Yoshida Masaya, Yasuda Kyota, Matsumoto Takuma, Ono Yudai, Hisano Naoyuki, Kawasaki Mao, Hirao Takehiro, Yuan Ye, Tate Shin-Ichi, Vacha Martin, Haino Takeharu
Department of Chemistry, Graduate School of Advanced Science and Engineering, Hiroshima University, 1-3-1 Kagamiyama, Higashi-Hiroshima, Hiroshima 739-8526, Japan.
International Institute for Sustainability with Knotted Chiral Meta Matter (SKCM2), Hiroshima University, 1-3-1 Kagamiyama, Higashi-Hiroshima, Hiroshima 739-8526, Japan.
J Am Chem Soc. 2025 Aug 27;147(34):30674-30683. doi: 10.1021/jacs.5c03761. Epub 2025 Aug 13.
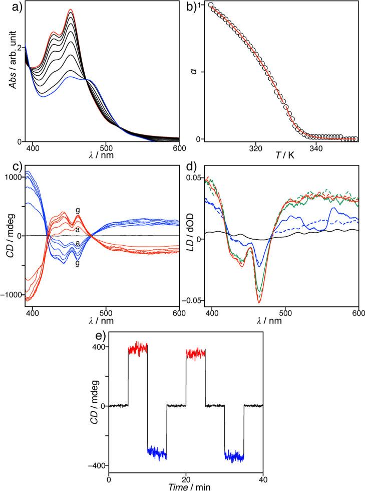
To understand the vortex flow-directed circular dichroism (CD) effect observed in homogeneous solutions containing supramolecular structures, the macroscopic order formed by supramolecular structures oriented within a flow must be visualized. In this study, a bis(phenylisoxazolyl)benzene-attached platinum complex was found to self-assemble to form uniform anisotropic platelet nanostructures that are oriented within a flow, thereby generating a chiral macroscopic order that is responsible for CD and linear dichroism (LD) effects only in the vortex flow regime. Cooperative self-assembly of a bis(phenylisoxazolyl)benzene-attached platinum complex via controlled supramolecular polymerization produced anisotropic platelet nanostructures with a narrow polydispersity index. The orientational order parameter of the nanostructures correlated with the flow velocity; thus, the nanostructures were oriented along the flow direction. Furthermore, the vortex flow of the dilute nanostructure solution broke the symmetry of the flow, thereby generating a chiral macroscopic order. As a result, CD and LD effects were observed in the vortex flow regime of the dilute nanostructure solution. These results can be generalized to the formation of chiral macroscopic order in solutions containing anisotropic nanostructures.
为了理解在含有超分子结构的均相溶液中观察到的涡旋流导向圆二色性(CD)效应,必须可视化由在流体内定向的超分子结构形成的宏观有序性。在本研究中,发现一种连接双(苯基异恶唑基)苯的铂配合物自组装形成均匀的各向异性片状纳米结构,这些纳米结构在流体内定向,从而仅在涡旋流状态下产生导致CD和线性二色性(LD)效应的手性宏观有序性。通过受控的超分子聚合,连接双(苯基异恶唑基)苯的铂配合物的协同自组装产生了具有窄多分散指数的各向异性片状纳米结构。纳米结构的取向有序参数与流速相关;因此,纳米结构沿流动方向取向。此外,稀纳米结构溶液的涡旋流打破了流动的对称性,从而产生了手性宏观有序性。结果,在稀纳米结构溶液的涡旋流状态下观察到了CD和LD效应。这些结果可以推广到含有各向异性纳米结构的溶液中手性宏观有序性的形成。