• 文献检索
  • 文档翻译
  • 深度研究
  • 学术资讯
  • Suppr Zotero 插件Zotero 插件
  • 邀请有礼
  • 套餐&价格
  • 历史记录
应用&插件
Suppr Zotero 插件Zotero 插件浏览器插件Mac 客户端Windows 客户端微信小程序
定价
高级版会员购买积分包购买API积分包
服务
文献检索文档翻译深度研究API 文档MCP 服务
关于我们
关于 Suppr公司介绍联系我们用户协议隐私条款
关注我们

Suppr 超能文献

核心技术专利:CN118964589B侵权必究
粤ICP备2023148730 号-1Suppr @ 2026

文献检索

告别复杂PubMed语法,用中文像聊天一样搜索,搜遍4000万医学文献。AI智能推荐,让科研检索更轻松。

立即免费搜索

文件翻译

保留排版,准确专业,支持PDF/Word/PPT等文件格式,支持 12+语言互译。

免费翻译文档

深度研究

AI帮你快速写综述,25分钟生成高质量综述,智能提取关键信息,辅助科研写作。

立即免费体验

生理和转录组学分析揭示了[具体植物名称]离体培养中不定根形成的调控机制。 需注意,原文中“of.”后面缺少具体植物名称等关键信息,翻译时只能根据已有内容尽量完整准确地表述。

Physiological and Transcriptomic Analyses Reveal Regulatory Mechanisms of Adventitious Root Formation in In Vitro Culture of .

作者信息

Zhang Yuntong, Zhang Ting, Zheng Yongjie, Wang Jun, Luo Chenglin, Li Yuhua, Liu Xinliang

机构信息

State Key Laboratory of Tree Genetics and Breeding, Beijing Forestry University, Beijing 100083, China.

Camphor Engineering and Technology Research Centre of National Forestry and Grassland Administration, Jiangxi Academy of Forestry, Nanchang 330032, China.

出版信息

Int J Mol Sci. 2025 Jul 27;26(15):7264. doi: 10.3390/ijms26157264.

DOI:10.3390/ijms26157264
PMID:40806399
原文链接:https://pmc.ncbi.nlm.nih.gov/articles/PMC12347477/
Abstract

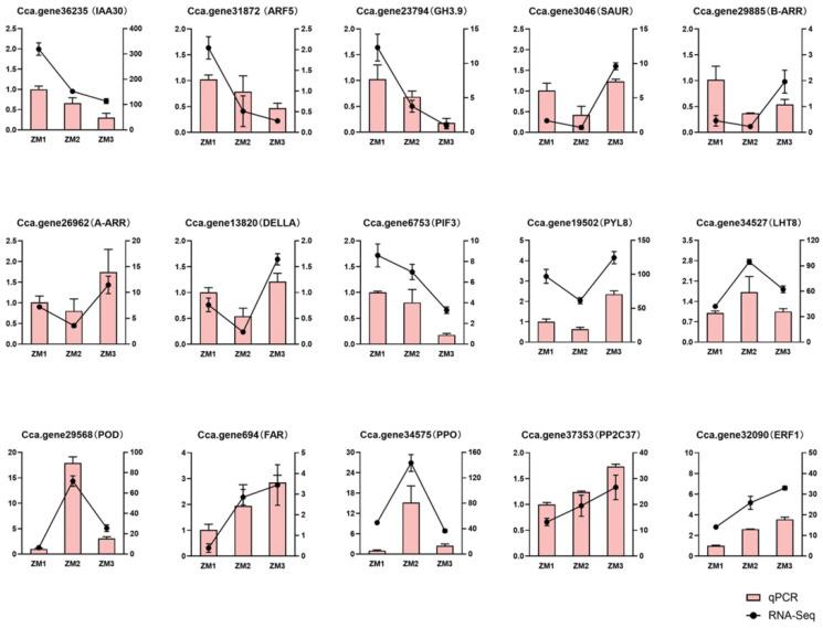
is an ecologically and economically significant species, highly valued for its essential oil production and environmental benefits. Although a tissue culture system has been established for , large-scale propagation remains limited due to the inconsistent formation of adventitious roots (ARs). This study investigated AR formation from callus tissue, focusing on associated physiological changes and gene expression dynamics. During AR induction, contents of soluble sugars and proteins decreased, alongside reduced activities of antioxidant enzymes, including superoxide dismutase (SOD), peroxidase (POD), and polyphenol oxidase (PPO). Levels of indole-3-acetic acid (IAA) and abscisic acid (ABA) decreased significantly throughout AR formation. Zeatin riboside (ZR) levels initially declined and then rose, whereas gibberellic acid (GA) levels displayed the opposite trend. Comparative transcriptomic and temporal expression analyses identified differentially expressed genes (DEGs), which were grouped into four distinct expression patterns. KEGG pathway enrichment indicated that 67 DEGs are involved in plant hormone signaling pathways and that 38 DEGs are involved in the starch and sucrose metabolism pathway. Additionally, protein-protein interaction network (PPI) analysis revealed ten key regulatory genes, which are mainly involved in auxin, cytokinin, GA, ABA, and ethylene signaling pathways. The reliability of the transcriptome data was further validated by quantitative real-time PCR. Overall, this study provides new insights into the physiological and molecular mechanisms underlying AR formation in and offers valuable guidance for optimizing tissue culture systems.

