Suppr超能文献

施氮量对茶叶中氮素分配及光合作用的影响

Effects of nitrogen application amount on nitrogen distribution and photosynthesis in tea leaves.

作者信息

Li Kai, Liu Dong-Na, Li Lan-Ying, Gao Yuan, Gao Wan-Jun, Chen Bo-Wen, Luo Fan, Yao Yu

机构信息

Tea Research Institute, Tea Resources Utilization and Quality Testing Key Laboratory of Sichuan Province,Sichuan Academy of Agricultural Sciences, Chengdu, China.

出版信息

Front Plant Sci. 2025 Aug 1;16:1575317. doi: 10.3389/fpls.2025.1575317. eCollection 2025.

Abstract

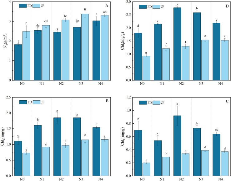
Nitrogen is the most essential nutrient for plant growth and serves as a key limiting factor in overall plant development. Photosynthesis is the primary process for energy capture in the biosphere, and its effectiveness is significantly influenced by the nitrogen content and distribution within leaves. In this experiment, the yellow tea variety "Jinfeng No. 2" (hereinafter referred to as JF) and the green tea variety "Fuding Da Bai Tea" (hereinafter referred to as FD) were utilized as experimental materials. Five nitrogen levels were established to investigate the effects of varying nitrogen levels on leaf characteristics, including photosynthetic physiology, leaf nitrogen allocation, and photosynthetic nitrogen use efficiency in tea plants. The results demonstrated that the net photosynthetic rate and photosynthetic nitrogen use efficiency of both tea cultivars initially increased and then decreased with rising nitrogen levels. As nitrogen levels gradually increased, the nitrogen content in the carboxylation and electron transport systems for both tea varieties first rose and then declined. Specifically, nitrogen content in the light capture system of FD increased initially but then decreased, while in JF, it exhibited a steady increase. Additionally, nitrogen content in the structural system increased slowly, whereas that in the storage system rose significantly. With increasing nitrogen levels, the distribution ratio of leaf nitrogen in the carboxylation and electron transport systems initially increased and then decreased; in the structural system, it first decreased and subsequently stabilized, while in the storage system, it gradually increased. In the light capture system, the two varieties displayed different trends: FD's nitrogen distribution decreased, while JF's increased. Our results indicated that within a certain range, increasing nitrogen levels can significantly enhance the photosynthetic capacity of tea plants and improve photosynthetic nitrogen use efficiency. However, at high nitrogen levels, the reduction in nitrogen content and the proportion allocated to the photosynthetic system, along with the increase in nitrogen content and proportion allocated to non-photosynthetic systems, were the primary factors contributing to the decline in net photosynthetic rate and photosynthetic nitrogen use efficiency. By increasing the nitrogen content in the carboxylation and electron transport systems, tea plants can achieve enhanced photosynthetic capacity.

摘要

氮是植物生长最必需的养分,是植物整体发育的关键限制因素。光合作用是生物圈中能量捕获的主要过程,其效率受到叶片中氮含量和分布的显著影响。本实验以黄茶品种“金凤二号”(以下简称JF)和绿茶品种“福鼎大白茶”(以下简称FD)为实验材料。设置了五个氮水平,以研究不同氮水平对茶树叶片特性的影响,包括光合生理、叶片氮分配和光合氮利用效率。结果表明,两个茶树品种的净光合速率和光合氮利用效率均随氮水平升高先增加后降低。随着氮水平逐渐升高,两个茶树品种羧化和电子传递系统中的氮含量先升高后下降。具体而言,FD光捕获系统中的氮含量先增加后降低,而JF中的氮含量则持续增加。此外,结构系统中的氮含量缓慢增加,而储存系统中的氮含量显著增加。随着氮水平的增加,羧化和电子传递系统中叶片氮的分配比例先增加后降低;在结构系统中,先降低后稳定,而在储存系统中,逐渐增加。在光捕获系统中,两个品种表现出不同的趋势:FD的氮分配减少,而JF的增加。我们的结果表明,在一定范围内,增加氮水平可以显著提高茶树的光合能力,提高光合氮利用效率。然而,在高氮水平下,光合系统中氮含量和分配比例的降低,以及非光合系统中氮含量和分配比例的增加,是导致净光合速率和光合氮利用效率下降的主要因素。通过增加羧化和电子传递系统中的氮含量,茶树可以实现光合能力的增强。

https://cdn.ncbi.nlm.nih.gov/pmc/blobs/b95a/12354480/b44b2f187d39/fpls-16-1575317-g001.jpg

文献AI研究员

20分钟写一篇综述,助力文献阅读效率提升50倍。

立即体验

用中文搜PubMed

大模型驱动的PubMed中文搜索引擎

马上搜索

文档翻译

学术文献翻译模型,支持多种主流文档格式。

立即体验