• 文献检索
  • 文档翻译
  • 深度研究
  • 学术资讯
  • Suppr Zotero 插件Zotero 插件
  • 邀请有礼
  • 套餐&价格
  • 历史记录
应用&插件
Suppr Zotero 插件Zotero 插件浏览器插件Mac 客户端Windows 客户端微信小程序
定价
高级版会员购买积分包购买API积分包
服务
文献检索文档翻译深度研究API 文档MCP 服务
关于我们
关于 Suppr公司介绍联系我们用户协议隐私条款
关注我们

Suppr 超能文献

核心技术专利:CN118964589B侵权必究
粤ICP备2023148730 号-1Suppr @ 2026

文献检索

告别复杂PubMed语法,用中文像聊天一样搜索,搜遍4000万医学文献。AI智能推荐,让科研检索更轻松。

立即免费搜索

文件翻译

保留排版,准确专业,支持PDF/Word/PPT等文件格式,支持 12+语言互译。

免费翻译文档

深度研究

AI帮你快速写综述,25分钟生成高质量综述,智能提取关键信息,辅助科研写作。

立即免费体验

针对语音障碍儿童,以家长为重点的远程言语病理学适应性循环方法的疗效。

Efficacy of the adapted Cycles approach in telepractice speech-language pathology with a parental focus for children with speech sound disorders.

作者信息

Barbosa Daniela Aparecida, Wertzner Haydée Fiszbein

机构信息

Departamento de Fisioterapia, Fonoaudiologia e Terapia Ocupacional, Faculdade de Medicina, Universidade de São Paulo - USP - São Paulo (SP), Brasil.

出版信息

Codas. 2025 Aug 11;37(4):e20240216. doi: 10.1590/2317-1782/e20240216pt. eCollection 2025.

DOI:10.1590/2317-1782/e20240216pt
PMID:40802299
原文链接:https://pmc.ncbi.nlm.nih.gov/articles/PMC12341760/
Abstract

PURPOSE

To evaluate the effectiveness of the adapted Cycles approach to telepractice and family engagement in the treatment of children with speech sound disorder (SSD).

METHODS

Ten children aged 5:0 to 7:8 years with a diagnosis of SSD participated. Two multiple baseline assessments and two post-treatment assessments were conducted. Effectiveness was measured by comparing pre- and post-intervention percentage of consonants correct (PCC), percentage of consonants correct revised (PCC-R), Process Density Index (PDI), and the number of phonological processes with occurrence >25% and the intervention effect size (ES). Family perceptions of daily training were obtained via digital interview and Likert scale. Subjects were randomly distributed to G1: two weekly online sessions with the speech therapist, and G2: half the sessions conducted by the caregiver trained by the speech therapist. Both groups received 12 sessions and performed daily speech training.

RESULTS

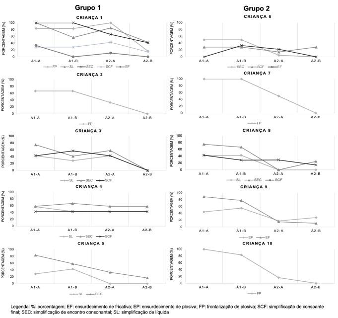
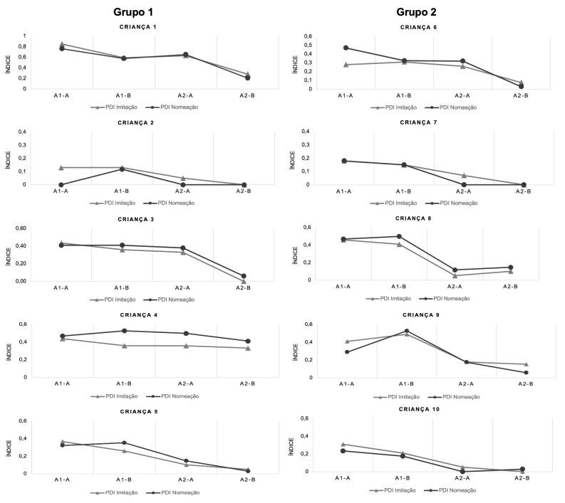
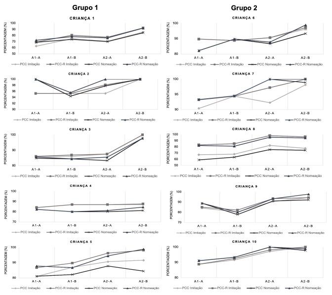
All participants showed increased PCC, PCC-R, and decreased PDI and number of phonological processes with occurrence >25%, with ES ranging from small to large. There was a trend towards statistical significance (ES G2 > G1). All caregivers reported high child interest in activities and ease of execution, with a positive family experience (Likert=4) training the child's speech using digital resources.

