Suppr超能文献

乳腺癌患者对癌症复发的恐惧与感知疼痛:一种网络分析方法。

Fear of cancer recurrence and perceived pain in patients with breast cancer: A network analysis approach.

作者信息

Chen Furong, Deng Yiguo, Li Siyu, Zhang Qihan, Xiao Zhirui, Tish Knobf M, Ye Zengjie

机构信息

School of Nursing, Guangzhou Medical University, Guangzhou, Guangdong Province, China.

School of Nursing, University of South China, Hengyang, Hunan Province, China.

出版信息

Asia Pac J Oncol Nurs. 2025 Jul 23;12:100763. doi: 10.1016/j.apjon.2025.100763. eCollection 2025 Dec.

Abstract

OBJECTIVE

This study aimed to identify core symptom nodes and examine directional relationships within the networks of fear of cancer recurrence (FCR) and pain catastrophizing (PC), and to investigate high-impact targets for intervention.

METHODS

From September to November 2024, a total of 346 eligible patients with breast cancer were enrolled from a multi-center trial named as Be Resilient to Breast Cancer (BRBC). The Fear of Cancer Recurrence Inventory and the Pain Catastrophizing Scale was used to collect data. A Gaussian network analysis was performed to identify the key components for FCR, PC and the connections between them. Bayesian networks were used to identify pathways of symptom activation at the symptom-level network architecture, and computer-simulated interventions were used to identify specific intervention targets.

RESULTS

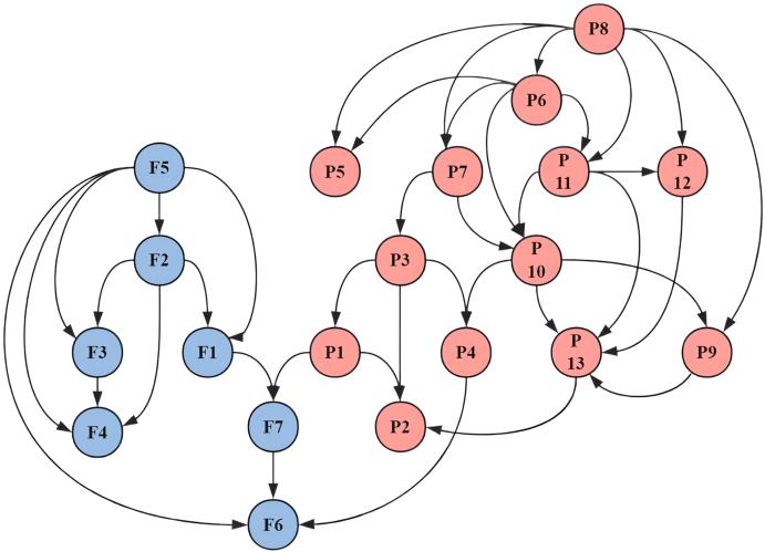
In the analysis of separate networks, "Severity" emerged as the primary component of FCR, exhibiting the highest centrality metrics. For the PC, "Terrible" was identified as the central symptom, with notable centrality values. The dimension "Assurance" and the item "Awful" served as critical bridging elements, facilitating the interaction between FCR and PC when they co-occur. Bayesian network analysis identified 36 directed edges, with "Insight" in FCR and "Anxious" in PC acting as parent nodes, indicating their influential roles in the network structure. Computer-simulated interventions demonstrated that amplifying the "Terrible" node in PC maximized the total score and network connectivity. Conversely, attenuating the "Triggers" node in FCR minimized the total score.

CONCLUSIONS

This study demonstrates that FCR and PC exhibit distinct network structures, which have their own specific core symptoms and corresponding core bridging nodes when the two coexist. This may serve as primary targets for personalized interventions for patients with breast cancer.

摘要

目的

本研究旨在识别核心症状节点,研究癌症复发恐惧(FCR)和疼痛灾难化(PC)网络中的方向性关联,并探究高影响力的干预靶点。

方法

2024年9月至11月,从一项名为“对乳腺癌保持韧性”(BRBC)的多中心试验中招募了346名符合条件的乳腺癌患者。使用癌症复发恐惧量表和疼痛灾难化量表收集数据。进行高斯网络分析以识别FCR、PC的关键组成部分及其之间的联系。使用贝叶斯网络在症状水平网络架构中识别症状激活途径,并使用计算机模拟干预来识别特定的干预靶点。

结果

在单独网络分析中,“严重程度”成为FCR的主要组成部分,表现出最高的中心性指标。对于PC,“可怕”被确定为核心症状,具有显著的中心性值。“安心”维度和“糟糕”条目是关键的桥梁元素,促进了FCR和PC同时出现时的相互作用。贝叶斯网络分析确定了36条有向边,FCR中的“洞察”和PC中的“焦虑”作为父节点,表明它们在网络结构中的影响作用。计算机模拟干预表明,增强PC中的“可怕”节点可使总分和网络连通性最大化。相反,减弱FCR中的“触发因素”节点可使总分最小化。

结论

本研究表明,FCR和PC表现出不同的网络结构,当两者共存时,它们有各自特定的核心症状和相应的核心桥梁节点。这可能作为乳腺癌患者个性化干预的主要靶点。

https://cdn.ncbi.nlm.nih.gov/pmc/blobs/4c5b/12355119/763384c8b201/gr1.jpg

文献AI研究员

20分钟写一篇综述,助力文献阅读效率提升50倍。

立即体验

用中文搜PubMed

大模型驱动的PubMed中文搜索引擎

马上搜索

文档翻译

学术文献翻译模型,支持多种主流文档格式。

立即体验