Suppr超能文献

基于术前磁共振成像预测肿块型肝内胆管癌的PD-L1表达及预后

Prediction of PD-L1 expression and prognosis of mass-forming intrahepatic cholangiocarcinoma based on preoperative magnetic resonance imaging.

作者信息

Zhang Jun, Liu Jinpeng, Zhang Xin, Chen Feng

机构信息

Department of Radiology, The First Affiliated Hospital, Zhejiang University School of Medicine, Hangzhou, China.

GE HealthCare, Shanghai, China.

出版信息

Quant Imaging Med Surg. 2025 Aug 1;15(8):6822-6837. doi: 10.21037/qims-24-2130. Epub 2025 Jul 30.

Abstract

BACKGROUND

In clinical practice, only a subset of patients with tumor respond to immune checkpoint inhibitors. Therefore, the primary challenge lies in identifying the subgroup of candidates who will derive the greatest benefit from this type of therapy. Previous studies have indicated that the positive expression of programmed cell death ligand 1 (PD-L1) in tumors is associated with treatment response. In this study, we aimed to investigate the predictive value of preoperative magnetic resonance imaging (MRI) for PD-L1 expression and the prognosis of patients with mass-forming intrahepatic cholangiocarcinoma (MICC).

METHODS

A total of 92 patients who were pathologically confirmed to have MICC from January 2017 to December 2018 were enrolled. Logistic regression was used to identify significant factors associated with PD-L1 expression. A predictive model for PD-L1 expression was developed, and its efficacy was evaluated via receiver operating characteristic (ROC) curve analysis and the area under the curve (AUC). The clinical overall survival (OS) model was established based on clinical-radiologic factors via multivariate Cox regression analysis to categorize patients with MICC into high- and low-risk groups.

RESULTS

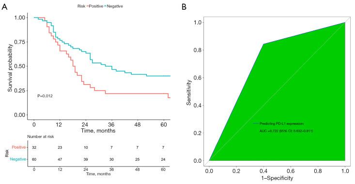
PD-L1 expression was significantly associated with enhancement patterns in the arterial phase of enhanced MR images [odds ratio (OR): 0.12; 95% confidence interval (CI): 0.04-0.37]. A predictive model for PD-L1 expression was established, with an AUC of 0.722 (95% CI: 0.632-0.811). Hepatic lobe atrophy [hazard ratio (HR): 2.036; 95% CI: 1.136-3.650], enhancement patterns (HR: 0.509; 95% CI: 0.295-0.877), lymph node metastasis (LNM) (HR: 1.715; 95% CI: 1.005-2.926), and carcinoembryonic antigen (CEA) (HR: 1.664; 95% CI: 1.007-2.750) were identified as prognostic factors for patients with MICC. The clinical OS model [concordance index (C-index): 0.875; 95% CI: 0.812-0.905] incorporating these independent predictors effectively stratified patients with MICC into high- and low-risk groups, with the 1-, 3-, and 5-year survival rates for the two groups being 56.5%, 17.4%, and 15.2%, respectively, and 89.1%, 58.7%, and 52.2%, respectively (P<0.001). Furthermore, the calibration curve of the clinical OS model demonstrated exceptional concordance between the predictions and actual observations.

CONCLUSIONS

Preoperative MRI may be a noninvasive means to predicting PD-L1 expression and prognosis in patients with MICC.

摘要

背景

在临床实践中,只有一部分肿瘤患者对免疫检查点抑制剂有反应。因此,主要挑战在于确定能从这类治疗中获得最大益处的候选亚组。既往研究表明,肿瘤中程序性细胞死亡配体1(PD-L1)的阳性表达与治疗反应相关。在本研究中,我们旨在探讨术前磁共振成像(MRI)对PD-L1表达及肿块型肝内胆管癌(MICC)患者预后的预测价值。

方法

纳入2017年1月至2018年12月间经病理证实患有MICC的92例患者。采用逻辑回归分析确定与PD-L1表达相关的显著因素。建立PD-L1表达的预测模型,并通过受试者工作特征(ROC)曲线分析和曲线下面积(AUC)评估其效能。通过多因素Cox回归分析,基于临床放射学因素建立临床总生存(OS)模型,将MICC患者分为高风险和低风险组。

结果

PD-L1表达与增强磁共振图像动脉期的强化方式显著相关[比值比(OR):0.12;95%置信区间(CI):0.04 - 0.37]。建立了PD-L1表达的预测模型,AUC为0.722(95%CI:0.632 - 0.811)。肝叶萎缩[风险比(HR):2.036;95%CI:1.136 - 3.650]、强化方式(HR:0.509;95%CI:0.295 - 0.877)、淋巴结转移(LNM)(HR:1.715;95%CI:1.005 - 2.926)和癌胚抗原(CEA)(HR:1.664;95%CI:1.007 - 2.750)被确定为MICC患者的预后因素。纳入这些独立预测因素的临床OS模型[一致性指数(C-index):0.875;95%CI:0.812 - 0.905]有效地将MICC患者分为高风险和低风险组,两组的1年、3年和5年生存率分别为56.5%、17.4%和15.2%,以及89.1%、58.7%和52.2%(P<0.001)。此外,临床OS模型的校准曲线显示预测值与实际观察值之间具有出色的一致性。

结论

术前MRI可能是预测MICC患者PD-L1表达及预后的一种非侵入性手段。

https://cdn.ncbi.nlm.nih.gov/pmc/blobs/6ae3/12332643/82356c124113/qims-15-08-6822-f1.jpg

文献AI研究员

20分钟写一篇综述,助力文献阅读效率提升50倍。

立即体验

用中文搜PubMed

大模型驱动的PubMed中文搜索引擎

马上搜索

文档翻译

学术文献翻译模型,支持多种主流文档格式。

立即体验