• 文献检索
  • 文档翻译
  • 深度研究
  • 学术资讯
  • Suppr Zotero 插件Zotero 插件
  • 邀请有礼
  • 套餐&价格
  • 历史记录
应用&插件
Suppr Zotero 插件Zotero 插件浏览器插件Mac 客户端Windows 客户端微信小程序
定价
高级版会员购买积分包购买API积分包
服务
文献检索文档翻译深度研究API 文档MCP 服务
关于我们
关于 Suppr公司介绍联系我们用户协议隐私条款
关注我们

Suppr 超能文献

核心技术专利:CN118964589B侵权必究
粤ICP备2023148730 号-1Suppr @ 2026

文献检索

告别复杂PubMed语法,用中文像聊天一样搜索,搜遍4000万医学文献。AI智能推荐,让科研检索更轻松。

立即免费搜索

文件翻译

保留排版,准确专业,支持PDF/Word/PPT等文件格式,支持 12+语言互译。

免费翻译文档

深度研究

AI帮你快速写综述,25分钟生成高质量综述,智能提取关键信息,辅助科研写作。

立即免费体验

接受靶向治疗的不可切除肝细胞癌患者的预后预测模型

Outcome prediction model for patients with unresectable hepatocellular carcinoma treated with targeted therapy.

作者信息

Ruan Qiang, Wang Xiaohui, Li Qiang, Tao Yu, Xun Yang, Yang Hua, Zhao Han, Lu Jinfeng, Yang Dazhi, Chen Yifan, Wei Li

机构信息

Department of the Second Area of Gastrointestinal Surgery, Guangzhou Institute of Cancer Research, The Affiliated Cancer Hospital, Guangzhou Medical University, Guangzhou, China.

Department of Hepatobiliary Surgery, Hunan Provincial People's Hospital (The First Affiliated Hospital of Hunan Normal University), Changsha, China.

出版信息

Sci Rep. 2025 Aug 12;15(1):29608. doi: 10.1038/s41598-025-13799-2.

DOI:10.1038/s41598-025-13799-2
PMID:40796601
原文链接:https://pmc.ncbi.nlm.nih.gov/articles/PMC12343759/
Abstract

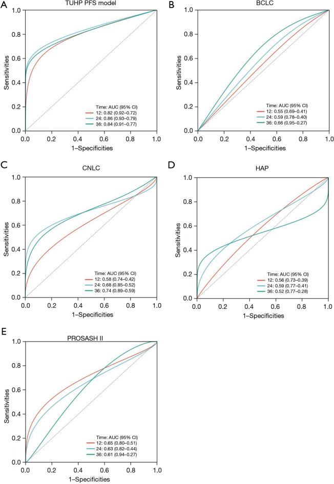
There is no well-established model to predict the outcomes of patients with unresectable hepatocellular carcinoma (u-HCC) receiving targeted therapy. The goal of this study was to develop and validate a prediction model that accurately predicts outcomes of patients who received targeted therapy for u-HCC. We retrospectively analyzed data from patients with u-HCC who had received targeted therapy (sorafenib or lenvatinib) between 2011 and 2023 across three centers. The clinical data from two centers were divided in a 7:3 ratio to create training and internal validation sets, respectively. While the data from the third center was used as the external validation dataset. In the training set, the variables independently associated with overall survival (OS) or progression-free survival (PFS) in multivariable analysis were alpha-fetoprotein level ≥ 20 ng/mL and macrovascular invasion (MVI). The variables were then used to develop the targeted therapy for unresectable hepatocellular carcinoma prognosis (TUHP) model. In the validation set, the TUHP model was tested and compared with other prognostic model. The results showed that the TUHP model was also significantly associated with OS and PFS and exhibited greater discriminative ability than the existing prognostic models. The TUHP model accurately predicted OS and PFS among patients with u-HCC who received targeted therapy in both training and validation cohorts. The TUHP model may help optimize outcomes of patients who receive targeted therapy for u-HCC.

