Suppr超能文献

种植体周围炎中的微生物群落变化:生态失调及其恢复的纵向特征

Microbiome Shifts in Peri-Implantitis: Longitudinal Characterization of Dysbiosis and Resolution.

作者信息

Anuntakarun Songtham, Thaweesapphithak Sermporn, Krasaesin Annop, Prommanee Sasiprapa, Arunyanak Sirikarn, Kungsadalpipob Kajorn, Acharya Aneesha, Porntaveetus Thantrira, Mattheos Nikos

机构信息

Center of Excellence in Precision Medicine and Digital Health, Department of Physiology, Faculty of Dentistry, Chulalongkorn University, Bangkok, Thailand.

Center of Excellence in Precision Medicine and Digital Health, Department of Physiology, Faculty of Dentistry, Chulalongkorn University, Bangkok, Thailand; Program in Bioinformatics and Computational Biology, Graduate School, Chulalongkorn University, Bangkok, Thailand.

出版信息

Int Dent J. 2025 Aug 13;75(5):100951. doi: 10.1016/j.identj.2025.100951.

Abstract

OBJECTIVE

To characterize the longitudinal dynamics of the peri-implant microbiome in patients with peri-implantitis and healthy implants.

METHODS

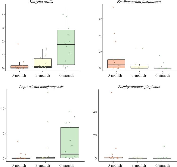
The peri-implant microbiome was characterized longitudinally in patients with peri-implantitis and healthy implants via 16S rRNA gene sequencing. Samples were collected at baseline, 3-, and 6-months post-treatment. Bioinformatic analysis was performed to identify significant microbial shifts over time RESULTS: At baseline, peri-implantitis sites exhibited significantly higher relative abundances of Prevotella (8.44%) and Fusobacterium (16.91%), compared to healthy implant sites, which were dominated by Streptococcus (16.91%) and Neisseria (10.06%). Post-treatment, Haemophilus increased in both groups by 3 months, particularly in peri-implantitis sites (19.94%). At 6 months, Streptococcus increased in PI sites (13.10%), while Veillonella and Neisseria remained prevalent in healthy sites. Differential abundance analysis confirmed partial recovery of peri-implantitis sites, with baseline dysbiosis marked by increased Veillonella, Treponema denticola, and Porphyromonas gingivalis.

CONCLUSIONS

This study highlights dynamic shifts in the peri-implant microbiome during peri-implantitis progression and recovery, marked by specific changes in Prevotella, Fusobacterium, Haemophilus, Streptococcus, Veillonella, and key periodontal pathogens. These longitudinal changes offer insights into disease pathogenesis and underscore the potential of microbiome-targeted therapies.

摘要

目的

描述种植体周围炎患者和健康种植体患者种植体周围微生物群的纵向动态变化。

方法

通过16S rRNA基因测序对种植体周围炎患者和健康种植体患者的种植体周围微生物群进行纵向特征分析。在基线、治疗后3个月和6个月采集样本。进行生物信息学分析以确定随时间推移的显著微生物变化。结果:在基线时,与以链球菌(16.91%)和奈瑟菌(10.06%)为主的健康种植体部位相比,种植体周围炎部位的普雷沃菌(8.44%)和梭杆菌(16.91%)相对丰度显著更高。治疗后,两组中的嗜血杆菌在3个月时均增加,尤其是在种植体周围炎部位(19.94%)。在6个月时,链球菌在种植体周围炎部位增加(13.10%),而韦荣球菌和奈瑟菌在健康部位仍然普遍存在。差异丰度分析证实种植体周围炎部位部分恢复,基线时的生态失调表现为韦荣球菌、具核梭杆菌和牙龈卟啉单胞菌增加。

结论

本研究强调了种植体周围炎进展和恢复过程中种植体周围微生物群的动态变化,其特征为普雷沃菌、梭杆菌、嗜血杆菌、链球菌、韦荣球菌和关键牙周病原体的特定变化。这些纵向变化为疾病发病机制提供了见解,并强调了以微生物群为靶点的治疗潜力。

https://cdn.ncbi.nlm.nih.gov/pmc/blobs/37c5/12361765/c4d3a10661f9/gr1.jpg

文献AI研究员

20分钟写一篇综述,助力文献阅读效率提升50倍。

立即体验

用中文搜PubMed

大模型驱动的PubMed中文搜索引擎

马上搜索

文档翻译

学术文献翻译模型,支持多种主流文档格式。

立即体验