Suppr超能文献

鉴定PANoptosis相关基因作为缺血性中风的生物标志物

Identification of PANoptosis-related genes as biomarkers in ischemic stroke.

作者信息

Jiang Anna, Zhang Hongjing, Jia Xinglei, Zhao Huangying, Zhao Hong, Lu Zhengyu

机构信息

Department of Neurology, Shuguang Hospital Affiliated to Shanghai University of Traditional Chinese Medicine, Shanghai, China.

Department of Intensive Care Unit, Yueyang Hospital of Integrated Traditional Chinese and Western Medicine, Shanghai University of Traditional Chinese Medicine, Shanghai, China.

出版信息

Front Neurol. 2025 Jul 25;16:1560514. doi: 10.3389/fneur.2025.1560514. eCollection 2025.

Abstract

INTRODUCTION

PANoptosis (panoptotic cell death) is an inflammatory, lytic cell death pathway driven by caspases and RIPKs and regulated by PANoptosome complexes, distinguishing it from other cell death pathways. There is a close potential link between PANoptosis and neuroinflammation, with both regulating each other through complex molecular mechanisms and jointly participating in the pathological processes of neurological diseases.

METHODS

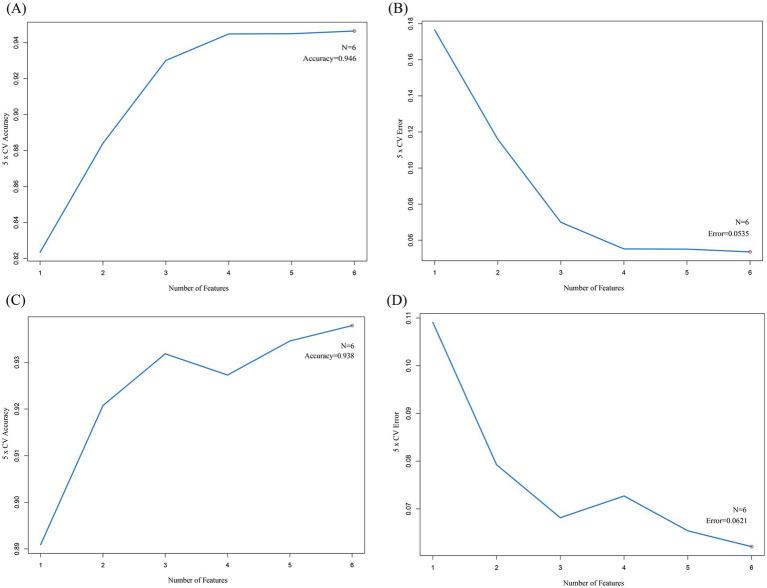
To investigate whether PANoptosis exists in IS and identify the master regulators of PANoptosis and their relationship. Gene microarray data were downloaded from the Gene Expression Omnibus (GEO) and differentially expressed genes (DEGs) were identified using R software. R software and Cytoscape were used to analyze and visualize the data. Gene ontology-biological process and the Kyoto Encyclopedia of Genes and Genomes were used to analyze the biological processes and possible pathways. The LASSO regression analysis, Random Forest (RF) and support vector machine (SVM) methods were used to identify key genes for diagnostic model construction. In addition, biomarkers with higher diagnostic values for ischemic stroke were validated using other GEO datasets.

RESULTS AND DISCUSSION

Finally, 4,392 upregulated genes and 4,356 downregulated genes were identified in the peripheral blood of 23 normal controls and 69 patients with IS from the GSE58294 dataset. Crossing the differential genes with 277 PANoptosis genes yielded 60 upregulated genes and 58 downregulated genes. The top 10 hub upregulated genes and hub downregulated genes were identified using Cytoscape. Through LASSO regression, RF and SVM, four intersecting genes were screened from upregulated genes, and six intersecting genes were screened from downregulated intersecting genes. These ten intersecting genes were differentially expressed in the validation GSE16561 dataset. The results identify upregulated genes (CASP1, CTNNB1, CASP8) and downregulated genes (PSMC3) as key regulators of PANoptosis in IS. These findings demonstrate that PANoptosis-related genes are differentially expressed in IS and may serve as potential biomarkers.

摘要

引言

全细胞凋亡(泛凋亡性细胞死亡)是一种由半胱天冬酶和受体相互作用蛋白激酶驱动、由全细胞凋亡复合体调节的炎症性、溶解性细胞死亡途径,这使其有别于其他细胞死亡途径。全细胞凋亡与神经炎症之间可能存在密切联系,二者通过复杂的分子机制相互调节,并共同参与神经疾病的病理过程。

方法

为研究全细胞凋亡是否存在于缺血性卒中(IS)中,并确定全细胞凋亡的主要调节因子及其关系。从基因表达综合数据库(GEO)下载基因芯片数据,使用R软件鉴定差异表达基因(DEG)。使用R软件和Cytoscape对数据进行分析和可视化。利用基因本体生物学过程和京都基因与基因组百科全书分析生物学过程和可能的途径。采用套索回归分析、随机森林(RF)和支持向量机(SVM)方法鉴定用于构建诊断模型的关键基因。此外,使用其他GEO数据集验证对缺血性卒中具有更高诊断价值的生物标志物。

结果与讨论

最后,在GSE58294数据集中,在23名正常对照者和69例IS患者的外周血中鉴定出4392个上调基因和4356个下调基因。将差异基因与277个全细胞凋亡基因进行交叉分析,得到60个上调基因和58个下调基因。使用Cytoscape鉴定出上调程度最高的前10个枢纽基因和下调程度最高的前10个枢纽基因。通过套索回归、RF和SVM,从上调基因中筛选出4个交集基因,从下调交集基因中筛选出6个交集基因。这10个交集基因在验证数据集GSE16561中存在差异表达。结果确定上调基因(半胱天冬酶1、β-连环蛋白1、半胱天冬酶8)和下调基因(蛋白酶体亚基β型3)为IS中全细胞凋亡的关键调节因子。这些发现表明,全细胞凋亡相关基因在IS中存在差异表达,可能作为潜在生物标志物。

https://cdn.ncbi.nlm.nih.gov/pmc/blobs/99e6/12333936/ad3afdf6cfd1/fneur-16-1560514-g001.jpg

文献AI研究员

20分钟写一篇综述,助力文献阅读效率提升50倍。

立即体验

用中文搜PubMed

大模型驱动的PubMed中文搜索引擎

马上搜索

文档翻译

学术文献翻译模型,支持多种主流文档格式。

立即体验