摘要

目前尚无成熟的模型可用于预测接受靶向治疗的不可切除肝细胞癌(u-HCC)患者的预后。本研究的目的是开发并验证一种能准确预测接受u-HCC靶向治疗患者预后的预测模型。我们回顾性分析了2011年至2023年间在三个中心接受靶向治疗(索拉非尼或仑伐替尼)的u-HCC患者的数据。将两个中心的临床数据按7:3的比例分别划分为训练集和内部验证集。而将第三个中心的数据用作外部验证数据集。在训练集中,多变量分析中与总生存期(OS)或无进展生存期(PFS)独立相关的变量为甲胎蛋白水平≥20 ng/mL和大血管侵犯(MVI)。然后使用这些变量开发了不可切除肝细胞癌靶向治疗预后(TUHP)模型。在验证集中,对TUHP模型进行了测试,并与其他预后模型进行了比较。结果显示,TUHP模型也与OS和PFS显著相关,并且比现有的预后模型具有更强的判别能力。TUHP模型在训练队列和验证队列中均准确预测了接受靶向治疗的u-HCC患者的OS和PFS。TUHP模型可能有助于优化接受u-HCC靶向治疗患者的预后。

https://cdn.ncbi.nlm.nih.gov/pmc/blobs/bf50/12343759/505839c104ac/41598_2025_13799_Fig8_HTML.jpg
https://cdn.ncbi.nlm.nih.gov/pmc/blobs/bf50/12343759/dc873596bff2/41598_2025_13799_Fig1_HTML.jpg
https://cdn.ncbi.nlm.nih.gov/pmc/blobs/bf50/12343759/2ba260628009/41598_2025_13799_Fig2_HTML.jpg
https://cdn.ncbi.nlm.nih.gov/pmc/blobs/bf50/12343759/982a91c26757/41598_2025_13799_Fig3_HTML.jpg
https://cdn.ncbi.nlm.nih.gov/pmc/blobs/bf50/12343759/f216f0f63706/41598_2025_13799_Fig4_HTML.jpg
https://cdn.ncbi.nlm.nih.gov/pmc/blobs/bf50/12343759/5d831b0b1fee/41598_2025_13799_Fig5_HTML.jpg
https://cdn.ncbi.nlm.nih.gov/pmc/blobs/bf50/12343759/3836881a878b/41598_2025_13799_Fig6_HTML.jpg
https://cdn.ncbi.nlm.nih.gov/pmc/blobs/bf50/12343759/93f36cccdb23/41598_2025_13799_Fig7_HTML.jpg
https://cdn.ncbi.nlm.nih.gov/pmc/blobs/bf50/12343759/505839c104ac/41598_2025_13799_Fig8_HTML.jpg
https://cdn.ncbi.nlm.nih.gov/pmc/blobs/bf50/12343759/dc873596bff2/41598_2025_13799_Fig1_HTML.jpg
https://cdn.ncbi.nlm.nih.gov/pmc/blobs/bf50/12343759/2ba260628009/41598_2025_13799_Fig2_HTML.jpg
https://cdn.ncbi.nlm.nih.gov/pmc/blobs/bf50/12343759/982a91c26757/41598_2025_13799_Fig3_HTML.jpg
https://cdn.ncbi.nlm.nih.gov/pmc/blobs/bf50/12343759/f216f0f63706/41598_2025_13799_Fig4_HTML.jpg
https://cdn.ncbi.nlm.nih.gov/pmc/blobs/bf50/12343759/5d831b0b1fee/41598_2025_13799_Fig5_HTML.jpg
https://cdn.ncbi.nlm.nih.gov/pmc/blobs/bf50/12343759/3836881a878b/41598_2025_13799_Fig6_HTML.jpg
https://cdn.ncbi.nlm.nih.gov/pmc/blobs/bf50/12343759/93f36cccdb23/41598_2025_13799_Fig7_HTML.jpg
https://cdn.ncbi.nlm.nih.gov/pmc/blobs/bf50/12343759/505839c104ac/41598_2025_13799_Fig8_HTML.jpg