CONCLUSION

The effectiveness of the proposed approach ranged from medium to high. The performance of the groups was similar, with a trend towards greater effectiveness for G2, which focused on family involvement. Parental training resulted in good engagement in sessions and daily training.

摘要

目的

评估适应性循环方法在远程治疗及家庭参与治疗儿童语音障碍(SSD)中的有效性。

方法

10名年龄在5:0至7:8岁、被诊断为语音障碍的儿童参与研究。进行了两次多重基线评估和两次治疗后评估。通过比较干预前后的辅音正确百分比(PCC)、修正后的辅音正确百分比(PCC-R)、过程密度指数(PDI)以及出现频率>25%的语音过程数量和干预效应大小(ES)来衡量有效性。通过数字访谈和李克特量表获取家庭对日常训练的看法。受试者被随机分配到G1组:每周与言语治疗师进行两次在线课程;G2组:一半课程由言语治疗师培训的照顾者进行。两组均接受12次课程并进行日常语音训练。

结果

所有参与者的PCC、PCC-R均有所增加,PDI以及出现频率>25%的语音过程数量均有所减少,效应大小从小到中等。存在统计学显著性趋势(G2组的ES>G1组)。所有照顾者均报告孩子对活动兴趣高且易于执行,使用数字资源训练孩子语音的家庭体验良好(李克特量表评分为4)。

结论

所提出方法的有效性从中等到较高。两组的表现相似,G2组(侧重于家庭参与)有效果更佳的趋势。家长培训使他们积极参与课程和日常训练。

https://cdn.ncbi.nlm.nih.gov/pmc/blobs/b3c2/12341760/1ec7d28a1d7b/codas-37-4-e20240216-g05.jpg
https://cdn.ncbi.nlm.nih.gov/pmc/blobs/b3c2/12341760/720078e9cac5/codas-37-4-e20240216-g01-en.jpg
https://cdn.ncbi.nlm.nih.gov/pmc/blobs/b3c2/12341760/5cee93daac51/codas-37-4-e20240216-g02-en.jpg
https://cdn.ncbi.nlm.nih.gov/pmc/blobs/b3c2/12341760/25a3d6342151/codas-37-4-e20240216-g03-en.jpg
https://cdn.ncbi.nlm.nih.gov/pmc/blobs/b3c2/12341760/119382e3cb2f/codas-37-4-e20240216-g04-en.jpg
https://cdn.ncbi.nlm.nih.gov/pmc/blobs/b3c2/12341760/0515742dcf1f/codas-37-4-e20240216-g05-en.jpg
https://cdn.ncbi.nlm.nih.gov/pmc/blobs/b3c2/12341760/be2281c578a2/codas-37-4-e20240216-g01.jpg
https://cdn.ncbi.nlm.nih.gov/pmc/blobs/b3c2/12341760/0403388a6991/codas-37-4-e20240216-g02.jpg
https://cdn.ncbi.nlm.nih.gov/pmc/blobs/b3c2/12341760/93143ff09ddf/codas-37-4-e20240216-g03.jpg
https://cdn.ncbi.nlm.nih.gov/pmc/blobs/b3c2/12341760/4230fcb3e976/codas-37-4-e20240216-g04.jpg
https://cdn.ncbi.nlm.nih.gov/pmc/blobs/b3c2/12341760/1ec7d28a1d7b/codas-37-4-e20240216-g05.jpg
https://cdn.ncbi.nlm.nih.gov/pmc/blobs/b3c2/12341760/720078e9cac5/codas-37-4-e20240216-g01-en.jpg
https://cdn.ncbi.nlm.nih.gov/pmc/blobs/b3c2/12341760/5cee93daac51/codas-37-4-e20240216-g02-en.jpg
https://cdn.ncbi.nlm.nih.gov/pmc/blobs/b3c2/12341760/25a3d6342151/codas-37-4-e20240216-g03-en.jpg
https://cdn.ncbi.nlm.nih.gov/pmc/blobs/b3c2/12341760/119382e3cb2f/codas-37-4-e20240216-g04-en.jpg
https://cdn.ncbi.nlm.nih.gov/pmc/blobs/b3c2/12341760/0515742dcf1f/codas-37-4-e20240216-g05-en.jpg
https://cdn.ncbi.nlm.nih.gov/pmc/blobs/b3c2/12341760/be2281c578a2/codas-37-4-e20240216-g01.jpg
https://cdn.ncbi.nlm.nih.gov/pmc/blobs/b3c2/12341760/0403388a6991/codas-37-4-e20240216-g02.jpg
https://cdn.ncbi.nlm.nih.gov/pmc/blobs/b3c2/12341760/93143ff09ddf/codas-37-4-e20240216-g03.jpg
https://cdn.ncbi.nlm.nih.gov/pmc/blobs/b3c2/12341760/4230fcb3e976/codas-37-4-e20240216-g04.jpg
https://cdn.ncbi.nlm.nih.gov/pmc/blobs/b3c2/12341760/1ec7d28a1d7b/codas-37-4-e20240216-g05.jpg

