• 文献检索
  • 文档翻译
  • 深度研究
  • 学术资讯
  • Suppr Zotero 插件Zotero 插件
  • 邀请有礼
  • 套餐&价格
  • 历史记录
应用&插件
Suppr Zotero 插件Zotero 插件浏览器插件Mac 客户端Windows 客户端微信小程序
定价
高级版会员购买积分包购买API积分包
服务
文献检索文档翻译深度研究API 文档MCP 服务
关于我们
关于 Suppr公司介绍联系我们用户协议隐私条款
关注我们

Suppr 超能文献

核心技术专利:CN118964589B侵权必究
粤ICP备2023148730 号-1Suppr @ 2026

文献检索

告别复杂PubMed语法,用中文像聊天一样搜索,搜遍4000万医学文献。AI智能推荐,让科研检索更轻松。

立即免费搜索

文件翻译

保留排版,准确专业,支持PDF/Word/PPT等文件格式,支持 12+语言互译。

免费翻译文档

深度研究

AI帮你快速写综述,25分钟生成高质量综述,智能提取关键信息,辅助科研写作。

立即免费体验

量子粒球生成方法及其在K近邻分类中的应用。

Quantum granular-ball generation methods and their application in KNN classification.

作者信息

Yuan Suzhen, Tian Xiaojiang, Lin Wenping, Xia Shuyin, Deng Jeremiah D

机构信息

School of Electronic Science and Engineering, Chongqing University of Posts and Telecommunications, Chongqing, 400065, China.

School of Computing, Chongqing University of Posts and Telecommunications, Chongqing, 400065, China.

出版信息

Sci Rep. 2025 Aug 14;15(1):29779. doi: 10.1038/s41598-025-14724-3.

DOI:10.1038/s41598-025-14724-3
PMID:40804330
原文链接:https://pmc.ncbi.nlm.nih.gov/articles/PMC12350692/
Abstract

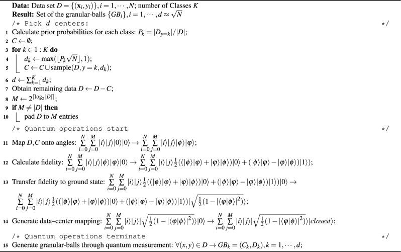
Granular-balls reduce the data volume and enhance the efficiency of fundamental algorithms such as clustering and classification. However, generating granular-balls is a time-consuming process, posing a significant bottleneck for the practical application of granular-balls. In this paper, we propose two innovative quantum granular-ball generation methods that capitalize on the inherent properties of quantum computing. The first method employs an iterative splitting technique, while the second utilizes a predetermined number of splits. The iterative splitting method significantly reduces time complexity compared to existing classical granular-ball generation methods. Notably, the method employing a fixed number of splits delivers a substantial quadratic acceleration over the iterative technique. Moreover, we also propose a quantum k-nearest neighbors algorithm based on granular-balls (QGBkNN) and empirically show the effectiveness of our approach.

摘要

粒球减少了数据量并提高了诸如聚类和分类等基本算法的效率。然而,生成粒球是一个耗时的过程,这对粒球的实际应用构成了重大瓶颈。在本文中,我们提出了两种创新的量子粒球生成方法,它们利用了量子计算的固有特性。第一种方法采用迭代分裂技术,而第二种方法则利用预定数量的分裂。与现有的经典粒球生成方法相比,迭代分裂方法显著降低了时间复杂度。值得注意的是,采用固定分裂次数的方法比迭代技术实现了大幅的二次加速。此外,我们还提出了一种基于粒球的量子k近邻算法(QGBkNN),并通过实验证明了我们方法的有效性。