相似文献

1
Outcome prediction model for patients with unresectable hepatocellular carcinoma treated with targeted therapy.接受靶向治疗的不可切除肝细胞癌患者的预后预测模型
Sci Rep. 2025 Aug 12;15(1):29608. doi: 10.1038/s41598-025-13799-2.
2
The safety and effectiveness of sintilimab versus camrelizumab, both plus targeted drugs, in advanced hepatocellular carcinoma.在晚期肝细胞癌中,信迪利单抗与卡瑞利珠单抗联合靶向药物的安全性和有效性比较。
Front Immunol. 2025 Jun 23;16:1585956. doi: 10.3389/fimmu.2025.1585956. eCollection 2025.
3
Efficacy of Lenvatinib Versus Sorafenib in the Treatment of Unresectable Hepatocellular Carcinoma: A Systematic Review and Meta-Analysis.仑伐替尼与索拉非尼治疗不可切除肝细胞癌的疗效:一项系统评价和荟萃分析
Asian Pac J Cancer Prev. 2025 Jun 1;26(6):1943-1952. doi: 10.31557/APJCP.2025.26.6.1943.
4
Trajectories of α-fetoprotein and unresectable hepatocellular carcinoma outcomes receiving lenvatinib: a retrospective, multicenter cohort study.接受乐伐替尼治疗的甲胎蛋白轨迹与不可切除肝细胞癌的预后:一项回顾性多中心队列研究。
BMC Cancer. 2025 Jul 2;25(1):1137. doi: 10.1186/s12885-025-14516-y.
5
Sequencing of systemic therapy in unresectable hepatocellular carcinoma: A systematic review and Bayesian network meta-analysis of randomized clinical trials.系统治疗不可切除肝细胞癌的序贯治疗:随机临床试验的系统评价和贝叶斯网络荟萃分析。
Crit Rev Oncol Hematol. 2024 Dec;204:104522. doi: 10.1016/j.critrevonc.2024.104522. Epub 2024 Sep 26.
6
Efficacy and safety of TACE combined with lenvatinib and PD-1 Inhibitor in intermediate-stage HCC exceeding the up-7 criteria: a retrospective cohort study.经动脉化疗栓塞术联合乐伐替尼和程序性死亡受体1抑制剂治疗超过up-7标准的中期肝细胞癌的疗效与安全性:一项回顾性队列研究
Front Immunol. 2025 Jun 12;16:1560750. doi: 10.3389/fimmu.2025.1560750. eCollection 2025.
7
Atezolizumab plus bevacizumab versus Lenvatinib for patients with Barcelona clinic liver cancer stage B (BCLC-B) hepatocellular carcinoma (HCC): A real-world population.阿替利珠单抗联合贝伐单抗与乐伐替尼治疗巴塞罗那临床肝癌分期B(BCLC-B)期肝细胞癌(HCC):一项真实世界人群研究。
Semin Oncol. 2025 Jun 9;52(4):152348. doi: 10.1016/j.seminoncol.2025.152348.
8
The role of prognostic nutrition index in the prognosis of patients with advanced hepatocellular carcinoma who received first-line therapy.预后营养指数在接受一线治疗的晚期肝细胞癌患者预后中的作用。
BMC Cancer. 2025 Aug 2;25(1):1258. doi: 10.1186/s12885-025-14672-1.
9
Toripalimab plus bevacizumab versus sorafenib as first-line treatment for advanced hepatocellular carcinoma (HEPATORCH): a randomised, open-label, phase 3 trial.托法替布联合贝伐珠单抗对比索拉非尼作为晚期肝细胞癌一线治疗的疗效(HEPATORCH):一项随机、开放标签的3期试验
Lancet Gastroenterol Hepatol. 2025 Jul;10(7):658-670. doi: 10.1016/S2468-1253(25)00059-7. Epub 2025 May 20.
10
Conversion study of hepatocellular carcinoma using HAIC combined with lenvatinib and PD-1/L1 immunotherapy under the guidance of BCLC staging.在BCLC分期指导下,使用肝动脉灌注化疗(HAIC)联合乐伐替尼及PD-1/L1免疫疗法对肝细胞癌进行的转化研究
Front Immunol. 2025 Jun 2;16:1596864. doi: 10.3389/fimmu.2025.1596864. eCollection 2025.

