• 文献检索
  • 文档翻译
  • 深度研究
  • 学术资讯
  • Suppr Zotero 插件Zotero 插件
  • 邀请有礼
  • 套餐&价格
  • 历史记录
应用&插件
Suppr Zotero 插件Zotero 插件浏览器插件Mac 客户端Windows 客户端微信小程序
定价
高级版会员购买积分包购买API积分包
服务
文献检索文档翻译深度研究API 文档MCP 服务
关于我们
关于 Suppr公司介绍联系我们用户协议隐私条款
关注我们

Suppr 超能文献

核心技术专利:CN118964589B侵权必究
粤ICP备2023148730 号-1Suppr @ 2026

文献检索

告别复杂PubMed语法,用中文像聊天一样搜索,搜遍4000万医学文献。AI智能推荐,让科研检索更轻松。

立即免费搜索

文件翻译

保留排版,准确专业,支持PDF/Word/PPT等文件格式,支持 12+语言互译。

免费翻译文档

深度研究

AI帮你快速写综述,25分钟生成高质量综述,智能提取关键信息,辅助科研写作。

立即免费体验

中草药对甘薯贮藏品质的影响。

The effect of Chinese herbal medicines on the storage quality of sweet potato.

作者信息

Si Zengzhi, Men Fengrui, Liu Yangyang, Wang Weicao, Song Jiale

机构信息

Hebei Key Laboratory of Crop Stress Biology, Hebei Normal University of Science and Technology, Qinhuangdao, Hebei, China.

出版信息

Front Plant Sci. 2025 Jul 28;16:1623582. doi: 10.3389/fpls.2025.1623582. eCollection 2025.

DOI:10.3389/fpls.2025.1623582
PMID:40791785
原文链接:https://pmc.ncbi.nlm.nih.gov/articles/PMC12336122/
Abstract

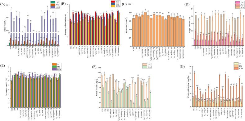
Sweet potato ( (L.) Lam.) are prone to damage during harvest and postharvest storage, leading to significant economic value depreciation. To mitigate nutritional degradation and improve storability, the application of appropriate preservatives is essential. Conventional preservation techniques, including physical, chemical, and biological approaches -though effective, present inherent limitations. Recent research has prioritized eco-friendly natural preservatives from Chinese herbal medicines as sustainable alternatives to synthetic biocides. In this study, we evaluated the storability of fourteen sweet potato varieties and assessed the preservation of Chinese herbal extracts on varieties with differential storage tolerance by investigating storage quality. The results showed that the purple-fleshed line JK142 (storage-tolerant representative) exhibited the lowest decay rate and moderate dry matter content; the yellow-fleshed cultivar Jishu 25 (moderately storage-tolerant representative) showed intermediate decay rate but the highest dry matter content; the white-fleshed line JK147 (storage-sensitive representative) displayed the highest decay rate and lowest dry matter content. Consequently, lines JK142 (storage-tolerant), Jishu 25 (moderately tolerant), and JK147 (storage-sensitive) were selected as representatives of three distinct storability levels to systematically evaluate the effects of varying concentrations of five Chinese herbal extracts on sweet potato postharvest preservation. The results revealed that the storage-tolerant cultivar JK142 achieved optimal cost-benefit preservation with 2% extract; the moderately tolerant Jishu 25 responded best to 0.5% extract; the storage-sensitive JK147 required 1% extract. These results substantiate the theoretical framework for developing plant-derived preservatives and highlight cultivar-specific preservation strategies. The study further establishes a foundation for investigating the mechanistic basis of herbal extract efficacy in postharvest management.

