• 文献检索
  • 文档翻译
  • 深度研究
  • 学术资讯
  • Suppr Zotero 插件Zotero 插件
  • 邀请有礼
  • 套餐&价格
  • 历史记录
应用&插件
Suppr Zotero 插件Zotero 插件浏览器插件Mac 客户端Windows 客户端微信小程序
定价
高级版会员购买积分包购买API积分包
服务
文献检索文档翻译深度研究API 文档MCP 服务
关于我们
关于 Suppr公司介绍联系我们用户协议隐私条款
关注我们

Suppr 超能文献

核心技术专利:CN118964589B侵权必究
粤ICP备2023148730 号-1Suppr @ 2026

文献检索

告别复杂PubMed语法,用中文像聊天一样搜索,搜遍4000万医学文献。AI智能推荐,让科研检索更轻松。

立即免费搜索

文件翻译

保留排版,准确专业,支持PDF/Word/PPT等文件格式,支持 12+语言互译。

免费翻译文档

深度研究

AI帮你快速写综述,25分钟生成高质量综述,智能提取关键信息,辅助科研写作。

立即免费体验

抗氧化和抗炎五元杂环-肉桂酸杂化物的合成与分子建模

Synthesis and Molecular Modeling of Antioxidant and Anti-Inflammatory Five-Membered Heterocycle-Cinnamic Acid Hybrids.

作者信息

Theodoridis Konstantinos, Charissopoulos Eleftherios, Tsioumela Dimitra, Pontiki Eleni

机构信息

Laboratory of Pharmaceutical Chemistry, Faculty of Health Sciences, School of Pharmacy, Aristotle University of Thessaloniki, 54124 Thessaloniki, Greece.

出版信息

Molecules. 2025 Jul 27;30(15):3148. doi: 10.3390/molecules30153148.

DOI:10.3390/molecules30153148
PMID:40807323
原文链接:https://pmc.ncbi.nlm.nih.gov/articles/PMC12348798/
Abstract

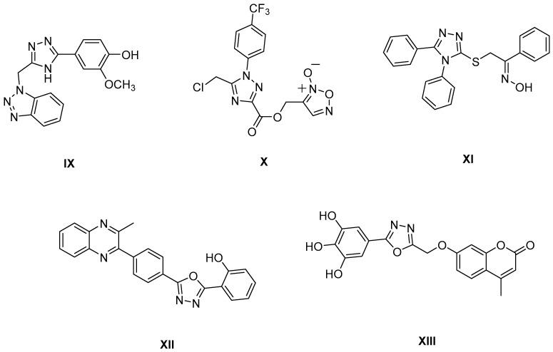
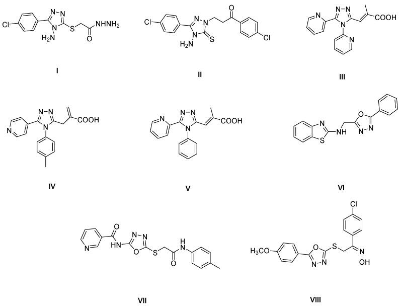
In this study, the design and synthesis of a novel series of cinnamic acid and 1,2,4-triazole hybrids were reported, aiming to enhance antioxidant and lipoxygenase inhibitory activities through pharmacophore combination. Cinnamic acid derivatives and 1,2,4-triazoles exhibit a broad spectrum of biological activities; therefore, by synthesizing hybrid molecules, we would like to exploit the beneficial characteristics of each scaffold. The general synthetic procedure comprises three synthetic steps, starting from the reaction of appropriate substituted cinnamic acid with hydrazine monohydrate in acetonitrile with cyclohexane and resulting in the formation of hydrazides. Consequently, the hydrazides reacted with phenylisothiocyanate under microwave irradiation conditions. Then, cyclization proceeded to the 1,2,4-triazole after the addition of NaOH solution and microwave irradiation. All the synthesized derivatives have been studied for their ability (a) to interact with the free radical DPPH, (b) inhibit lipid peroxidation induced by AAPH, and (c) inhibit soybean lipoxygenase. The synthesized derivatives have shown significant antioxidant activity and have been proved to be very good lipoxygenase inhibitors. Compounds and (IC = 4.5 μM) are the most potent within the series followed by compound (IC = 5.0 μM). All the synthesized derivatives have been subjected to docking studies related to soybean lipoxygenase. Compound exhibited a docking score of -9.2 kcal/mol and formed hydrophobic interactions with Val126, Tyr525, Lys526, Arg533, and Trp772, as well as a π-cation interaction with Lys526.