本文引用的文献

1
Prognostic significance of the cachexia index (CXI) in patients with cancer: A systematic review and meta-analysis.恶病质指数(CXI)在癌症患者中的预后意义:一项系统评价和荟萃分析
Clin Nutr ESPEN. 2025 Mar 27;68:240-247. doi: 10.1016/j.clnesp.2025.03.023.
2
Prognostic Value of Neutrophil-to-Eosinophil Ratio (NER) in Cancer: A Systematic Review and Meta-Analysis.中性粒细胞与嗜酸性粒细胞比值(NER)在癌症中的预后价值:一项系统评价和荟萃分析
Cancers (Basel). 2024 Oct 31;16(21):3689. doi: 10.3390/cancers16213689.
3
Efficacy and Safety of Durvalumab/Tremelimumab in Unresectable Hepatocellular Carcinoma as Immune Checkpoint Inhibitor Rechallenge Following Atezolizumab/Bevacizumab Treatment.
度伐利尤单抗/替西木单抗在阿替利珠单抗/贝伐珠单抗治疗后作为免疫检查点抑制剂再次挑战用于不可切除肝细胞癌的疗效和安全性。
Target Oncol. 2024 Sep;19(5):769-778. doi: 10.1007/s11523-024-01092-7. Epub 2024 Sep 2.
4
Associations between "Cancer Risk", "Inflammation" and "Metabolic Syndrome": A Scoping Review.“癌症风险”“炎症”与“代谢综合征”之间的关联:一项范围综述
Biology (Basel). 2024 May 16;13(5):352. doi: 10.3390/biology13050352.
5
Immune checkpoint inhibitor-related hearing loss: a systematic review and analysis of individual patient data.免疫检查点抑制剂相关听力损失:一项系统评价和个体患者数据分析。
Support Care Cancer. 2023 Oct 11;31(12):624. doi: 10.1007/s00520-023-08083-w.
6
The evolution of immune checkpoint inhibitor combinations in advanced hepatocellular carcinoma - A systematic review.免疫检查点抑制剂联合治疗晚期肝细胞癌的研究进展——系统综述。
Cancer Treat Rev. 2023 Jul;118:102584. doi: 10.1016/j.ctrv.2023.102584. Epub 2023 May 27.
7
Development of a Multivariate Prognostic Model for Lenvatinib Treatment in Hepatocellular Carcinoma.多变量预后模型在肝细胞癌仑伐替尼治疗中的建立。
Oncologist. 2023 Oct 3;28(10):e942-e949. doi: 10.1093/oncolo/oyad107.
8
Immunotherapy for hepatocellular carcinoma: Recent advances and future targets.肝细胞癌的免疫疗法:最新进展与未来靶点
Pharmacol Ther. 2023 Apr;244:108387. doi: 10.1016/j.pharmthera.2023.108387. Epub 2023 Mar 21.
9
Combination immunotherapy for hepatocellular carcinoma.肝细胞癌的联合免疫治疗。
J Hepatol. 2023 Aug;79(2):506-515. doi: 10.1016/j.jhep.2023.03.003. Epub 2023 Mar 16.
10
Prognostic model for predicting outcome and guiding treatment decision for unresectable hepatocellular carcinoma treated with lenvatinib monotherapy or lenvatinib plus immunotherapy.仑伐替尼单药或仑伐替尼联合免疫治疗不可切除肝细胞癌的预后模型:预测结果和指导治疗决策。
Front Immunol. 2023 Feb 23;14:1141199. doi: 10.3389/fimmu.2023.1141199. eCollection 2023.