Suppr超能文献

颅内肿瘤手术后1.5T和3T加速深度学习MRI协议的多学科临床评估及其对残余肿瘤感知的影响。

Multidisciplinary, Clinical Assessment of Accelerated Deep-Learning MRI Protocols at 1.5 T and 3 T After Intracranial Tumor Surgery and Their Influence on Residual Tumor Perception.

作者信息

Ruff Christer, Hauser Till-Karsten, Roder Constantin, Feucht Daniel, Bombach Paula, Zerweck Leonie, Staber Deborah, Paulsen Frank, Ernemann Ulrike, Gohla Georg

机构信息

Department of Diagnostic and Interventional Neuroradiology, Eberhard Karls-University Tübingen, D-72076 Tübingen, Germany.

Department of Neurosurgery, University of Tuebingen, D-72076 Tuebingen, Germany.

出版信息

Diagnostics (Basel). 2025 Aug 7;15(15):1982. doi: 10.3390/diagnostics15151982.

Abstract

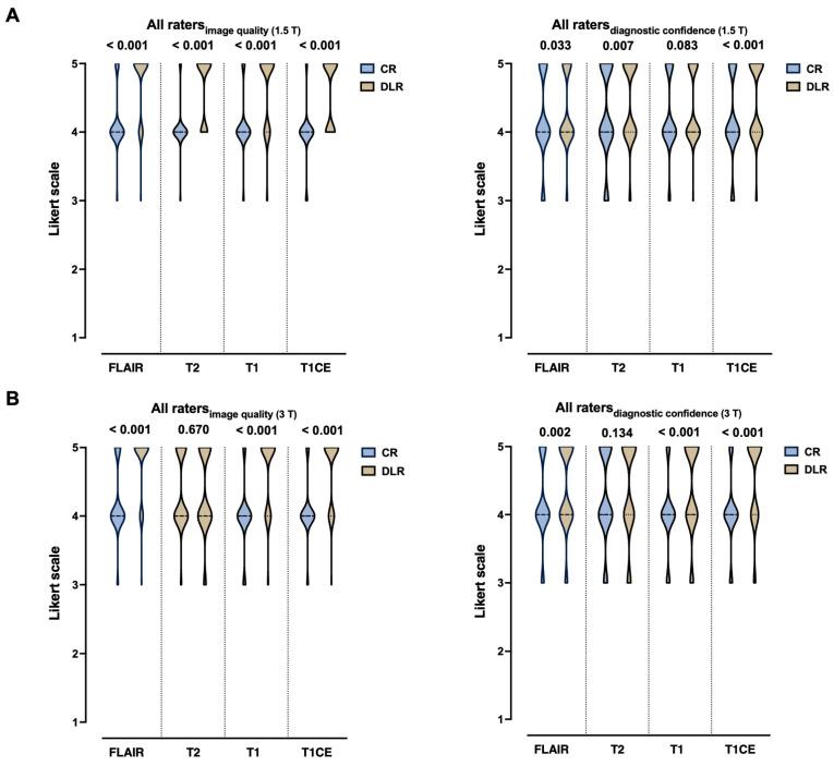
: Postoperative MRI is crucial for detecting residual tumor, identifying complications, and planning subsequent therapy. This study evaluates accelerated deep learning reconstruction (DLR) versus standard clinical protocols for early postoperative MRI following tumor resection. : This study uses a multidisciplinary approach involving a neuroradiologist, neurosurgeon, neuro-oncologist, and radiotherapist to evaluate qualitative aspects using a 5-point Likert scale, the preferred reconstruction variant and potential residual tumor of DLR and conventional reconstruction (CR) of FLAIR, T1-weighted non-contrast and contrast-enhanced (T1), and coronal T2-weighted (T2) sequences for 1.5 and 3 T MRI. Quantitative analysis included the image quality metrics Structural Similarity Index (SSIM), Multi-Scale SSIM (MS-SSIM), Feature Similarity Index (FSIM), Noise Quality Metric (NQM), signal-to-noise ratio (SNR), and Peak SNR (PSNR) with CR as a reference. : All raters strongly preferred DLR over CR. This was most pronounced for FLAIR images at 1.5 and 3 T (91% at 1.5 T and 97% at 3 T) and least pronounced for T1 at 1.5 T (79% for non-contrast-enhanced and 84% for contrast-enhanced sequences) and for T2 at 3 T (69%). DLR demonstrated superior qualitative image quality for all sequences and field strengths ( < 0.001), except for T2 at 3 T, which was observed across all raters ( = 0.670). Diagnostic confidence was similar at 3 T with better but non-significant differences for T2 ( = 0.134) and at 1.5 T with better but non-significant differences for non-contrast-enhanced T1 ( = 0.083) and only marginally significant results for FLAIR ( = 0.033). Both the SSIM and MS-SSIM indicated near-perfect similarity between CR and DLR. FSIM performs worse in terms of consistency between CR and DLR. The image quality metrics NQM, SNR, and PSNR showed better results for DLR. Visual assessment of residual tumor was similar at 3 T but differed at 1.5 T, with more residual tumor detected with DLR, especially by the neurosurgeon ( = 4). : An accelerated DLR protocol demonstrates clinical feasibility, enabling high-quality reconstructions in challenging postoperative MRIs. DLR sequences received strong multidisciplinary preference, underscoring their potential to improve neuro-oncologic decision making and suitability for clinical implementation.