摘要

在本研究中,报道了一系列新型肉桂酸与1,2,4 - 三唑杂化物的设计与合成,旨在通过药效团组合增强抗氧化和脂氧合酶抑制活性。肉桂酸衍生物和1,2,4 - 三唑具有广泛的生物活性;因此,通过合成杂化分子,我们希望利用每个支架的有益特性。一般合成步骤包括三个合成步骤,从适当取代的肉桂酸与水合肼在乙腈和环己烷中反应开始,生成酰肼。随后,酰肼在微波辐射条件下与苯基异硫氰酸酯反应。然后,加入氢氧化钠溶液并进行微波辐射后,环化生成1,2,4 - 三唑。对所有合成的衍生物进行了以下能力研究:(a)与自由基DPPH相互作用;(b)抑制AAPH诱导的脂质过氧化;(c)抑制大豆脂氧合酶。合成的衍生物显示出显著的抗氧化活性,并被证明是非常好的脂氧合酶抑制剂。化合物 和 (IC = 4.5 μM)是该系列中最有效的,其次是化合物 (IC = 5.0 μM)。所有合成的衍生物都进行了与大豆脂氧合酶相关的对接研究。化合物 表现出 - 9.2 kcal/mol的对接分数,并与Val126、Tyr525、Lys526、Arg533和Trp772形成疏水相互作用,以及与Lys526形成π - 阳离子相互作用。

https://cdn.ncbi.nlm.nih.gov/pmc/blobs/5c3c/12348798/b52513d5e23b/molecules-30-03148-g007.jpg
https://cdn.ncbi.nlm.nih.gov/pmc/blobs/5c3c/12348798/2a9841e787fb/molecules-30-03148-sch001.jpg
https://cdn.ncbi.nlm.nih.gov/pmc/blobs/5c3c/12348798/09b44096e638/molecules-30-03148-sch002.jpg
https://cdn.ncbi.nlm.nih.gov/pmc/blobs/5c3c/12348798/b7dd9677b3d6/molecules-30-03148-g001.jpg
https://cdn.ncbi.nlm.nih.gov/pmc/blobs/5c3c/12348798/16f48bbc80a0/molecules-30-03148-g002.jpg
https://cdn.ncbi.nlm.nih.gov/pmc/blobs/5c3c/12348798/3fda512701bc/molecules-30-03148-sch003.jpg
https://cdn.ncbi.nlm.nih.gov/pmc/blobs/5c3c/12348798/555952b49758/molecules-30-03148-g003.jpg
https://cdn.ncbi.nlm.nih.gov/pmc/blobs/5c3c/12348798/a2af65bd657c/molecules-30-03148-sch004.jpg
https://cdn.ncbi.nlm.nih.gov/pmc/blobs/5c3c/12348798/9fdf11ab6429/molecules-30-03148-sch005.jpg
https://cdn.ncbi.nlm.nih.gov/pmc/blobs/5c3c/12348798/f33e61b188e7/molecules-30-03148-g004.jpg
https://cdn.ncbi.nlm.nih.gov/pmc/blobs/5c3c/12348798/3c853d8b547b/molecules-30-03148-g005.jpg
https://cdn.ncbi.nlm.nih.gov/pmc/blobs/5c3c/12348798/51f8fcdac80e/molecules-30-03148-g006.jpg
https://cdn.ncbi.nlm.nih.gov/pmc/blobs/5c3c/12348798/b52513d5e23b/molecules-30-03148-g007.jpg
https://cdn.ncbi.nlm.nih.gov/pmc/blobs/5c3c/12348798/2a9841e787fb/molecules-30-03148-sch001.jpg
https://cdn.ncbi.nlm.nih.gov/pmc/blobs/5c3c/12348798/09b44096e638/molecules-30-03148-sch002.jpg
https://cdn.ncbi.nlm.nih.gov/pmc/blobs/5c3c/12348798/b7dd9677b3d6/molecules-30-03148-g001.jpg
https://cdn.ncbi.nlm.nih.gov/pmc/blobs/5c3c/12348798/16f48bbc80a0/molecules-30-03148-g002.jpg
https://cdn.ncbi.nlm.nih.gov/pmc/blobs/5c3c/12348798/3fda512701bc/molecules-30-03148-sch003.jpg
https://cdn.ncbi.nlm.nih.gov/pmc/blobs/5c3c/12348798/555952b49758/molecules-30-03148-g003.jpg
https://cdn.ncbi.nlm.nih.gov/pmc/blobs/5c3c/12348798/a2af65bd657c/molecules-30-03148-sch004.jpg
https://cdn.ncbi.nlm.nih.gov/pmc/blobs/5c3c/12348798/9fdf11ab6429/molecules-30-03148-sch005.jpg
https://cdn.ncbi.nlm.nih.gov/pmc/blobs/5c3c/12348798/f33e61b188e7/molecules-30-03148-g004.jpg
https://cdn.ncbi.nlm.nih.gov/pmc/blobs/5c3c/12348798/3c853d8b547b/molecules-30-03148-g005.jpg
https://cdn.ncbi.nlm.nih.gov/pmc/blobs/5c3c/12348798/51f8fcdac80e/molecules-30-03148-g006.jpg
https://cdn.ncbi.nlm.nih.gov/pmc/blobs/5c3c/12348798/b52513d5e23b/molecules-30-03148-g007.jpg