摘要

是一种具有生态和经济意义的物种,因其精油生产和环境效益而备受重视。尽管已经建立了该物种的组织培养体系,但由于不定根形成不一致,大规模繁殖仍然受到限制。本研究调查了愈伤组织中不定根的形成,重点关注相关的生理变化和基因表达动态。在不定根诱导过程中,可溶性糖和蛋白质含量下降,同时抗氧化酶活性降低,包括超氧化物歧化酶(SOD)、过氧化物酶(POD)和多酚氧化酶(PPO)。在整个不定根形成过程中,吲哚-3-乙酸(IAA)和脱落酸(ABA)水平显著下降。玉米素核苷(ZR)水平先下降后上升,而赤霉素(GA)水平则呈现相反趋势。比较转录组学和时间表达分析确定了差异表达基因(DEG),这些基因被分为四种不同的表达模式。KEGG通路富集表明,67个DEG参与植物激素信号通路,38个DEG参与淀粉和蔗糖代谢通路。此外,蛋白质-蛋白质相互作用网络(PPI)分析揭示了十个关键调控基因,主要参与生长素、细胞分裂素、GA、ABA和乙烯信号通路。通过定量实时PCR进一步验证了转录组数据的可靠性。总体而言,本研究为该物种不定根形成的生理和分子机制提供了新的见解,并为优化组织培养系统提供了有价值的指导。

https://cdn.ncbi.nlm.nih.gov/pmc/blobs/c410/12347477/c4ad69519500/ijms-26-07264-g012.jpg
https://cdn.ncbi.nlm.nih.gov/pmc/blobs/c410/12347477/b53ad9875d3a/ijms-26-07264-g001.jpg
https://cdn.ncbi.nlm.nih.gov/pmc/blobs/c410/12347477/e9b59785dcd9/ijms-26-07264-g002.jpg
https://cdn.ncbi.nlm.nih.gov/pmc/blobs/c410/12347477/5e5101c5bf71/ijms-26-07264-g003.jpg
https://cdn.ncbi.nlm.nih.gov/pmc/blobs/c410/12347477/ee512d775812/ijms-26-07264-g004.jpg
https://cdn.ncbi.nlm.nih.gov/pmc/blobs/c410/12347477/8f028740598d/ijms-26-07264-g005.jpg
https://cdn.ncbi.nlm.nih.gov/pmc/blobs/c410/12347477/3e2a28679a84/ijms-26-07264-g006.jpg
https://cdn.ncbi.nlm.nih.gov/pmc/blobs/c410/12347477/55182ded8a26/ijms-26-07264-g007.jpg
https://cdn.ncbi.nlm.nih.gov/pmc/blobs/c410/12347477/75f477e6a4cd/ijms-26-07264-g008.jpg
https://cdn.ncbi.nlm.nih.gov/pmc/blobs/c410/12347477/9f97b0a2282a/ijms-26-07264-g009.jpg
https://cdn.ncbi.nlm.nih.gov/pmc/blobs/c410/12347477/795e871a763b/ijms-26-07264-g010.jpg
https://cdn.ncbi.nlm.nih.gov/pmc/blobs/c410/12347477/1e184f8a73ee/ijms-26-07264-g011.jpg
https://cdn.ncbi.nlm.nih.gov/pmc/blobs/c410/12347477/c4ad69519500/ijms-26-07264-g012.jpg
https://cdn.ncbi.nlm.nih.gov/pmc/blobs/c410/12347477/b53ad9875d3a/ijms-26-07264-g001.jpg
https://cdn.ncbi.nlm.nih.gov/pmc/blobs/c410/12347477/e9b59785dcd9/ijms-26-07264-g002.jpg
https://cdn.ncbi.nlm.nih.gov/pmc/blobs/c410/12347477/5e5101c5bf71/ijms-26-07264-g003.jpg
https://cdn.ncbi.nlm.nih.gov/pmc/blobs/c410/12347477/ee512d775812/ijms-26-07264-g004.jpg
https://cdn.ncbi.nlm.nih.gov/pmc/blobs/c410/12347477/8f028740598d/ijms-26-07264-g005.jpg
https://cdn.ncbi.nlm.nih.gov/pmc/blobs/c410/12347477/3e2a28679a84/ijms-26-07264-g006.jpg
https://cdn.ncbi.nlm.nih.gov/pmc/blobs/c410/12347477/55182ded8a26/ijms-26-07264-g007.jpg
https://cdn.ncbi.nlm.nih.gov/pmc/blobs/c410/12347477/75f477e6a4cd/ijms-26-07264-g008.jpg
https://cdn.ncbi.nlm.nih.gov/pmc/blobs/c410/12347477/9f97b0a2282a/ijms-26-07264-g009.jpg
https://cdn.ncbi.nlm.nih.gov/pmc/blobs/c410/12347477/795e871a763b/ijms-26-07264-g010.jpg
https://cdn.ncbi.nlm.nih.gov/pmc/blobs/c410/12347477/1e184f8a73ee/ijms-26-07264-g011.jpg
https://cdn.ncbi.nlm.nih.gov/pmc/blobs/c410/12347477/c4ad69519500/ijms-26-07264-g012.jpg

