Suppr超能文献

结合稳定同位素标记和候选底物-产物对网络揭示亚麻幼苗(L.)中木脂素、低聚木酚和菊苣酸的生物合成

Combining Stable Isotope Labeling and Candidate Substrate-Product Pair Networks Reveals Lignan, Oligolignol, and Chicoric Acid Biosynthesis in Flax Seedlings ( L.).

作者信息

Thiombiano Benjamin, Mentag Ahlam, Paniez Manon, Roulard Romain, Marcelo Paulo, Mesnard François, Dauwe Rebecca

机构信息

Unité de Recherche BIOPI, UMR Transfrontalière BioEcoAgro, Université de Picardie Jules Verne, 80000 Amiens, France.

Plateforme Ingénierie Cellulaire et Analyses des Protéines, Université de Picardie Jules Verne, 80000 Amiens, France.

出版信息

Plants (Basel). 2025 Aug 1;14(15):2371. doi: 10.3390/plants14152371.

Abstract

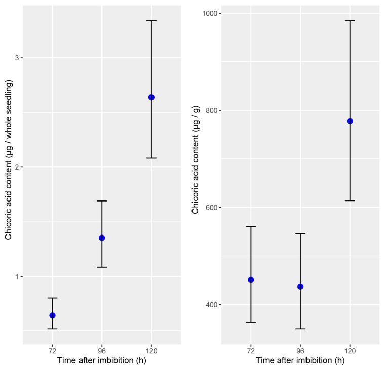
Functional foods like flax ( L.) are rich sources of specialized metabolites that contribute to their nutritional and health-promoting properties. Understanding the biosynthesis of these compounds is essential for improving their quality and potential applications. However, dissecting complex metabolic networks in plants remains challenging due to the dynamic nature and interconnectedness of biosynthetic pathways. In this study, we present a synergistic approach combining stable isotopic labeling (SIL), Candidate Substrate-Product Pair (CSPP) networks, and a time-course study with high temporal resolution to reveal the biosynthetic fluxes shaping phenylpropanoid metabolism in young flax seedlings. By feeding the seedlings with C--coumaric acid and isolating isotopically labeled metabolization products prior to the construction of CSPP networks, the biochemical validity of the connections in the network was supported by SIL, independent of spectral similarity or abundance correlation. This method, in combination with multistage mass spectrometry (MS), allowed confident structural proposals of lignans, neolignans, and hydroxycinnamic acid conjugates, including the presence of newly identified chicoric acid and related tartaric acid esters in flax. High-resolution time-course analyses revealed successive waves of metabolite formation, providing insights into distinct biosynthetic fluxes toward lignans and early lignification intermediates. No evidence was found here for the involvement of chlorogenic or caftaric acid intermediates in chicoric acid biosynthesis in flax, as has been described in other species. Instead, our findings suggest that in flax seedlings, chicoric acid is synthesized through successive hydroxylation steps of -coumaroyl tartaric acid esters. This work demonstrates the power of combining SIL and CSPP strategies to uncover novel metabolic routes and highlights the nutritional potential of flax sprouts rich in chicoric acid.

摘要

像亚麻(L.)这样的功能性食品是特殊代谢产物的丰富来源,这些代谢产物赋予了它们营养和促进健康的特性。了解这些化合物的生物合成对于提高其质量和潜在应用至关重要。然而,由于生物合成途径的动态性质和相互关联性,剖析植物中的复杂代谢网络仍然具有挑战性。在本研究中,我们提出了一种协同方法,结合稳定同位素标记(SIL)、候选底物 - 产物对(CSPP)网络以及具有高时间分辨率的时间进程研究,以揭示塑造亚麻幼苗苯丙烷类代谢的生物合成通量。通过在构建CSPP网络之前用¹³C - 香豆酸喂养幼苗并分离同位素标记的代谢产物,网络中连接的生化有效性得到了SIL的支持,而与光谱相似性或丰度相关性无关。这种方法与多级质谱(MS)相结合,能够可靠地提出木脂素、新木脂素和羟基肉桂酸共轭物的结构,包括在亚麻中新发现的菊苣酸和相关酒石酸酯的存在。高分辨率时间进程分析揭示了代谢物形成的连续波,为朝向木脂素和早期木质化中间体的不同生物合成通量提供了见解。与其他物种中所描述的情况不同,本研究未发现绿原酸或咖啡酸中间体参与亚麻中菊苣酸生物合成的证据。相反,我们的研究结果表明,在亚麻幼苗中,菊苣酸是通过对香豆酰酒石酸酯的连续羟基化步骤合成的。这项工作展示了结合SIL和CSPP策略以揭示新代谢途径的能力,并突出了富含菊苣酸的亚麻芽的营养潜力。

https://cdn.ncbi.nlm.nih.gov/pmc/blobs/5510/12349070/792e25c7d406/plants-14-02371-g001.jpg

文献AI研究员

20分钟写一篇综述,助力文献阅读效率提升50倍。

立即体验

用中文搜PubMed

大模型驱动的PubMed中文搜索引擎

马上搜索

文档翻译

学术文献翻译模型,支持多种主流文档格式。

立即体验