Suppr超能文献

通过液体活检剖析肿瘤异质性——实体瘤中死后组织与生前液体活检的比较分析

Dissecting Tumor Heterogeneity by Liquid Biopsy-A Comparative Analysis of Post-Mortem Tissue and Pre-Mortem Liquid Biopsies in Solid Neoplasias.

作者信息

Mögele Tatiana, Hildebrand Kathrin, Sultan Aziz, Sommer Sebastian, Rentschler Lukas, Kling Maria, Sax Irmengard, Schlesner Matthias, Märkl Bruno, Trepel Martin, Schmutz Maximilian, Claus Rainer

机构信息

Pathology, Faculty of Medicine, University of Augsburg, Stenglinstr. 2, 86156 Augsburg, Germany.

Bavarian Cancer Research Center (BZKF), 91054 Erlangen, Germany.

出版信息

Int J Mol Sci. 2025 Aug 6;26(15):7614. doi: 10.3390/ijms26157614.

Abstract

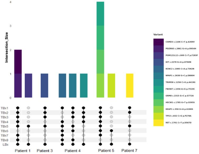
Tumor heterogeneity encompasses genetic, epigenetic, and phenotypic diversity, impacting treatment response and resistance. Spatial heterogeneity occurs both inter- and intra-lesionally, while temporal heterogeneity results from clonal evolution. High-throughput technologies like next-generation sequencing (NGS) enhance tumor characterization, but conventional biopsies still do not adequately capture genetic heterogeneity. Liquid biopsy (LBx), analyzing circulating tumor DNA (ctDNA), provides a minimally invasive alternative, offering real-time tumor evolution insights and identifying resistance mutations overlooked by tissue biopsies. This study evaluates the capability of LBx to capture tumor heterogeneity by comparing genetic profiles from multiple metastatic lesions and LBx samples. Eight patients from the Augsburger Longitudinal Plasma Study with various types of cancer provided 56 postmortem tissue samples, which were compared against pre-mortem LBx-derived circulating-free DNA sequenced by NGS. Tissue analyses revealed significant mutational diversity (4-12 mutations per patient, VAFs: 1.5-71.4%), with distinct intra- and inter-lesional heterogeneity. LBx identified 51 variants (4-17 per patient, VAFs: 0.2-31.1%), which overlapped with mutations from the tissue samples by 33-92%. Notably, 22 tissue variants were absent in LBx, whereas 18 LBx-exclusive variants were detected (VAFs: 0.2-2.8%). LBx effectively captures tumor heterogeneity, but should be used in conjunction with tissue biopsies for comprehensive genetic profiling.

摘要

肿瘤异质性包括基因、表观遗传和表型多样性,影响治疗反应和耐药性。空间异质性在病变间和病变内均会出现,而时间异质性则源于克隆进化。像新一代测序(NGS)这样的高通量技术增强了对肿瘤的特征描述,但传统活检仍无法充分捕捉基因异质性。液体活检(LBx)通过分析循环肿瘤DNA(ctDNA)提供了一种微创替代方法,可提供实时肿瘤进化见解并识别组织活检遗漏的耐药突变。本研究通过比较多个转移病灶和LBx样本的基因谱来评估LBx捕捉肿瘤异质性的能力。来自奥格斯堡纵向血浆研究的8名患有各种癌症的患者提供了56份死后组织样本,并与通过NGS测序的死前LBx衍生的游离循环DNA进行了比较。组织分析显示出显著的突变多样性(每位患者4 - 12个突变,变异等位基因频率:1.5 - 71.4%),存在明显的病变内和病变间异质性。LBx识别出51个变异(每位患者4 - 17个,变异等位基因频率:0.2 - 31.1%),与组织样本中的突变重叠率为33 - 92%。值得注意的是,22个组织变异在LBx中未出现,而检测到18个LBx特有的变异(变异等位基因频率:0.2 - 2.8%)。LBx能有效捕捉肿瘤异质性,但应与组织活检结合使用以进行全面的基因分析。

https://cdn.ncbi.nlm.nih.gov/pmc/blobs/a80b/12347833/2fddd7dbc2d4/ijms-26-07614-g001.jpg

文献检索

告别复杂PubMed语法,用中文像聊天一样搜索,搜遍4000万医学文献。AI智能推荐,让科研检索更轻松。

立即免费搜索

文件翻译

保留排版,准确专业,支持PDF/Word/PPT等文件格式,支持 12+语言互译。

免费翻译文档

深度研究

AI帮你快速写综述,25分钟生成高质量综述,智能提取关键信息,辅助科研写作。

立即免费体验