相似文献

1
Physiological and Transcriptomic Analyses Reveal Regulatory Mechanisms of Adventitious Root Formation in In Vitro Culture of .生理和转录组学分析揭示了[具体植物名称]离体培养中不定根形成的调控机制。 需注意,原文中“of.”后面缺少具体植物名称等关键信息,翻译时只能根据已有内容尽量完整准确地表述。
Int J Mol Sci. 2025 Jul 27;26(15):7264. doi: 10.3390/ijms26157264.
2
Regulatory roles of indole-3-acetic acid in the physiological and biochemical responses of Cinnamomum camphora seedlings under cadmium stress.吲哚-3-乙酸在镉胁迫下樟树幼苗生理生化响应中的调控作用
Ecotoxicol Environ Saf. 2025 Sep 1;302:118671. doi: 10.1016/j.ecoenv.2025.118671. Epub 2025 Jul 15.
3
Uncovering protein regulation during adventitious root formation in Platycladus orientalis cuttings.揭示侧柏插条不定根形成过程中的蛋白质调控
Tree Physiol. 2024 Dec 16;44(12). doi: 10.1093/treephys/tpae148.
4
Transcriptome and hormones metabolome joint analyses reveal the key molecular mechanism of Sweetpotato storage roots sprouting.转录组与激素代谢组联合分析揭示甘薯贮藏根发芽的关键分子机制。
BMC Plant Biol. 2025 Aug 15;25(1):1076. doi: 10.1186/s12870-025-07030-7.
5
Overexpression of LcERF1 in Lotus corniculatus and Arabidopsis thaliana Reveals Its Role in Adventitious Root Formation of Hydroponic Cuttings.百脉根和拟南芥中LcERF1的过表达揭示了其在水培插条不定根形成中的作用。
Plant Sci. 2025 Oct;359:112629. doi: 10.1016/j.plantsci.2025.112629. Epub 2025 Jul 8.
6
Unraveling the Nyctinastic movement of Oxalis triangularis 'Purpurea': the role of circadian clock, hormones, and Ca signaling.解析三角紫叶酢浆草的感夜性运动:生物钟、激素和钙信号的作用
Plant J. 2025 Aug;123(4):e70441. doi: 10.1111/tpj.70441.
7
Exogenous abscisic acid application enhances nitrogen use efficiency and root development in rapeseed: Transcriptomic and morphological evidence.外源脱落酸处理提高油菜氮素利用效率和根系发育:转录组学和形态学证据
Plant Sci. 2025 Oct;359:112610. doi: 10.1016/j.plantsci.2025.112610. Epub 2025 Jun 14.
8
Transcriptome Analysis Reveals Multiple Genes and Complex Hormonal-Mediated Interactions with PEG during Adventitious Root Formation in Apple.转录组分析揭示了苹果不定根形成过程中与 PEG 相关的多个基因和复杂的激素介导的相互作用。
Int J Mol Sci. 2022 Jan 17;23(2):976. doi: 10.3390/ijms23020976.
9
Abscisic acid application enhances cadmium accumulation in Sedum plumbizincicola by controlling photosynthesis, hormone signaling and antioxidant defense.脱落酸处理通过调控光合作用、激素信号传导和抗氧化防御增强东南景天对镉的积累。
Plant Sci. 2025 Oct;359:112633. doi: 10.1016/j.plantsci.2025.112633. Epub 2025 Jun 25.
10
Rooting mechanism of Dendrocalamus brandisii branch and main differences in rooting ability in three different bamboo species.勃氏甜龙竹枝条生根机制及三种不同竹种生根能力的主要差异
Plant J. 2025 Aug;123(3):e70409. doi: 10.1111/tpj.70409.

