Suppr超能文献

番茄种内杂交种霜霉病抗性的鉴定与遗传分析

Identification and Genetic Analysis of Downy Mildew Resistance in Intraspecific Hybrids of L.

作者信息

Han Xing, Li Yihan, Wang Zhilei, Li Zebin, Li Nanyang, Li Hua, Duan Xinyao

机构信息

Shandong Academy of Grape, Shandong Academy of Agricultural Sciences, Jinan 250100, China.

College of Enology, Northwest A&F University, Yangling, Xianyang 712100, China.

出版信息

Plants (Basel). 2025 Aug 4;14(15):2415. doi: 10.3390/plants14152415.

Abstract

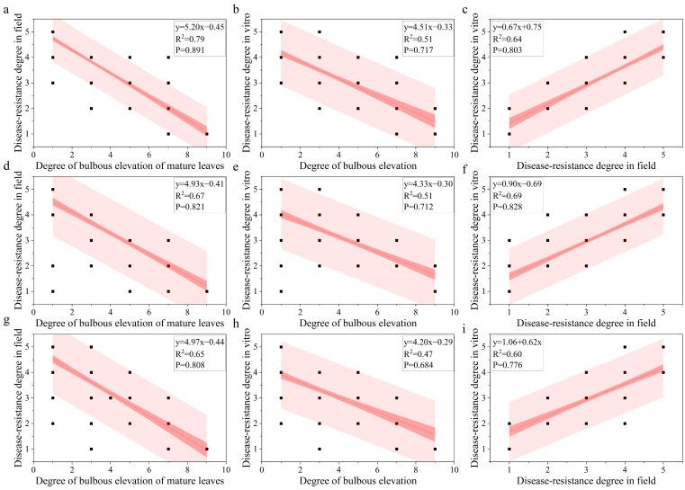
Downy mildew caused by is an important disease in grape production, particularly in the highly susceptible, widely cultivated L. Breeding for disease resistance is an effective solution, and intraspecific crosses can yield progeny with both disease resistance and high quality. To assess the potential of intraspecific recurrent selection in (IRSV) in improving grapevine resistance to downy mildew and to analyze the pattern of disease resistance inheritance, the disease-resistant variety Ecolly was selected as one of the parents and crossed with Cabernet Sauvignon, Marselan, and Dunkelfelder, respectively, creating three reciprocal combinations, resulting in 1657 hybrid F1 progenies. The primary results are as follows: (1) significant differences in disease resistance among grape varieties and, significant differences in disease resistance between different vintages of the same variety were found; (2) the leaf downy mildew resistance levels of F1 progeny of different hybrid combinations conformed to a skewed normal distribution and showed some maternal dominance; (3) the degree of leaf bulbous elevation was negatively correlated with the level of leaf downy mildew resistance, and the correlation coefficient with the level of field resistance was higher; (4) five progenies with higher levels of both field and in vitro disease resistance were obtained. Intraspecific hybridization can improve the disease resistance of offspring through super-parent genetic effects, and Ecolly can be used as breeding material for recurrent hybridization to obtain highly resistant varieties.

摘要

由[病原菌名称缺失]引起的霜霉病是葡萄生产中的一种重要病害,尤其在高度易感且广泛种植的[葡萄品种名称缺失]L. 中。抗病育种是一种有效的解决办法,[葡萄品种名称缺失]种内杂交可以产生兼具抗病性和高品质的后代。为了评估[葡萄品种名称缺失]种内轮回选择(IRSV)在提高葡萄对霜霉病抗性方面的潜力,并分析抗病性的遗传模式,选择抗病品种埃科利(Ecolly)作为亲本之一,分别与赤霞珠(Cabernet Sauvignon)、马瑟兰(Marselan)和黑比诺(Dunkelfelder)杂交,创造了三个正反交组合,得到1657个杂交F1后代。主要结果如下:(1)葡萄品种间抗病性存在显著差异,同一品种不同年份间抗病性也存在显著差异;(2)不同杂交组合F1后代的叶片霜霉病抗性水平符合偏态正态分布,并表现出一定的母本优势;(3)叶片疱状隆起程度与叶片霜霉病抗性水平呈负相关,与田间抗性水平的相关系数更高;(4)获得了5个田间和离体抗病性水平都较高的后代。种内杂交可以通过超亲遗传效应提高后代的抗病性,埃科利可以用作轮回杂交的育种材料以获得高抗品种。

https://cdn.ncbi.nlm.nih.gov/pmc/blobs/7f56/12349592/c3a8c2719e5d/plants-14-02415-g0A1.jpg

文献检索

告别复杂PubMed语法,用中文像聊天一样搜索,搜遍4000万医学文献。AI智能推荐,让科研检索更轻松。

立即免费搜索

文件翻译

保留排版,准确专业,支持PDF/Word/PPT等文件格式,支持 12+语言互译。

免费翻译文档

深度研究

AI帮你快速写综述,25分钟生成高质量综述,智能提取关键信息,辅助科研写作。

立即免费体验