摘要

甘薯(Ipomoea batatas (L.) Lam.)在收获和采后储存期间容易受到损害,导致经济价值大幅下降。为了减轻营养成分的降解并提高耐储存性,应用适当的防腐剂至关重要。传统的保鲜技术,包括物理、化学和生物学方法——虽然有效,但存在固有的局限性。最近的研究将来自中草药的环保型天然防腐剂作为合成杀菌剂的可持续替代品加以优先考虑。在本研究中,我们评估了14个甘薯品种的耐储存性,并通过调查储存品质来评估中草药提取物对具有不同储存耐受性的品种的保鲜效果。结果表明,紫肉品系JK142(耐储存代表性品种)的腐烂率最低,干物质含量适中;黄肉品种济薯25(中等耐储存代表性品种)的腐烂率处于中等水平,但干物质含量最高;白肉品系JK147(对储存敏感的代表性品种)的腐烂率最高,干物质含量最低。因此,选择JK142品系(耐储存)、济薯25(中等耐储存)和JK147品系(对储存敏感)作为三种不同耐储存水平的代表,以系统评估五种中草药提取物不同浓度对甘薯采后保鲜的影响。结果显示,耐储存品种JK142使用2%的提取物可实现最佳的成本效益保鲜效果;中等耐储存的济薯25对0.5%的提取物反应最佳;对储存敏感的JK147需要1%的提取物。这些结果证实了开发植物源防腐剂的理论框架,并突出了品种特异性的保鲜策略。该研究进一步为研究中草药提取物在采后管理中发挥功效的作用机制奠定了基础。

https://cdn.ncbi.nlm.nih.gov/pmc/blobs/c8c1/12336122/f79a2427efb9/fpls-16-1623582-g006.jpg
https://cdn.ncbi.nlm.nih.gov/pmc/blobs/c8c1/12336122/4adae73eb100/fpls-16-1623582-g001.jpg
https://cdn.ncbi.nlm.nih.gov/pmc/blobs/c8c1/12336122/c66f39550b0e/fpls-16-1623582-g002.jpg
https://cdn.ncbi.nlm.nih.gov/pmc/blobs/c8c1/12336122/e62371ee2a79/fpls-16-1623582-g003.jpg
https://cdn.ncbi.nlm.nih.gov/pmc/blobs/c8c1/12336122/494c8093ea50/fpls-16-1623582-g004.jpg
https://cdn.ncbi.nlm.nih.gov/pmc/blobs/c8c1/12336122/9ff63328c1ec/fpls-16-1623582-g005.jpg
https://cdn.ncbi.nlm.nih.gov/pmc/blobs/c8c1/12336122/f79a2427efb9/fpls-16-1623582-g006.jpg
https://cdn.ncbi.nlm.nih.gov/pmc/blobs/c8c1/12336122/4adae73eb100/fpls-16-1623582-g001.jpg
https://cdn.ncbi.nlm.nih.gov/pmc/blobs/c8c1/12336122/c66f39550b0e/fpls-16-1623582-g002.jpg
https://cdn.ncbi.nlm.nih.gov/pmc/blobs/c8c1/12336122/e62371ee2a79/fpls-16-1623582-g003.jpg
https://cdn.ncbi.nlm.nih.gov/pmc/blobs/c8c1/12336122/494c8093ea50/fpls-16-1623582-g004.jpg
https://cdn.ncbi.nlm.nih.gov/pmc/blobs/c8c1/12336122/9ff63328c1ec/fpls-16-1623582-g005.jpg
https://cdn.ncbi.nlm.nih.gov/pmc/blobs/c8c1/12336122/f79a2427efb9/fpls-16-1623582-g006.jpg

相似文献

1
The effect of Chinese herbal medicines on the storage quality of sweet potato.中草药对甘薯贮藏品质的影响。
Front Plant Sci. 2025 Jul 28;16:1623582. doi: 10.3389/fpls.2025.1623582. eCollection 2025.
2
Topical herbal therapies for treating osteoarthritis.用于治疗骨关节炎的局部草药疗法。
Cochrane Database Syst Rev. 2013 May 31;2013(5):CD010538. doi: 10.1002/14651858.CD010538.
3
Short-Term Memory Impairment短期记忆障碍
4
Herbal medicines for viral myocarditis.用于治疗病毒性心肌炎的草药
Cochrane Database Syst Rev. 2013 Aug 28(8):CD003711. doi: 10.1002/14651858.CD003711.pub5.
5
Sweet potato for type 2 diabetes mellitus.红薯与2型糖尿病
Cochrane Database Syst Rev. 2012 Feb 15(2):CD009128. doi: 10.1002/14651858.CD009128.pub2.
6
The Control of Postharvest Soft Rot Caused by on Kokei No. 14 Organic Sweet Potato Roots by Carvacrol, Thymol, and Thyme Oil.香芹酚、百里香酚和百里香油对小町14号有机甘薯根采后软腐病的防治
Foods. 2025 Apr 5;14(7):1273. doi: 10.3390/foods14071273.
7
Oral traditional Chinese medication for adhesive small bowel obstruction.口服中药治疗粘连性小肠梗阻。
Cochrane Database Syst Rev. 2012 May 16;2012(5):CD008836. doi: 10.1002/14651858.CD008836.pub2.
8
Interventions to improve safe and effective medicines use by consumers: an overview of systematic reviews.改善消费者安全有效用药的干预措施:系统评价概述
Cochrane Database Syst Rev. 2014 Apr 29;2014(4):CD007768. doi: 10.1002/14651858.CD007768.pub3.
9
Adefovir dipivoxil and pegylated interferon alfa-2a for the treatment of chronic hepatitis B: a systematic review and economic evaluation.阿德福韦酯与聚乙二醇化干扰素α-2a治疗慢性乙型肝炎:系统评价与经济学评估
Health Technol Assess. 2006 Aug;10(28):iii-iv, xi-xiv, 1-183. doi: 10.3310/hta10280.
10
Sweet potato for type 2 diabetes mellitus.红薯与2型糖尿病
Cochrane Database Syst Rev. 2013 Sep 3;2013(9):CD009128. doi: 10.1002/14651858.CD009128.pub3.