本文引用的文献

1
Physiological and transcriptomic analysis reveal the regulation of adventitious root formation in Cinnamomum parthenoxylon cuttings.生理和转录组分析揭示了肉桂扦插不定根形成的调控机制。
BMC Plant Biol. 2024 Dec 19;24(1):1217. doi: 10.1186/s12870-024-05941-5.
2
Genome-wide identification and expression analysis of () genes in rice ().水稻()中()基因的全基因组鉴定和表达分析。
Plant Signal Behav. 2024 Dec 31;19(1):2391658. doi: 10.1080/15592324.2024.2391658. Epub 2024 Aug 15.
3
Plant Tissue Culture: Industrial Relevance and Future Directions.
植物组织培养:工业相关性与未来方向。
Adv Biochem Eng Biotechnol. 2024;188:1-15. doi: 10.1007/10_2024_254.
4
Rapeseed PP2C37 Interacts with PYR/PYL Abscisic Acid Receptors and Negatively Regulates Drought Tolerance.油菜素内酯 PP2C37 通过与 PYR/PYL 脱落酸受体互作负调控植物的抗旱性
J Agric Food Chem. 2024 Jun 5;72(22):12445-12458. doi: 10.1021/acs.jafc.4c00385. Epub 2024 May 21.
5
The Roles of GRETCHEN HAGEN3 (GH3)-Dependent Auxin Conjugation in the Regulation of Plant Development and Stress Adaptation.GRETCHEN HAGEN3(GH3)依赖的生长素共轭作用在植物发育调控和胁迫适应中的作用
Plants (Basel). 2023 Dec 8;12(24):4111. doi: 10.3390/plants12244111.
6
Exogenous auxin regulates the growth and development of peach fruit at the expansion stage by mediating multiple-hormone signaling.外源生长素通过介导多种激素信号调节桃果实的膨胀期生长发育。
BMC Plant Biol. 2023 Oct 18;23(1):499. doi: 10.1186/s12870-023-04514-2.
7
Adventitious Root Formation in Plants: The Implication of Hydrogen Peroxide and Nitric Oxide.植物中不定根的形成:过氧化氢和一氧化氮的作用
Antioxidants (Basel). 2023 Apr 2;12(4):862. doi: 10.3390/antiox12040862.
8
The abscisic acid-responsive element binding factors MAPKKK18 module regulates abscisic acid-induced leaf senescence in Arabidopsis.脱落酸响应元件结合因子 MAPKKK18 模块调节拟南芥中脱落酸诱导的叶片衰老。
J Biol Chem. 2023 Apr;299(4):103060. doi: 10.1016/j.jbc.2023.103060. Epub 2023 Feb 24.
9
Ethylene Activates the -/EIL1 Signaling Pathway in Tapetum and Disturbs Anther Development in .乙烯激活绒毡层中的-β/ EIL1 信号通路并扰乱 . 的花药发育。
Cells. 2022 Oct 10;11(19):3177. doi: 10.3390/cells11193177.
10
Exogenous hormones supplementation improve adventitious root formation in woody plants.外源激素补充可促进木本植物不定根的形成。
Front Bioeng Biotechnol. 2022 Sep 13;10:1009531. doi: 10.3389/fbioe.2022.1009531. eCollection 2022.