摘要

术后磁共振成像(MRI)对于检测残留肿瘤、识别并发症以及规划后续治疗至关重要。本研究评估了加速深度学习重建(DLR)与标准临床方案用于肿瘤切除术后早期MRI的情况。本研究采用多学科方法,涉及神经放射科医生、神经外科医生、神经肿瘤学家和放射治疗师,使用5分李克特量表评估定性方面,评估DLR和常规重建(CR)的FLAIR、T1加权非增强和增强(T1)以及冠状T2加权(T2)序列在1.5T和3T MRI下的首选重建变体和潜在残留肿瘤。定量分析包括以CR为参考的图像质量指标结构相似性指数(SSIM)、多尺度SSIM(MS - SSIM)、特征相似性指数(FSIM)、噪声质量指标(NQM)、信噪比(SNR)和峰值信噪比(PSNR)。所有评估者都强烈倾向于DLR而非CR。这在1.5T和3T的FLAIR图像中最为明显(1.5T时为91%,3T时为97%),在1.5T的T1图像中最不明显(非增强序列为79%,增强序列为84%)以及在3T的T2图像中(69%)。除了3T的T2序列在所有评估者中观察到无差异(P = 0.670)外,DLR在所有序列和场强下均显示出 superior定性图像质量(P < 0.001)。3T时诊断信心相似,T2有更好但不显著的差异(P = 0.134),1.5T时非增强T1有更好但不显著的差异(P = 0.083),FLAIR只有略微显著的结果(P = 0.033)。SSIM和MS - SSIM均表明CR和DLR之间接近完美相似。FSIM在CR和DLR之间的一致性方面表现较差。图像质量指标NQM、SNR和PSNR显示DLR有更好的结果。3T时对残留肿瘤的视觉评估相似,但1.5T时不同,DLR检测到更多残留肿瘤,尤其是神经外科医生检测到的(P = 4)。加速DLR方案证明了临床可行性,能够在具有挑战性的术后MRI中实现高质量重建。DLR序列获得了多学科的强烈偏好,突出了它们在改善神经肿瘤决策方面的潜力以及临床实施的适用性。

https://cdn.ncbi.nlm.nih.gov/pmc/blobs/2fb8/12346804/7ea87eef8b5b/diagnostics-15-01982-g001.jpg

文献检索

告别复杂PubMed语法,用中文像聊天一样搜索,搜遍4000万医学文献。AI智能推荐,让科研检索更轻松。

立即免费搜索

文件翻译

保留排版,准确专业,支持PDF/Word/PPT等文件格式,支持 12+语言互译。

免费翻译文档

深度研究

AI帮你快速写综述,25分钟生成高质量综述,智能提取关键信息,辅助科研写作。

立即免费体验