本文引用的文献

1
Enhancing sweet potato production: a comprehensive analysis of the role of auxins and cytokinins in micropropagation.提高甘薯产量:生长素和细胞分裂素在微繁殖中作用的综合分析
Planta. 2025 Mar 4;261(4):74. doi: 10.1007/s00425-025-04650-z.
2
Research on Food Preservation Based on Antibacterial Technology: Progress and Future Prospects.基于抗菌技术的食品保鲜研究:进展与未来展望。
Molecules. 2024 Jul 15;29(14):3318. doi: 10.3390/molecules29143318.
3
Three Licorice Extracts' Impact on the Quality of Fresh-Cut Sweet Potato ( (L.) Lam) Slices.
三种甘草提取物对鲜切甘薯(Ipomoea batatas (L.) Lam)片品质的影响
Foods. 2024 Jan 9;13(2):211. doi: 10.3390/foods13020211.
4
Effect of Heat Treatment on the Quality and Soft Rot Resistance of Sweet Potato during Long-Term Storage.热处理对甘薯长期贮藏品质及抗软腐病能力的影响
Foods. 2023 Dec 2;12(23):4352. doi: 10.3390/foods12234352.
5
Comparative Analysis of Anthocyanin Compositions and Starch Physiochemical Properties of Purple-Fleshed Sweetpotato "Xuzishu8" in Desert Regions of China.中国沙漠地区紫肉甘薯“徐紫薯8号”花色苷成分与淀粉理化性质的比较分析
Front Plant Sci. 2022 Apr 12;13:841969. doi: 10.3389/fpls.2022.841969. eCollection 2022.
6
Engineered Nanomaterials Suppress the Soft Rot Disease () and Slow Down the Loss of Nutrient in Sweet Potato.工程纳米材料可抑制甘薯软腐病并减缓其营养流失。
Nanomaterials (Basel). 2021 Sep 30;11(10):2572. doi: 10.3390/nano11102572.
7
Engineering Properties of Sweet Potato Starch for Industrial Applications by Biotechnological Techniques including Genome Editing.通过生物技术手段(包括基因组编辑)对工业应用的甘薯淀粉的工程特性进行研究。
Int J Mol Sci. 2021 Sep 2;22(17):9533. doi: 10.3390/ijms22179533.
8
Bioactive Compounds, Antioxidants, and Health Benefits of Sweet Potato Leaves.紫薯叶的生物活性化合物、抗氧化剂和健康益处。
Molecules. 2021 Mar 24;26(7):1820. doi: 10.3390/molecules26071820.
9
Novel value-added uses for sweet potato juice and flour in polyphenol- and protein-enriched functional food ingredients.富含多酚和蛋白质的功能性食品配料中甘薯汁和甘薯粉的新型增值用途。
Food Sci Nutr. 2015 Sep;3(5):415-24. doi: 10.1002/fsn3.234. Epub 2015 Apr 9.
10
Phytochemical changes in phenolics, anthocyanins, ascorbic acid, and carotenoids associated with sweetpotato storage and impacts on bioactive properties.与甘薯贮藏相关的酚类、花青素、抗坏血酸和类胡萝卜素的植物化学变化及其对生物活性的影响。
Food Chem. 2014 Feb 15;145:717-24. doi: 10.1016/j.foodchem.2013.08.107. Epub 2013 Sep 5.