https://cdn.ncbi.nlm.nih.gov/pmc/blobs/7dee/12350692/9b42b250f6bf/41598_2025_14724_Fig13_HTML.jpg
https://cdn.ncbi.nlm.nih.gov/pmc/blobs/7dee/12350692/3461c74a9088/41598_2025_14724_Fig1_HTML.jpg
https://cdn.ncbi.nlm.nih.gov/pmc/blobs/7dee/12350692/e0020a02d1de/41598_2025_14724_Fig2_HTML.jpg
https://cdn.ncbi.nlm.nih.gov/pmc/blobs/7dee/12350692/5d1a8d6b3353/41598_2025_14724_Fig3_HTML.jpg
https://cdn.ncbi.nlm.nih.gov/pmc/blobs/7dee/12350692/ee5fbc282bed/41598_2025_14724_Fig4_HTML.jpg
https://cdn.ncbi.nlm.nih.gov/pmc/blobs/7dee/12350692/bb34fc6a8316/41598_2025_14724_Fig5_HTML.jpg
https://cdn.ncbi.nlm.nih.gov/pmc/blobs/7dee/12350692/ff43fe1ef790/41598_2025_14724_Figa_HTML.jpg
https://cdn.ncbi.nlm.nih.gov/pmc/blobs/7dee/12350692/8b6f455f199e/41598_2025_14724_Fig6_HTML.jpg
https://cdn.ncbi.nlm.nih.gov/pmc/blobs/7dee/12350692/97da0505d7c8/41598_2025_14724_Fig7_HTML.jpg
https://cdn.ncbi.nlm.nih.gov/pmc/blobs/7dee/12350692/02b135140c24/41598_2025_14724_Fig8_HTML.jpg
https://cdn.ncbi.nlm.nih.gov/pmc/blobs/7dee/12350692/29b545621a08/41598_2025_14724_Fig9_HTML.jpg
https://cdn.ncbi.nlm.nih.gov/pmc/blobs/7dee/12350692/ee34ac3257ed/41598_2025_14724_Figb_HTML.jpg
https://cdn.ncbi.nlm.nih.gov/pmc/blobs/7dee/12350692/bbb3ce4acc2f/41598_2025_14724_Figc_HTML.jpg
https://cdn.ncbi.nlm.nih.gov/pmc/blobs/7dee/12350692/0b313f4c06e6/41598_2025_14724_Fig10_HTML.jpg
https://cdn.ncbi.nlm.nih.gov/pmc/blobs/7dee/12350692/f04f2427aecc/41598_2025_14724_Fig11_HTML.jpg
https://cdn.ncbi.nlm.nih.gov/pmc/blobs/7dee/12350692/974b1ec98933/41598_2025_14724_Fig12_HTML.jpg
https://cdn.ncbi.nlm.nih.gov/pmc/blobs/7dee/12350692/9b42b250f6bf/41598_2025_14724_Fig13_HTML.jpg
https://cdn.ncbi.nlm.nih.gov/pmc/blobs/7dee/12350692/3461c74a9088/41598_2025_14724_Fig1_HTML.jpg
https://cdn.ncbi.nlm.nih.gov/pmc/blobs/7dee/12350692/e0020a02d1de/41598_2025_14724_Fig2_HTML.jpg
https://cdn.ncbi.nlm.nih.gov/pmc/blobs/7dee/12350692/5d1a8d6b3353/41598_2025_14724_Fig3_HTML.jpg
https://cdn.ncbi.nlm.nih.gov/pmc/blobs/7dee/12350692/ee5fbc282bed/41598_2025_14724_Fig4_HTML.jpg
https://cdn.ncbi.nlm.nih.gov/pmc/blobs/7dee/12350692/bb34fc6a8316/41598_2025_14724_Fig5_HTML.jpg
https://cdn.ncbi.nlm.nih.gov/pmc/blobs/7dee/12350692/ff43fe1ef790/41598_2025_14724_Figa_HTML.jpg
https://cdn.ncbi.nlm.nih.gov/pmc/blobs/7dee/12350692/8b6f455f199e/41598_2025_14724_Fig6_HTML.jpg
https://cdn.ncbi.nlm.nih.gov/pmc/blobs/7dee/12350692/97da0505d7c8/41598_2025_14724_Fig7_HTML.jpg
https://cdn.ncbi.nlm.nih.gov/pmc/blobs/7dee/12350692/02b135140c24/41598_2025_14724_Fig8_HTML.jpg
https://cdn.ncbi.nlm.nih.gov/pmc/blobs/7dee/12350692/29b545621a08/41598_2025_14724_Fig9_HTML.jpg
https://cdn.ncbi.nlm.nih.gov/pmc/blobs/7dee/12350692/ee34ac3257ed/41598_2025_14724_Figb_HTML.jpg
https://cdn.ncbi.nlm.nih.gov/pmc/blobs/7dee/12350692/bbb3ce4acc2f/41598_2025_14724_Figc_HTML.jpg
https://cdn.ncbi.nlm.nih.gov/pmc/blobs/7dee/12350692/0b313f4c06e6/41598_2025_14724_Fig10_HTML.jpg
https://cdn.ncbi.nlm.nih.gov/pmc/blobs/7dee/12350692/f04f2427aecc/41598_2025_14724_Fig11_HTML.jpg
https://cdn.ncbi.nlm.nih.gov/pmc/blobs/7dee/12350692/974b1ec98933/41598_2025_14724_Fig12_HTML.jpg
https://cdn.ncbi.nlm.nih.gov/pmc/blobs/7dee/12350692/9b42b250f6bf/41598_2025_14724_Fig13_HTML.jpg

