• 文献检索
  • 文档翻译
  • 深度研究
  • 学术资讯
  • Suppr Zotero 插件Zotero 插件
  • 邀请有礼
  • 套餐&价格
  • 历史记录
应用&插件
Suppr Zotero 插件Zotero 插件浏览器插件Mac 客户端Windows 客户端微信小程序
定价
高级版会员购买积分包购买API积分包
服务
文献检索文档翻译深度研究API 文档MCP 服务
关于我们
关于 Suppr公司介绍联系我们用户协议隐私条款
关注我们

Suppr 超能文献

核心技术专利:CN118964589B侵权必究
粤ICP备2023148730 号-1Suppr @ 2026

文献检索

告别复杂PubMed语法,用中文像聊天一样搜索,搜遍4000万医学文献。AI智能推荐,让科研检索更轻松。

立即免费搜索

文件翻译

保留排版,准确专业,支持PDF/Word/PPT等文件格式,支持 12+语言互译。

免费翻译文档

深度研究

AI帮你快速写综述,25分钟生成高质量综述,智能提取关键信息,辅助科研写作。

立即免费体验

短距离迁徙是否有助于黑颈鹤种群的恢复?

Does Short-Distance Migration Facilitate the Recovery of Black-Necked Crane Populations?

作者信息

Yang Le, Xu Lei, Liang Waner, Guo Jia, Yang Yongbing, Lyu Cai, Zhou Shengling, Zeng Qing, Jia Yifei, Lei Guangchun

机构信息

School of Ecology and Nature Conservation, Beijing Forestry University, Beijing 100083, China.

Key Laboratory of Biological Resources and Biosafety, Institute of Plateau Biology Research of Xizang Autonomous Region, Lhasa 850000, China.

出版信息

Animals (Basel). 2025 Aug 6;15(15):2304. doi: 10.3390/ani15152304.

DOI:10.3390/ani15152304
PMID:40805094
原文链接:https://pmc.ncbi.nlm.nih.gov/articles/PMC12345449/
Abstract

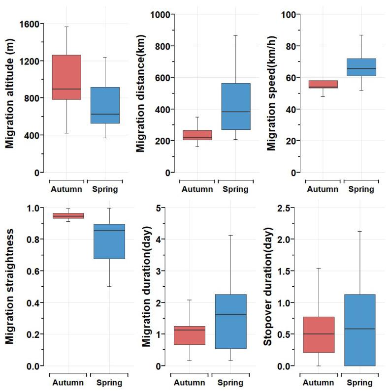
Understanding the migratory strategies of plateau-endemic species is essential for informing effective conservation, especially under climate change. The Black-necked Crane (), a high-altitude specialist, has shown notable population growth in recent years. We analysed satellite tracking data from 16 individuals of a western subpopulation in the lake basin region of northern Tibet (2021-2024), focusing on migration patterns, stopover use, and habitat selection. This subpopulation exhibited short-distance (mean: 284.21 km), intra-Tibet migrations with low reliance on stopover sites. Autumn migration was shorter, more direct, higher in altitude, and slower in speed than spring migration. Juveniles used smaller, more fragmented habitats than subadults, and their spatial range expanded over time. Given these patterns, we infer that the short-distance migration strategy may reduce energetic demands and mortality risks while increasing route flexibility-characteristics that may benefit population growth. We refer to this as a low-energy, high-efficiency migration strategy, which we hypothesise could support faster population growth and enhance resilience to environmental change. We recommend prioritizing the conservation of short-distance migration corridors, such as the typical lake basin area in northern Tibet-Yarlung Tsangpo River system, which may help sustain plateau-endemic migratory populations under future climate scenarios.

