Suppr超能文献

硫族-磷取代基对发生伯格曼环化反应的烯二炔的影响。

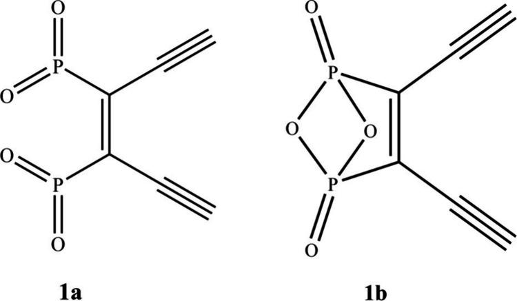
Effect of Chalcogen-Phosphorus Substituents on Enediynes Undergoing the Bergman Cyclization.

作者信息

Hendler Marcos, Greene Travis, Sirianni Dominic A, Parish Carol A

机构信息

Department of Chemistry, Gottwald Center for the Sciences, University of Richmond, Richmond, Virginia 23173, United States.

Department of Biochemistry & Chemistry, Westminster College, New Wilmington, Pennsylvania 16172, United States.

出版信息

Inorg Chem. 2025 Aug 25;64(33):16865-16876. doi: 10.1021/acs.inorgchem.5c02027. Epub 2025 Aug 13.

Abstract

We have theoretically characterized electrocyclizations of chalcogen-phosphorus-containing enediynes. We performed quantum calculations at the BS-(U)CCSD/cc-pVDZ level to analyze the geometries and energetics of two different cyclization pathways, each consisting of the first three chalcogens (oxygen, sulfur, and selenium). The first pathway involved the cyclization of the chalcogen-phosphorus substituents followed by Bergman cyclization, while the second pathway proceeded via Bergman cyclization followed by chalcogen-phosphorus cyclization. To more accurately understand the energies of the diradicals involved in each pathway, we also performed spin-flip characterizations using UHF reference wave functions and the spin-flip formulation of the equation-of-motion coupled cluster theory with singles and doubles method. The addition of the chalcogen-phosphorus substituents to the six-membered acyclic enediyne leads to a lowering in the reaction energy of the Bergman cyclization, from +7.84 kcal/mol for ()-hexa-3-ene-1,5-diyne to +6.07, +3.71, and +3.47 kcal/mol for the oxygen, sulfur, and selenium congeners, respectively. Additionally, the formation of the doubly cyclized product is slightly unfavorable for the oxygen species (+0.70 kcal/mol) and energetically favorable for S and Se (-5.50 and -9.05 kcal/mol, respectively). The chalcogen cyclization is energetically favorable whether or not the -benzyl diradical moiety is present. We also confirmed the aromaticity of these structures as well as the nature of their ground-state wave functions.

摘要

我们从理论上对含硫属元素 - 磷的烯二炔的电环化反应进行了表征。我们在BS-(U)CCSD/cc-pVDZ水平上进行了量子计算,以分析两种不同环化途径的几何结构和能量,每种途径均由前三种硫属元素(氧、硫和硒)组成。第一种途径涉及硫属元素 - 磷取代基的环化,随后是伯格曼环化,而第二种途径则是先进行伯格曼环化,然后是硫属元素 - 磷环化。为了更准确地理解每种途径中涉及的双自由基的能量,我们还使用UHF参考波函数以及带单双激发的运动方程耦合簇理论的自旋翻转公式进行了自旋翻转表征。将硫属元素 - 磷取代基添加到六元无环烯二炔中会导致伯格曼环化反应能量降低,对于()-己 - 3 - 烯 - 1,5 - 二炔,伯格曼环化反应能量为 +7.84 kcal/mol,而对于氧、硫和硒的同系物,分别为 +6.07、+3.71 和 +3.47 kcal/mol。此外,对于氧物种,双环化产物的形成略微不利(+0.70 kcal/mol),而对于硫和硒则在能量上有利(分别为 -5.50 和 -9.05 kcal/mol)。无论是否存在 - 苄基双自由基部分,硫属元素环化在能量上都是有利的。我们还证实了这些结构的芳香性以及它们基态波函数的性质。

https://cdn.ncbi.nlm.nih.gov/pmc/blobs/eb44/12381858/a60cba87ad76/ic5c02027_0007.jpg