相似文献

1
Synthesis and Molecular Modeling of Antioxidant and Anti-Inflammatory Five-Membered Heterocycle-Cinnamic Acid Hybrids.抗氧化和抗炎五元杂环-肉桂酸杂化物的合成与分子建模
Molecules. 2025 Jul 27;30(15):3148. doi: 10.3390/molecules30153148.
2
Microwave Assisted Synthesis of Antioxidant Dihydro-Pyrazole Hybrids as Possible Lipoxygenase Inhibitors.微波辅助合成作为潜在脂氧合酶抑制剂的抗氧化二氢吡唑杂化物
Molecules. 2025 May 20;30(10):2224. doi: 10.3390/molecules30102224.
3
Prescription of Controlled Substances: Benefits and Risks管制药品的处方:益处与风险
4
Pyrazoles and Pyrazolines as Anti-Inflammatory Agents.吡唑和吡唑啉作为抗炎药。
Molecules. 2021 Jun 5;26(11):3439. doi: 10.3390/molecules26113439.
5
Unveiling a novel ellagic acid derivative as a potent lipoxygenase (LOX) inhibitor: integration of computational modeling and experimental validation.揭示一种新型鞣花酸衍生物作为一种有效的脂氧合酶(LOX)抑制剂:计算建模与实验验证的整合。
J Comput Aided Mol Des. 2025 Jul 5;39(1):42. doi: 10.1007/s10822-025-00618-z.
6
Unveiling the potential of novel natural product-based MTDLs that integrate cinnamamide scaffold as multifunctional agents for the treatment of Alzheimer's disease.揭示新型基于天然产物的多靶点配体(MTDLs)的潜力,这些配体整合了肉桂酰胺支架作为治疗阿尔茨海默病的多功能药物。
Bioorg Chem. 2025 Aug;163:108666. doi: 10.1016/j.bioorg.2025.108666. Epub 2025 Jun 6.
7
Anti-inflammatory potential of Grewialin from Grewia optiva: insights from molecular docking, ADMET, DFT, and in-vitro studies.光叶扁担杆中扁担杆林的抗炎潜力:来自分子对接、ADMET、密度泛函理论及体外研究的见解
J Comput Aided Mol Des. 2025 Jul 23;39(1):56. doi: 10.1007/s10822-025-00632-1.
8
Cytotoxic potential of novel triazole-based hybrids: design, synthesis, in silico evaluation, and in vitro assessment against cancer cell lines.新型三唑基杂化物的细胞毒性潜力:针对癌细胞系的设计、合成、计算机模拟评估及体外评估
Bioorg Chem. 2025 Aug;163:108749. doi: 10.1016/j.bioorg.2025.108749. Epub 2025 Jul 14.
9
Design, synthesis, biological profiling and molecular docking of some novel oxazolones and imidazolones exhibiting good inhibitory potential against acetylcholine esterase.一些对乙酰胆碱酯酶具有良好抑制潜力的新型恶唑酮和咪唑酮的设计、合成、生物学特性分析及分子对接
J Biomol Struct Dyn. 2024 Feb 13:1-18. doi: 10.1080/07391102.2024.2306496.
10
Novel cinnamic acid derivatives as antioxidant and anticancer agents: design, synthesis and modeling studies.新型肉桂酸衍生物作为抗氧化剂和抗癌剂:设计、合成与建模研究
Molecules. 2014 Jul 7;19(7):9655-74. doi: 10.3390/molecules19079655.