摘要

了解高原特有物种的迁徙策略对于制定有效的保护措施至关重要,尤其是在气候变化的背景下。黑颈鹤是一种高海拔特化物种,近年来其种群数量显著增长。我们分析了来自西藏北部湖泊流域地区西部亚种群的16只个体的卫星跟踪数据(2021年至2024年),重点关注迁徙模式、中途停歇地利用和栖息地选择。该亚种群表现出短距离(平均:284.21公里)的西藏境内迁徙,对中途停歇地的依赖较低。秋季迁徙比春季迁徙距离更短、更直接、海拔更高且速度更慢。幼鸟使用的栖息地比亚成鸟更小、更破碎,且其空间范围随时间扩大。鉴于这些模式,我们推断短距离迁徙策略可能会降低能量需求和死亡风险,同时增加路线灵活性——这些特征可能有利于种群增长。我们将此称为低能量、高效率的迁徙策略,我们假设这可能支持更快的种群增长并增强对环境变化的适应能力。我们建议优先保护短距离迁徙走廊,如西藏北部典型的湖泊流域地区——雅鲁藏布江系统,这可能有助于在未来气候情景下维持高原特有迁徙种群。

https://cdn.ncbi.nlm.nih.gov/pmc/blobs/010d/12345449/8ae859501b98/animals-15-02304-g008.jpg
https://cdn.ncbi.nlm.nih.gov/pmc/blobs/010d/12345449/1cf2584dd74b/animals-15-02304-g001.jpg
https://cdn.ncbi.nlm.nih.gov/pmc/blobs/010d/12345449/963bce6ba97b/animals-15-02304-g002.jpg
https://cdn.ncbi.nlm.nih.gov/pmc/blobs/010d/12345449/3d86e46668ea/animals-15-02304-g003.jpg
https://cdn.ncbi.nlm.nih.gov/pmc/blobs/010d/12345449/36d263fa2876/animals-15-02304-g004.jpg
https://cdn.ncbi.nlm.nih.gov/pmc/blobs/010d/12345449/5337c8ae9e36/animals-15-02304-g005.jpg
https://cdn.ncbi.nlm.nih.gov/pmc/blobs/010d/12345449/97cab540fcd7/animals-15-02304-g006.jpg
https://cdn.ncbi.nlm.nih.gov/pmc/blobs/010d/12345449/44240ee640fc/animals-15-02304-g007.jpg
https://cdn.ncbi.nlm.nih.gov/pmc/blobs/010d/12345449/8ae859501b98/animals-15-02304-g008.jpg
https://cdn.ncbi.nlm.nih.gov/pmc/blobs/010d/12345449/1cf2584dd74b/animals-15-02304-g001.jpg
https://cdn.ncbi.nlm.nih.gov/pmc/blobs/010d/12345449/963bce6ba97b/animals-15-02304-g002.jpg
https://cdn.ncbi.nlm.nih.gov/pmc/blobs/010d/12345449/3d86e46668ea/animals-15-02304-g003.jpg
https://cdn.ncbi.nlm.nih.gov/pmc/blobs/010d/12345449/36d263fa2876/animals-15-02304-g004.jpg
https://cdn.ncbi.nlm.nih.gov/pmc/blobs/010d/12345449/5337c8ae9e36/animals-15-02304-g005.jpg
https://cdn.ncbi.nlm.nih.gov/pmc/blobs/010d/12345449/97cab540fcd7/animals-15-02304-g006.jpg
https://cdn.ncbi.nlm.nih.gov/pmc/blobs/010d/12345449/44240ee640fc/animals-15-02304-g007.jpg
https://cdn.ncbi.nlm.nih.gov/pmc/blobs/010d/12345449/8ae859501b98/animals-15-02304-g008.jpg

