Suppr超能文献

使用无压力声导抗(PLAI™)和机器学习对常见中耳病变进行年龄分层分类

Age-Stratified Classification of Common Middle Ear Pathologies Using Pressure-Less Acoustic Immittance (PLAI™) and Machine Learning.

作者信息

Miladinović Aleksandar, Bassi Francesco, Ajčević Miloš, Accardo Agostino

机构信息

Institute for Maternal and Child Health-IRCCS "Burlo Garofolo", 34137 Trieste, Italy.

Department of Engineering and Architecture, University of Trieste, via A. Valerio 10, 34127 Trieste, Italy.

出版信息

Healthcare (Basel). 2025 Aug 6;13(15):1921. doi: 10.3390/healthcare13151921.

Abstract

BACKGROUND/OBJECTIVE: This study explores a novel approach for diagnosing common middle ear pathologies using Pressure-Less Acoustic Immittance (PLAI™), a non-invasive alternative to conventional tympanometry.

METHODS

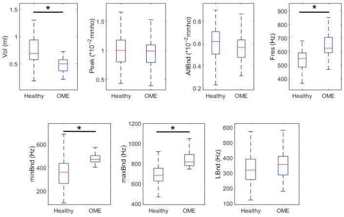
A total of 516 ear measurements were collected and stratified into three age groups: 0-3, 3-12, and 12+ years, reflecting key developmental stages. PLAI™-derived acoustic parameters, including resonant frequency, peak admittance, canal volume, and resonance peak frequency boundaries, were analyzed using Random Forest classifiers, with SMOTE addressing class imbalance and SHAP values assessing feature importance.

RESULTS

Age-specific models demonstrated superior diagnostic accuracy compared to non-stratified approaches, with macro F1-scores of 0.79, 0.84, and 0.78, respectively. Resonant frequency, ear canal volume, and peak admittance consistently emerged as the most informative features. Notably, age-based stratification significantly reduced false negative rates for conditions such as Otitis Media with Effusion and tympanic membrane retractions, enhancing clinical reliability. These results underscore the relevance of age-aware modeling in pediatric audiology and validate PLAI™ as a promising tool for early, pressure-free middle ear diagnostics.

CONCLUSIONS

While further validation on larger, balanced cohorts is recommended, this study supports the integration of machine learning and acoustic immittance into more accurate, developmentally informed screening frameworks.

摘要

背景/目的:本研究探索了一种使用无压力声导抗(PLAI™)诊断常见中耳病变的新方法,这是一种传统鼓室图检查的非侵入性替代方法。

方法

共收集了516次耳部测量数据,并将其分为三个年龄组:0 - 3岁、3 - 12岁和12岁以上,反映关键发育阶段。使用随机森林分类器分析PLAI™得出的声学参数,包括共振频率、峰值导纳、耳道容积和共振峰频率边界,采用合成少数过采样技术(SMOTE)处理类别不平衡问题,并使用SHAP值评估特征重要性。

结果

与非分层方法相比,特定年龄模型显示出更高的诊断准确性,宏观F1分数分别为0.79、0.84和0.78。共振频率、耳道容积和峰值导纳始终是最具信息量的特征。值得注意的是,基于年龄的分层显著降低了诸如中耳积液和鼓膜内陷等病症的假阴性率,提高了临床可靠性。这些结果强调了年龄感知建模在儿科听力学中的相关性,并验证了PLAI™作为早期、无压力中耳诊断的有前途工具。

结论

虽然建议在更大的平衡队列上进行进一步验证,但本研究支持将机器学习和声导抗整合到更准确、基于发育情况的筛查框架中。

https://cdn.ncbi.nlm.nih.gov/pmc/blobs/faf4/12346311/77ac67226f7a/healthcare-13-01921-g001.jpg

文献AI研究员

20分钟写一篇综述,助力文献阅读效率提升50倍。

立即体验

用中文搜PubMed

大模型驱动的PubMed中文搜索引擎

马上搜索

文档翻译

学术文献翻译模型,支持多种主流文档格式。

立即体验