相似文献

1
Quantum granular-ball generation methods and their application in KNN classification.量子粒球生成方法及其在K近邻分类中的应用。
Sci Rep. 2025 Aug 14;15(1):29779. doi: 10.1038/s41598-025-14724-3.
2
Prescription of Controlled Substances: Benefits and Risks管制药品的处方:益处与风险
3
A quantum machine learning framework for predicting drug sensitivity in multiple myeloma using proteomic data.一种使用蛋白质组学数据预测多发性骨髓瘤药物敏感性的量子机器学习框架。
Sci Rep. 2025 Jul 22;15(1):26553. doi: 10.1038/s41598-025-06544-2.
4
Automated Image-Based Wound Area Assessment in Outpatient Clinics Using Computer-Aided Methods: A Development and Validation Study.使用计算机辅助方法在门诊诊所进行基于图像的伤口面积自动评估:一项开发与验证研究。
Medicina (Kaunas). 2025 Jun 17;61(6):1099. doi: 10.3390/medicina61061099.
5
Granular-Ball Regeneration Clustering With Principle of Justifiable Granularity.
IEEE Trans Neural Netw Learn Syst. 2025 Jun 19;PP. doi: 10.1109/TNNLS.2025.3579376.
6
Iterative clustering material decomposition aided by empirical spectral correction for photon counting detectors in micro-CT.基于经验光谱校正的迭代聚类物质分解方法用于微计算机断层扫描中的光子计数探测器
J Med Imaging (Bellingham). 2024 Dec;11(Suppl 1):S12810. doi: 10.1117/1.JMI.11.S1.S12810. Epub 2024 Dec 27.
7
GBCT: Efficient and Adaptive Clustering via Granular-Ball Computing for Complex Data.
IEEE Trans Neural Netw Learn Syst. 2025 Jul;36(7):12159-12172. doi: 10.1109/TNNLS.2024.3497174.
8
The Black Book of Psychotropic Dosing and Monitoring.《精神药物剂量与监测黑皮书》
Psychopharmacol Bull. 2024 Jul 8;54(3):8-59.
9
Hybrid classical and quantum computing for enhanced glioma tumor classification using TCGA data.利用TCGA数据的混合经典与量子计算用于增强胶质瘤肿瘤分类
Sci Rep. 2025 Jul 17;15(1):25935. doi: 10.1038/s41598-025-97067-3.
10
Leveraging a foundation model zoo for cell similarity search in oncological microscopy across devices.利用基础模型库进行跨设备肿瘤显微镜检查中的细胞相似性搜索。
Front Oncol. 2025 Jun 18;15:1480384. doi: 10.3389/fonc.2025.1480384. eCollection 2025.

本文引用的文献

1
MGNR: A Multi-Granularity Neighbor Relationship and Its Application in KNN Classification and Clustering Methods.MGNR:一种多粒度邻居关系及其在KNN分类和聚类方法中的应用。
IEEE Trans Pattern Anal Mach Intell. 2024 Dec;46(12):7956-7972. doi: 10.1109/TPAMI.2024.3400281. Epub 2024 Nov 6.
2
An Enhanced Quantum K-Nearest Neighbor Classification Algorithm Based on Polar Distance.一种基于极距的增强型量子K近邻分类算法
Entropy (Basel). 2023 Jan 8;25(1):127. doi: 10.3390/e25010127.
3
An Efficient and Adaptive Granular-Ball Generation Method in Classification Problem.
IEEE Trans Neural Netw Learn Syst. 2024 Apr;35(4):5319-5331. doi: 10.1109/TNNLS.2022.3203381. Epub 2024 Apr 4.
4
Quantum machine learning.量子机器学习。
Nature. 2017 Sep 13;549(7671):195-202. doi: 10.1038/nature23474.
5
Quantum support vector machine for big data classification.用于大数据分类的量子支持向量机。
Phys Rev Lett. 2014 Sep 26;113(13):130503. doi: 10.1103/PhysRevLett.113.130503. Epub 2014 Sep 25.
6
Quantum random access memory.量子随机存取存储器
Phys Rev Lett. 2008 Apr 25;100(16):160501. doi: 10.1103/PhysRevLett.100.160501. Epub 2008 Apr 21.
7
Some new indexes of cluster validity.一些新的聚类有效性指标。
IEEE Trans Syst Man Cybern B Cybern. 1998;28(3):301-15. doi: 10.1109/3477.678624.
8
Quantum fingerprinting.量子指纹识别
Phys Rev Lett. 2001 Oct 15;87(16):167902. doi: 10.1103/PhysRevLett.87.167902. Epub 2001 Sep 26.
9
Topological structure in visual perception.视觉感知中的拓扑结构。
Science. 1982 Nov 12;218(4573):699-700. doi: 10.1126/science.7134969.