合乳腺癌知识测试的心理测量学分析:一项方法学研究。

A psychometric analysis for the adaptation of the comprehensive breast cancer knowledge test for the male population: a methodological study.

作者信息

Gencbas Dercan, Ozdemir Serpil, Yaman Uzumcu Leyla, Bulut Yunus Emre

机构信息

Department of Public Health Nursing, Gulhane Faculty of Nursing, University of Health Sciences, Ankara, Türkiye.

Department of Public Health, Gulhane Faculty of Medicine, University of Health Sciences, Ankara, Türkiye.

出版信息

Front Public Health. 2025 Jul 23;13:1535564. doi: 10.3389/fpubh.2025.1535564. eCollection 2025.

DOI:10.3389/fpubh.2025.1535564
PMID:40771247
原文链接:https://pmc.ncbi.nlm.nih.gov/articles/PMC12325193/
Abstract

OBJECTIVE

Increasing men's knowledge and awareness of breast cancer is aimed at addressing a significant barrier to women's engagement in screening. This study aims to adapt the Breast Cancer Knowledge Test, originally designed for women, for use with men, in order to increase their awareness and support female screening efforts.

METHODS

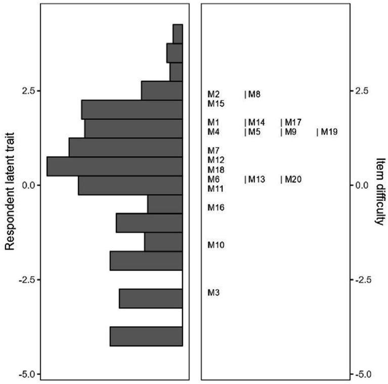
This methodological study was conducted with 310 male volunteers. The Davis technique was utilized to evaluate content validity to adapt the Breast Cancer Knowledge Test for males. The construct validity of the scale was evaluated using Tetrachoric Factor Analysis. Kuder Richardson-20 was calculated to determine the reliability of the scale. Item difficulty and discrimination indices were tested using Rasch analysis.

RESULTS

The Content Validity Index value was 0.96. The data was suitable for the factor analysis according to Bartlett's statistics ( = 0.001) and Kaiser-Meyer-Olkin test (test = 0.92). In the tetrachoric factor analysis, there were two subscales, explaining the total variance of 60.94%, and the goodness of fit indices were evaluated as indicating "excellent fit." According to the Rasch analysis, the model was found to be significant ( < 0.05), and the infit and outfit values were within the range of 0.5 to 1.5.

CONCLUSION

The male version of the Breast Cancer Knowledge Test was a valid and reliable tool for assessing the knowledge level of the Turkish male population regarding female breast cancer. By identifying areas where men lack knowledge, this scale can inform the development of targeted public health and educational initiatives, ultimately improving male engagement in breast cancer awareness and supporting female screening efforts.

摘要

目的

提高男性对乳腺癌的认识和了解,旨在消除女性参与筛查的一个重大障碍。本研究旨在对最初为女性设计的乳腺癌知识测试进行改编,使其适用于男性,以提高他们的认识并支持女性的筛查工作。

方法

对310名男性志愿者进行了这项方法学研究。采用戴维斯技术评估内容效度,以改编适用于男性的乳腺癌知识测试。使用四分相关因子分析评估该量表的结构效度。计算库德-理查森-20系数以确定该量表的信度。使用拉施分析测试项目难度和区分度指标。

结果

内容效度指数值为0.96。根据巴特利特统计量(=0.001)和凯泽-迈耶-奥尔金检验(检验值=0.92),数据适合进行因子分析。在四分相关因子分析中,有两个子量表,解释总方差的60.94%,拟合优度指标被评估为“拟合优”。根据拉施分析,模型具有显著性(<0.05),内拟合和外拟合值在0.5至1.5范围内。

结论

男性版乳腺癌知识测试是评估土耳其男性人群对女性乳腺癌知识水平的有效且可靠的工具。通过确定男性缺乏知识的领域,该量表可为有针对性的公共卫生和教育举措的制定提供信息,最终提高男性对乳腺癌的认识并支持女性的筛查工作。

https://cdn.ncbi.nlm.nih.gov/pmc/blobs/2273/12325193/408dcd0eeba3/fpubh-13-1535564-g002.jpg
https://cdn.ncbi.nlm.nih.gov/pmc/blobs/2273/12325193/8cfb961f6f32/fpubh-13-1535564-g001.jpg
https://cdn.ncbi.nlm.nih.gov/pmc/blobs/2273/12325193/408dcd0eeba3/fpubh-13-1535564-g002.jpg
https://cdn.ncbi.nlm.nih.gov/pmc/blobs/2273/12325193/8cfb961f6f32/fpubh-13-1535564-g001.jpg
https://cdn.ncbi.nlm.nih.gov/pmc/blobs/2273/12325193/408dcd0eeba3/fpubh-13-1535564-g002.jpg