相似文献

1
Effect of Chalcogen-Phosphorus Substituents on Enediynes Undergoing the Bergman Cyclization.
Inorg Chem. 2025 Aug 25;64(33):16865-16876. doi: 10.1021/acs.inorgchem.5c02027. Epub 2025 Aug 13.
4
Variations on the Bergman Cyclization Theme: Electrocyclizations of Ionic Penta-, Hepta-, and Octadiynes.
J Am Chem Soc. 2023 Oct 4;145(39):21408-21418. doi: 10.1021/jacs.3c06691. Epub 2023 Sep 25.
5
Nutritional labelling for healthier food or non-alcoholic drink purchasing and consumption.
Cochrane Database Syst Rev. 2018 Feb 27;2(2):CD009315. doi: 10.1002/14651858.CD009315.pub2.
6
An ab Initio Exploration of the Bergman Cyclization.
J Phys Chem A. 2018 Jan 11;122(1):420-430. doi: 10.1021/acs.jpca.7b10576. Epub 2017 Dec 29.
7
The Black Book of Psychotropic Dosing and Monitoring.
Psychopharmacol Bull. 2024 Jul 8;54(3):8-59.
8
Pronounced electronic modulation of geometrically-regulated metalloenediyne cyclization.
Chem Sci. 2024 Nov 12;16(1):255-279. doi: 10.1039/d4sc05396f. eCollection 2024 Dec 18.
9
A Comprehensive and Modality Diverse Cervical Spine and Back Musculoskeletal Physical Exam Curriculum for Medical Students.
J Educ Teach Emerg Med. 2025 Jul 31;10(3):SG1-SG8. doi: 10.21980/J8RQ0N. eCollection 2025 Jul.
10
Interventions to reduce harm from continued tobacco use.
Cochrane Database Syst Rev. 2016 Oct 13;10(10):CD005231. doi: 10.1002/14651858.CD005231.pub3.

本文引用的文献

1
Variations on the Bergman Cyclization Theme: Electrocyclizations of Ionic Penta-, Hepta-, and Octadiynes.
J Am Chem Soc. 2023 Oct 4;145(39):21408-21418. doi: 10.1021/jacs.3c06691. Epub 2023 Sep 25.
3
Efficient Synthesis of 2,4-Bis(phenyl)-1,3-diselenadiphosphetane-2,4-diselenide (Woollins' Reagent).
ACS Omega. 2021 Nov 11;6(46):31226-31228. doi: 10.1021/acsomega.1c04753. eCollection 2021 Nov 23.
4
A Focused Review of Synthetic Applications of Lawesson's Reagent in Organic Synthesis.
Molecules. 2021 Nov 17;26(22):6937. doi: 10.3390/molecules26226937.
7
An ab Initio Exploration of the Bergman Cyclization.
J Phys Chem A. 2018 Jan 11;122(1):420-430. doi: 10.1021/acs.jpca.7b10576. Epub 2017 Dec 29.
8
Nucleus-Independent Chemical Shifts:  A Simple and Efficient Aromaticity Probe.
J Am Chem Soc. 1996 Jul 3;118(26):6317-6318. doi: 10.1021/ja960582d.
9
Construction of Polyarylenes with Various Structural Features via Bergman Cyclization Polymerization.
Top Curr Chem (Cham). 2017 Jun;375(3):60. doi: 10.1007/s41061-017-0145-4. Epub 2017 May 22.
10
Computational Mechanistic Study of Thionation of Carbonyl Compounds with Lawesson's Reagent.
J Org Chem. 2016 Sep 2;81(17):7733-40. doi: 10.1021/acs.joc.6b01420. Epub 2016 Aug 5.

文献AI研究员

20分钟写一篇综述,助力文献阅读效率提升50倍。

立即体验

用中文搜PubMed

大模型驱动的PubMed中文搜索引擎

马上搜索

文档翻译

学术文献翻译模型,支持多种主流文档格式。

立即体验