相似文献

1
Efficacy of the adapted Cycles approach in telepractice speech-language pathology with a parental focus for children with speech sound disorders.针对语音障碍儿童,以家长为重点的远程言语病理学适应性循环方法的疗效。
Codas. 2025 Aug 11;37(4):e20240216. doi: 10.1590/2317-1782/e20240216pt. eCollection 2025.
2
The agreement of phonetic transcriptions between paediatric speech and language therapists transcribing a disordered speech sample.儿科言语和语言治疗师转写语音样本的音标转录的一致性。
Int J Lang Commun Disord. 2024 Sep-Oct;59(5):1981-1995. doi: 10.1111/1460-6984.13043. Epub 2024 Jun 8.
3
Interventions for childhood apraxia of speech.儿童言语失用症的干预措施。
Cochrane Database Syst Rev. 2018 May 30;5(5):CD006278. doi: 10.1002/14651858.CD006278.pub3.
4
Non-speech oral motor treatment for children with developmental speech sound disorders.针对发育性语音障碍儿童的非言语口腔运动治疗。
Cochrane Database Syst Rev. 2015 Mar 25;2015(3):CD009383. doi: 10.1002/14651858.CD009383.pub2.
5
A randomised controlled trial of the effectiveness of parent-based models of language intervention for 2- to 3-year-old children with speech, language and communication needs (SLCN) in areas of social disadvantage.一项针对社会弱势群体中具有言语、语言和沟通需求(SLCN)的 2-3 岁儿童的基于父母的语言干预模式有效性的随机对照试验。
Int J Lang Commun Disord. 2024 Jul-Aug;59(4):1517-1537. doi: 10.1111/1460-6984.13016. Epub 2024 Jan 29.
6
Extending Complexity to Word-Final Position via Telepractice: Intervention Effects for English-Speaking Children With Speech Sound Disorder.通过远程治疗将复杂性扩展到单词末尾位置:对患有语音障碍的英语儿童的干预效果
Lang Speech Hear Serv Sch. 2025 Jan 9;56(1):42-57. doi: 10.1044/2024_LSHSS-24-00020. Epub 2024 Nov 4.
7
Co-design to consensus: Identifying the core elements of a novel intervention for pre-school children with co-occurring phonological speech sound disorder (SSD) and developmental language disorder (DLD) using a modified e-Delphi approach.从共同设计到达成共识:采用改良的电子德尔菲法确定一种针对同时患有语音障碍(SSD)和发育性语言障碍(DLD)的学龄前儿童的新型干预措施的核心要素。
PLoS One. 2025 Jun 18;20(6):e0326072. doi: 10.1371/journal.pone.0326072. eCollection 2025.
8
Effect of online parent training in promoting language development of children with language delay in Hubei province, China.中国湖北省在线家长培训对语言发育迟缓儿童语言发展的影响。
Int J Lang Commun Disord. 2024 Jul-Aug;59(4):1322-1335. doi: 10.1111/1460-6984.12945. Epub 2024 Jan 2.
9
Speech-Language Pathologists' Experiences on Telepractice in Children With Autism Spectrum Disorder in India-A Qualitative Study.印度言语治疗师对自闭症谱系障碍儿童进行远程治疗的经验——一项定性研究
Int J Lang Commun Disord. 2025 Jul-Aug;60(4):e70072. doi: 10.1111/1460-6984.70072.
10
Efficacy of the Adapted Cycles Intervention Program (PROCICLOS-A) and the influence of severity on the performance of children with Speech Sound Disorders.适应性循环干预计划(PROCICLOS-A)的疗效以及严重程度对语音障碍儿童表现的影响。
Codas. 2025 Aug 15;37(4):e20240215. doi: 10.1590/2317-1782/e20240215pt. eCollection 2025.