相似文献

1
A psychometric analysis for the adaptation of the comprehensive breast cancer knowledge test for the male population: a methodological study.针对男性群体改编综合乳腺癌知识测试的心理测量学分析:一项方法学研究。
Front Public Health. 2025 Jul 23;13:1535564. doi: 10.3389/fpubh.2025.1535564. eCollection 2025.
2
Validity and reliability study of the Turkish version of the autism spectrum knowledge scale.自闭症谱系知识量表土耳其语版本的效度和信度研究
Acta Psychol (Amst). 2025 Jun 25;258:105204. doi: 10.1016/j.actpsy.2025.105204.
3
Turkish Version of the Sense of Belonging in Nursing School Scale: Validity and Reliability for Nursing Students.护理学校归属感量表的土耳其语版本:护理专业学生的效度与信度
J Nurs Meas. 2025 Jul 14;33(2):188-197. doi: 10.1891/JNM-2023-0118.
4
Development and validation of tool to assess respectful maternity care practices among healthcare providers.评估医疗服务提供者中尊重孕产妇护理实践的工具的开发与验证
BMC Health Serv Res. 2025 Jul 31;25(1):1007. doi: 10.1186/s12913-025-13155-0.
5
Adaptation and validation of the Chinese version of the digital addiction scale for children (DASC).儿童数字成瘾量表中文版(DASC)的改编与验证
BMC Public Health. 2025 Jul 30;25(1):2599. doi: 10.1186/s12889-025-23817-7.
6
Development of a cannabis health literacy questionnaire: preliminary validation using the Rasch model.大麻健康素养问卷的编制:基于拉施模型的初步验证
BMC Public Health. 2025 Jul 24;25(1):2539. doi: 10.1186/s12889-025-23770-5.
7
The measurement of collaboration within healthcare settings: a systematic review of measurement properties of instruments.医疗机构内协作的测量:对测量工具属性的系统评价
JBI Database System Rev Implement Rep. 2016 Apr;14(4):138-97. doi: 10.11124/JBISRIR-2016-2159.
8
Supervisors' self-assessment of feedback skills: a psychometric validation study of the English version of the SwissSETQ questionnaire for supervisors.主管对反馈技能的自我评估:瑞士主管效能问卷(SwissSETQ)英文版本的心理测量学验证研究
Swiss Med Wkly. 2025 May 30;155:4178. doi: 10.57187/s.4178.
9
Adaptation of the ''Food Allergy Self-Efficacy Scale for Parents''(FASE-P) to Turkish: a validity and reliability study.父母食物过敏自我效能量表(FASE-P)土耳其语适应性研究:有效性和信度研究。
Turk J Pediatr. 2024 Nov 16;66(5):534-543. doi: 10.24953/turkjpediatr.2024.4691.
10
Development and validation of a questionnaire assessing knowledge, attitude, and practice of snake envenomation among health care providers (KAPSE-HCPQ) in sub-Saharan African countries.撒哈拉以南非洲国家医疗保健人员蛇咬伤中毒知识、态度及实践调查问卷(KAPSE-HCPQ)的开发与验证
Trop Med Int Health. 2025 Jul;30(7):662-672. doi: 10.1111/tmi.14122. Epub 2025 May 8.

本文引用的文献

1
Male involvement in female partners' screening for breast and cervical cancers in Southwest Nigeria.尼日利亚西南部男性参与其女性伴侣的乳腺癌和宫颈癌筛查。
PLoS One. 2023 May 10;18(5):e0284141. doi: 10.1371/journal.pone.0284141. eCollection 2023.
2
Analysis of Knowledge About Male Breast Cancer Among Patients at Tertiary Medical Center.三级医疗中心男性乳腺癌患者相关知识分析。
Am J Mens Health. 2023 Mar-Apr;17(2):15579883231165626. doi: 10.1177/15579883231165626.
3
Breast Cancer in Asia: Incidence, Mortality, Early Detection, Mammography Programs, and Risk-Based Screening Initiatives.
亚洲的乳腺癌:发病率、死亡率、早期检测、乳房X光检查项目以及基于风险的筛查举措
Cancers (Basel). 2022 Aug 30;14(17):4218. doi: 10.3390/cancers14174218.
4
Polychoric Correlation With Ordinal Data in Nursing Research.多类相关与护理研究中的有序数据。
Nurs Res. 2022;71(6):469-476. doi: 10.1097/NNR.0000000000000614. Epub 2022 Aug 20.
5
The use and quality of reporting of Rasch analysis in nursing research: A methodological scoping review.Rasch 分析在护理研究中的使用及报告质量:方法学范围综述。
Int J Nurs Stud. 2022 Aug;132:104244. doi: 10.1016/j.ijnurstu.2022.104244. Epub 2022 Apr 20.
6
Challenges and opportunities for breast cancer early detection among rural dwelling women in Segamat District, Malaysia: A qualitative study.马来西亚士古来区农村女性乳腺癌早期检测的挑战与机遇:一项定性研究。
PLoS One. 2022 May 20;17(5):e0267308. doi: 10.1371/journal.pone.0267308. eCollection 2022.
7
Breast cancer screening in low and middle-income countries.在中低收入国家进行乳腺癌筛查。
Best Pract Res Clin Obstet Gynaecol. 2022 Sep;83:15-23. doi: 10.1016/j.bpobgyn.2022.03.018. Epub 2022 Apr 20.
8
Knowledge, attitude, practice towards breast self-examination and associated factors among women in Gondar town, Northwest Ethiopia, 2021: a community-based study.2021 年埃塞俄比亚西北部贡德尔镇女性对乳房自我检查的知识、态度、实践及其相关因素:一项基于社区的研究。
BMC Womens Health. 2022 May 14;22(1):174. doi: 10.1186/s12905-022-01764-4.
9
Breast cancer screening in average and high-risk women.普通及高危女性的乳腺癌筛查
Best Pract Res Clin Obstet Gynaecol. 2022 Sep;83:3-14. doi: 10.1016/j.bpobgyn.2021.11.007. Epub 2021 Nov 19.
10
Socio-Territorial Inequities in the French National Breast Cancer Screening Programme-A Cross-Sectional Multilevel Study.法国国家乳腺癌筛查计划中的社会地域不平等——一项横断面多层次研究
Cancers (Basel). 2021 Aug 30;13(17):4374. doi: 10.3390/cancers13174374.