相似文献

1
Does Short-Distance Migration Facilitate the Recovery of Black-Necked Crane Populations?短距离迁徙是否有助于黑颈鹤种群的恢复?
Animals (Basel). 2025 Aug 6;15(15):2304. doi: 10.3390/ani15152304.
2
Prescription of Controlled Substances: Benefits and Risks管制药品的处方:益处与风险
3
Landscapes, habitat, and migratory behaviour: what drives the summer movements of a Northern viper?景观、栖息地与迁徙行为:是什么驱动了极北蝰的夏季移动?
Mov Ecol. 2025 Jul 28;13(1):54. doi: 10.1186/s40462-025-00586-x.
4
Management of urinary stones by experts in stone disease (ESD 2025).结石病专家对尿路结石的管理(2025年结石病专家共识)
Arch Ital Urol Androl. 2025 Jun 30;97(2):14085. doi: 10.4081/aiua.2025.14085.
5
Short-Term Memory Impairment短期记忆障碍
6
Sexual Harassment and Prevention Training性骚扰与预防培训
7
Signs and symptoms to determine if a patient presenting in primary care or hospital outpatient settings has COVID-19.在基层医疗机构或医院门诊环境中,如果患者出现以下症状和体征,可判断其是否患有 COVID-19。
Cochrane Database Syst Rev. 2022 May 20;5(5):CD013665. doi: 10.1002/14651858.CD013665.pub3.
8
Systemic pharmacological treatments for chronic plaque psoriasis: a network meta-analysis.系统性药理学治疗慢性斑块状银屑病:网络荟萃分析。
Cochrane Database Syst Rev. 2021 Apr 19;4(4):CD011535. doi: 10.1002/14651858.CD011535.pub4.
9
Pain Assessment疼痛评估
10
The Black Book of Psychotropic Dosing and Monitoring.《精神药物剂量与监测黑皮书》
Psychopharmacol Bull. 2024 Jul 8;54(3):8-59.

本文引用的文献

1
Terrestrial Nocturnal Roosting Behavior of Black-necked Cranes () on the Yunnan-Guizhou Plateau: Active Choice or Forced Environmental Adaptation.云贵高原黑颈鹤()的陆地夜间栖息行为:主动选择还是环境强迫适应
Ecol Evol. 2025 Jun 13;15(6):e71485. doi: 10.1002/ece3.71485. eCollection 2025 Jun.
2
Influence of global warming and human activity on mercury accumulation patterns in wetlands across the Qinghai-Tibet Plateau.全球变暖和人类活动对青藏高原湿地汞积累模式的影响。
Natl Sci Rev. 2024 Nov 15;12(1):nwae414. doi: 10.1093/nsr/nwae414. eCollection 2025 Jan.
3
Autumn migration of black-necked crane () on the Qinghai-Tibetan and Yunnan-Guizhou plateaus.
青藏高原和云贵高原黑颈鹤()的秋季迁徙。
Ecol Evol. 2023 Sep 7;13(9):e10492. doi: 10.1002/ece3.10492. eCollection 2023 Sep.
4
Effects of climate change and anthropogenic activity on ranges of vertebrate species endemic to the Qinghai-Tibet Plateau over 40 years.气候变化和人为活动对青藏高原特有脊椎动物 40 多年来分布范围的影响。
Conserv Biol. 2023 Aug;37(4):e14069. doi: 10.1111/cobi.14069. Epub 2023 Mar 1.
5
Nature protection and human development in the Selincuo region: conflict resolution.色林错地区的自然保护与人类发展:冲突解决
Sci Bull (Beijing). 2019 Apr 15;64(7):425-427. doi: 10.1016/j.scib.2019.03.014. Epub 2019 Mar 14.
6
New frontiers in bird migration research.鸟类迁徙研究的新前沿。
Curr Biol. 2022 Oct 24;32(20):R1187-R1199. doi: 10.1016/j.cub.2022.08.028.
7
Shorebirds wintering in Southeast Asia demonstrate trans-Himalayan flights.在东南亚越冬的滨鸟表现出跨喜玛拉雅的飞行。
Sci Rep. 2020 Dec 11;10(1):21232. doi: 10.1038/s41598-020-77897-z.
8
Satellite tracking reveals a new migration route of black-necked cranes () in Qinghai-Tibet Plateau.卫星追踪揭示了青藏高原黑颈鹤的一条新迁徙路线。
PeerJ. 2020 Aug 19;8:e9715. doi: 10.7717/peerj.9715. eCollection 2020.
9
Exploration and refinement of migratory routes in long-lived birds.探索和完善长寿鸟类的迁徙路线。
J Anim Ecol. 2020 Jan;89(1):16-19. doi: 10.1111/1365-2656.13162.
10
Tackling the Tibetan Plateau in a down suit: insights into thermoregulation by bar-headed geese during migration.穿着羽绒服挑战青藏高原:迁徙中的斑头雁如何进行体温调节。
J Exp Biol. 2019 Oct 10;222(Pt 19):jeb203695. doi: 10.1242/jeb.203695.