本文引用的文献

1
Telepractice with Preschool Children: Speech-Language Pathologists' Perspectives in Turkey.针对学龄前儿童的远程治疗:土耳其言语语言病理学家的观点
Int J Telerehabil. 2022 Dec 13;14(2):e6465. doi: 10.5195/ijt.2022.6465. eCollection 2022.
2
Efficacy in the use of gamification strategy in phonological therapy.游戏化策略在语音治疗中的应用效果。
Codas. 2023 Sep 8;35(6):e20220181. doi: 10.1590/2317-1782/20232022181pt. eCollection 2023.
3
Equitable access to speech practice for rural Australian children using the SayBananas! mobile game.
利用“SayBananas!”手机游戏为澳大利亚农村儿童提供公平的口语练习机会。
Int J Speech Lang Pathol. 2023 Jun;25(3):388-402. doi: 10.1080/17549507.2023.2205057. Epub 2023 May 25.
4
Tasks performed by parents to enable telepractice for children with communication disorders: an interview study with clinicians and parents.家长为有沟通障碍的儿童实施远程实践的任务:对临床医生和家长的访谈研究。
Disabil Rehabil. 2024 Apr;46(8):1547-1558. doi: 10.1080/09638288.2023.2201509. Epub 2023 Apr 20.
5
Applying evidence to practice by increasing intensity of intervention for children with severe speech sound disorder: a quality improvement project.通过增加对严重言语障碍儿童干预强度将证据应用于实践:一个质量改进项目。
BMJ Open Qual. 2022 May;11(2). doi: 10.1136/bmjoq-2021-001761.
6
Application of Digital Games for Speech Therapy in Children: A Systematic Review of Features and Challenges.数字游戏在儿童言语治疗中的应用:特征与挑战的系统评价。
J Healthc Eng. 2022 Apr 25;2022:4814945. doi: 10.1155/2022/4814945. eCollection 2022.
7
SuperSpeech: Multilingual Speech and Language Maintenance Intervention for Vietnamese-Australian Children and Families via Telepractice.超语:通过远程实践为澳大利亚越南裔儿童和家庭提供多语言语音和语言维持干预。
Lang Speech Hear Serv Sch. 2022 Jul 6;53(3):675-697. doi: 10.1044/2021_LSHSS-21-00146. Epub 2022 Mar 4.
8
Facilitating Parental Involvement in Speech Therapy for Children With Speech Sound Disorders: A Survey of Speech-Language Pathologists' Practices, Perspectives, and Strategies.促进家长参与语音障碍儿童的言语治疗:言语语言病理学家的实践、观点和策略调查
Am J Speech Lang Pathol. 2020 Nov 12;29(4):1987-1996. doi: 10.1044/2020_AJSLP-19-00071. Epub 2020 Aug 13.
9
Exploring factors influencing the use of an eHealth intervention for families of children with hearing loss: An application of the COM-B model.探究影响电子健康干预措施在听力损失儿童家庭中使用的因素:COM-B 模型的应用。
Disabil Health J. 2020 Oct;13(4):100921. doi: 10.1016/j.dhjo.2020.100921. Epub 2020 Apr 8.
10
Comparing Traditional and Tablet-Based Intervention for Children With Speech Sound Disorders: A Randomized Controlled Trial.比较传统干预和基于平板电脑干预对言语障碍儿童的效果:一项随机对照试验。
J Speech Lang Hear Res. 2019 Nov 22;62(11):4045-4061. doi: 10.1044/2019_JSLHR-S-18-0301. Epub 2019 Oct 23.