本文引用的文献

1
Search for New Compounds with Anti-Inflammatory Activity Among 1,2,4-Triazole Derivatives.在1,2,4-三唑衍生物中寻找具有抗炎活性的新化合物。
Molecules. 2024 Dec 21;29(24):6036. doi: 10.3390/molecules29246036.
2
AmberTools. AmberTools。
J Chem Inf Model. 2023 Oct 23;63(20):6183-6191. doi: 10.1021/acs.jcim.3c01153. Epub 2023 Oct 8.
3
Synthesis and anti-inflammatory activity evaluation of NO-releasing furoxan/1,2,4-triazole hybrid derivatives.NO 释放型呋咱/1,2,4-三唑杂合衍生物的合成及抗炎活性评价。
Eur J Med Chem. 2023 Sep 5;257:115496. doi: 10.1016/j.ejmech.2023.115496. Epub 2023 May 16.
4
Evaluation of Anthelmintic and Anti-Inflammatory Activity of 1,2,4-Triazole Derivatives.评价 1,2,4-三唑衍生物的驱虫和抗炎活性。
Molecules. 2022 Jul 13;27(14):4488. doi: 10.3390/molecules27144488.
5
The Biological Activity Mechanism of Chlorogenic Acid and Its Applications in Food Industry: A Review.绿原酸的生物活性机制及其在食品工业中的应用:综述
Front Nutr. 2022 Jun 29;9:943911. doi: 10.3389/fnut.2022.943911. eCollection 2022.
6
Design and Synthesis of Novel 1,3,4-Oxadiazole and 1,2,4-Triazole Derivatives as Cyclooxygenase-2 Inhibitors with Anti-inflammatory and Antioxidant activity in LPS-stimulated RAW264.7 Macrophages.新型 1,3,4-恶二唑和 1,2,4-三唑衍生物的设计与合成:作为环氧化酶-2 抑制剂在 LPS 刺激的 RAW264.7 巨噬细胞中的抗炎和抗氧化活性。
Bioorg Chem. 2022 Jul;124:105808. doi: 10.1016/j.bioorg.2022.105808. Epub 2022 Apr 13.
7
Ferulic acid exhibits anti-inflammatory effects by inducing autophagy and blocking NLRP3 inflammasome activation.阿魏酸通过诱导自噬和阻断NLRP3炎性小体激活发挥抗炎作用。
Mol Cell Toxicol. 2022;18(4):509-519. doi: 10.1007/s13273-021-00219-5. Epub 2022 Jan 10.
8
Identification of novel acetylcholinesterase inhibitors through 3D-QSAR, molecular docking, and molecular dynamics simulation targeting Alzheimer's disease.通过针对阿尔茨海默病的 3D-QSAR、分子对接和分子动力学模拟鉴定新型乙酰胆碱酯酶抑制剂。
J Mol Model. 2021 Sep 28;27(10):302. doi: 10.1007/s00894-021-04928-5.
9
Exploring the 2'-Hydroxy-Chalcone Framework for the Development of Dual Antioxidant and Soybean Lipoxygenase Inhibitory Agents.探索 2'-羟基查尔酮骨架,开发双重抗氧化和大豆脂氧合酶抑制剂。
Molecules. 2021 May 8;26(9):2777. doi: 10.3390/molecules26092777.
10
Structural hybridization as a facile approach to new drug candidates.结构杂化作为一种新的药物候选物的简便方法。
Bioorg Med Chem Lett. 2020 Dec 1;30(23):127514. doi: 10.1016/j.bmcl.2020.127514. Epub 2020 Aug 26.