Zhao Yan, Wang Zhongyuan, Hu Feifei, Guo Zhibin, Gong Jinling, Li Xuemei, Yang Deguo, