• 文献检索
  • 文档翻译
  • 深度研究
  • 学术资讯
  • Suppr Zotero 插件Zotero 插件
  • 邀请有礼
  • 套餐&价格
  • 历史记录
应用&插件
Suppr Zotero 插件Zotero 插件浏览器插件Mac 客户端Windows 客户端微信小程序
定价
高级版会员购买积分包购买API积分包
服务
文献检索文档翻译深度研究API 文档MCP 服务
关于我们
关于 Suppr公司介绍联系我们用户协议隐私条款
关注我们

Suppr 超能文献

核心技术专利:CN118964589B侵权必究
粤ICP备2023148730 号-1Suppr @ 2026

文献检索

告别复杂PubMed语法,用中文像聊天一样搜索,搜遍4000万医学文献。AI智能推荐,让科研检索更轻松。

立即免费搜索

文件翻译

保留排版,准确专业,支持PDF/Word/PPT等文件格式,支持 12+语言互译。

免费翻译文档

深度研究

AI帮你快速写综述,25分钟生成高质量综述,智能提取关键信息,辅助科研写作。

立即免费体验

胰岛素抵抗个体内脏脂肪组织中线粒体DNA拷贝数受损:对代谢失调的影响。

Impaired Mitochondrial DNA Copy Number in Visceral Adipose Tissue of Insulin-Resistant Individuals: Implications for Metabolic Dysregulation.

作者信息

Ołdakowska Monika, Cierzniak Aneta, Jurek Tomasz, Małodobra-Mazur Małgorzata

机构信息

Department of Forensic Medicine, Division of Molecular Techniques, Wroclaw Medical University, Sklodowskiej-Curie 52, 51-367 Wroclaw, Poland.

Genomtec S.A., Ul. Bierutowska 57-59, 51-317 Wroclaw, Poland.

出版信息

Int J Mol Sci. 2025 Jul 31;26(15):7398. doi: 10.3390/ijms26157398.

DOI:10.3390/ijms26157398
PMID:40806527
原文链接:https://pmc.ncbi.nlm.nih.gov/articles/PMC12347319/
Abstract

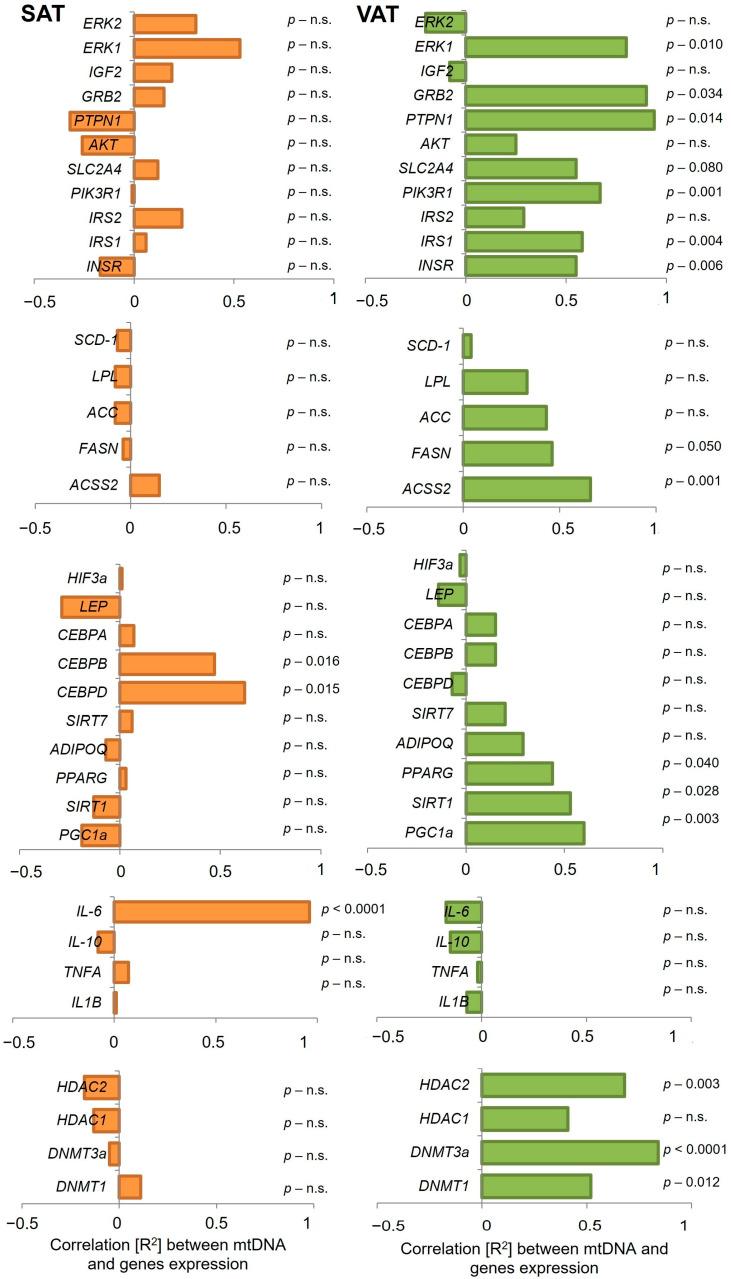
Insulin resistance is a fundamental pathophysiological mechanism contributing to the development of type 2 diabetes and metabolic syndrome. Recently, attention has focused on mitochondria's role in glucose and lipid metabolism. Mitochondrial dysfunction is strongly associated with impaired energy metabolism and elevated oxidative stress. We investigated the mitochondrial DNA (mtDNA) copy number in subcutaneous adipose tissue (SAT) and visceral adipose tissue (VAT) in insulin-sensitive (IS) and insulin-resistant (IR) individuals. Twenty-seven paired adipose tissue biopsies were obtained during elective abdominal surgery. DNA and RNA were extracted, and mtDNA copy number was quantified using Real-Time PCR. We found that mtDNA content in VAT was approximately two-fold lower than in SAT. Furthermore, in IR individuals, mtDNA copy number was significantly reduced in both SAT and VAT compared to IS subjects. A strong positive correlation was observed between mtDNA content in VAT and body mass index (BMI), and a negative correlation was found with the QUICKI index. Additionally, mtDNA copy number in VAT positively correlated with the expression of several genes involved in insulin signalling, lipid metabolism, and other metabolic pathways. These findings underscore the central role of mitochondrial function in VAT in the context of metabolic disorders and suggest that targeting mitochondrial regulation in this tissue may represent a promising therapeutic approach.

摘要

胰岛素抵抗是导致2型糖尿病和代谢综合征发生的一种基本病理生理机制。最近,人们的注意力集中在线粒体在葡萄糖和脂质代谢中的作用。线粒体功能障碍与能量代谢受损和氧化应激升高密切相关。我们研究了胰岛素敏感(IS)和胰岛素抵抗(IR)个体皮下脂肪组织(SAT)和内脏脂肪组织(VAT)中的线粒体DNA(mtDNA)拷贝数。在择期腹部手术期间获取了27对脂肪组织活检样本。提取DNA和RNA,并使用实时PCR对mtDNA拷贝数进行定量。我们发现VAT中的mtDNA含量比SAT中的低约两倍。此外,与IS个体相比,IR个体的SAT和VAT中的mtDNA拷贝数均显著降低。在VAT中的mtDNA含量与体重指数(BMI)之间观察到强烈的正相关,而与QUICKI指数呈负相关。此外,VAT中的mtDNA拷贝数与参与胰岛素信号传导、脂质代谢和其他代谢途径的几个基因的表达呈正相关。这些发现强调了在代谢紊乱背景下VAT中线粒体功能的核心作用,并表明针对该组织中的线粒体调节可能是一种有前景的治疗方法。

https://cdn.ncbi.nlm.nih.gov/pmc/blobs/1e5b/12347319/922b5d286864/ijms-26-07398-g004.jpg
https://cdn.ncbi.nlm.nih.gov/pmc/blobs/1e5b/12347319/7586e9395713/ijms-26-07398-g001.jpg
https://cdn.ncbi.nlm.nih.gov/pmc/blobs/1e5b/12347319/cfaa3869df21/ijms-26-07398-g002.jpg
https://cdn.ncbi.nlm.nih.gov/pmc/blobs/1e5b/12347319/b56478aa58e8/ijms-26-07398-g003.jpg
https://cdn.ncbi.nlm.nih.gov/pmc/blobs/1e5b/12347319/922b5d286864/ijms-26-07398-g004.jpg
https://cdn.ncbi.nlm.nih.gov/pmc/blobs/1e5b/12347319/7586e9395713/ijms-26-07398-g001.jpg
https://cdn.ncbi.nlm.nih.gov/pmc/blobs/1e5b/12347319/cfaa3869df21/ijms-26-07398-g002.jpg
https://cdn.ncbi.nlm.nih.gov/pmc/blobs/1e5b/12347319/b56478aa58e8/ijms-26-07398-g003.jpg
https://cdn.ncbi.nlm.nih.gov/pmc/blobs/1e5b/12347319/922b5d286864/ijms-26-07398-g004.jpg

相似文献

1
Impaired Mitochondrial DNA Copy Number in Visceral Adipose Tissue of Insulin-Resistant Individuals: Implications for Metabolic Dysregulation.胰岛素抵抗个体内脏脂肪组织中线粒体DNA拷贝数受损:对代谢失调的影响。
Int J Mol Sci. 2025 Jul 31;26(15):7398. doi: 10.3390/ijms26157398.
2
The subcutaneous adipose transcriptome identifies a molecular signature of insulin resistance shared with visceral adipose.皮下脂肪转录组确定了与内脏脂肪共享的胰岛素抵抗分子特征。
Obesity (Silver Spring). 2024 Aug;32(8):1526-1540. doi: 10.1002/oby.24064. Epub 2024 Jul 5.
3
Single-Cell Analysis of Subcutaneous Fat Reveals Profibrotic Cells That Correlate With Visceral Adiposity in HIV.皮下脂肪的单细胞分析揭示了与HIV患者内脏肥胖相关的促纤维化细胞。
J Clin Endocrinol Metab. 2024 Dec 18;110(1):238-253. doi: 10.1210/clinem/dgae369.
4
Lipid-associated macrophages are more abundant in subcutaneous than visceral adipose tissue in patients with obesity.在肥胖患者中,脂质相关巨噬细胞在皮下脂肪组织中比在内脏脂肪组织中更为丰富。
Obesity (Silver Spring). 2025 Aug;33(8):1543-1554. doi: 10.1002/oby.24323. Epub 2025 Jun 29.
5
Associations between maternal visceral fat in mid-pregnancy and subsequent gestational diabetes mellitus in a Chinese population: a cohort study.中国人群中孕中期孕妇内脏脂肪与后续妊娠期糖尿病之间的关联:一项队列研究
BMC Pregnancy Childbirth. 2025 Jul 10;25(1):746. doi: 10.1186/s12884-025-07873-w.
6
Multi-tissue metabolomics reveal mtDNA- and diet-specific metabolite profiles in a mouse model of cardiometabolic disease.多组织代谢组学揭示了心脏代谢疾病小鼠模型中特定于线粒体DNA和饮食的代谢物谱。
Redox Biol. 2025 Apr;81:103541. doi: 10.1016/j.redox.2025.103541. Epub 2025 Feb 14.
7
Visceral Adipose Tissue, Aortic Distensibility and Atherosclerotic Cardiovascular Risk Across Body Mass Index Categories.不同体重指数类别下的内脏脂肪组织、主动脉可扩张性与动脉粥样硬化性心血管风险
Eur J Prev Cardiol. 2025 Jul 18. doi: 10.1093/eurjpc/zwaf447.
8
Blood-derived mitochondrial DNA copy number is associated with Alzheimer disease, Alzheimer-related biomarkers and serum metabolites.血液源性线粒体 DNA 拷贝数与阿尔茨海默病、阿尔茨海默病相关生物标志物和血清代谢物有关。
Alzheimers Res Ther. 2024 Oct 23;16(1):234. doi: 10.1186/s13195-024-01601-w.
9
Growth hormone axis treatments for HIV-associated lipodystrophy: a systematic review of placebo-controlled trials.生长激素轴治疗与 HIV 相关的脂肪代谢障碍:安慰剂对照试验的系统评价。
HIV Med. 2011 Sep;12(8):453-62. doi: 10.1111/j.1468-1293.2010.00906.x. Epub 2011 Jan 25.
10
Subclinical ketosis in postpartum dairy cows alters the adipose tissue immunological profile in a depot-specific manner.产后奶牛的亚临床酮症以特定部位的方式改变脂肪组织的免疫特征。
Front Immunol. 2025 Jun 17;16:1578669. doi: 10.3389/fimmu.2025.1578669. eCollection 2025.

本文引用的文献

1
Aging-associated accumulation of mitochondrial DNA mutations in tumor origin.衰老相关的线粒体DNA突变在肿瘤起源中的积累。
Life Med. 2022 Aug 17;1(2):149-167. doi: 10.1093/lifemedi/lnac014. eCollection 2022 Oct.
2
Human adipose depots' diverse functions and dysregulations during cardiometabolic disease.人类脂肪库在心脏代谢疾病期间的多种功能及失调情况。
NPJ Metab Health Dis. 2024;2(1):34. doi: 10.1038/s44324-024-00036-z. Epub 2024 Nov 29.
3
Bridging lipid metabolism and mitochondrial genome maintenance.连接脂质代谢和线粒体基因组维护。
J Biol Chem. 2024 Aug;300(8):107498. doi: 10.1016/j.jbc.2024.107498. Epub 2024 Jun 27.
4
Visceral Adipose Tissue: The Hidden Culprit for Type 2 Diabetes.内脏脂肪组织:2 型糖尿病的幕后黑手。
Nutrients. 2024 Mar 30;16(7):1015. doi: 10.3390/nu16071015.
5
Mitochondrial Function in Healthy Human White Adipose Tissue: A Narrative Review.健康人体白色脂肪组织中线粒体功能:叙述性综述。
Nutrients. 2023 Oct 19;15(20):4430. doi: 10.3390/nu15204430.
6
Mitochondrial Dysfunction Associated with mtDNA in Metabolic Syndrome and Obesity.与线粒体DNA相关的线粒体功能障碍在代谢综合征和肥胖症中的作用
Int J Mol Sci. 2023 Jul 27;24(15):12012. doi: 10.3390/ijms241512012.
7
Peripheral Mitochondrial Dysfunction: A Potential Contributor to the Development of Metabolic Disorders and Alzheimer's Disease.外周线粒体功能障碍:代谢紊乱和阿尔茨海默病发展的潜在因素。
Biology (Basel). 2023 Jul 19;12(7):1019. doi: 10.3390/biology12071019.
8
Brown adipocyte and browning thermogenesis: metabolic crosstalk beyond mitochondrial limits and physiological impacts.棕色脂肪细胞与棕色脂肪产热:超越线粒体限制的代谢串扰及其生理影响。
Adipocyte. 2023 Dec;12(1):2237164. doi: 10.1080/21623945.2023.2237164.
9
Pathophysiology of obesity and its associated diseases.肥胖及其相关疾病的病理生理学
Acta Pharm Sin B. 2023 Jun;13(6):2403-2424. doi: 10.1016/j.apsb.2023.01.012. Epub 2023 Jan 13.
10
Dysregulation of Inflammation, Oxidative Stress, and Glucose Metabolism-Related Genes and miRNAs in Visceral Adipose Tissue of Women with Type 2 Diabetes Mellitus.2 型糖尿病女性内脏脂肪组织中炎症、氧化应激和葡萄糖代谢相关基因及 miRNA 的失调。
Med Sci Monit. 2023 Jul 9;29:e939299. doi: 10.12659/MSM.939299.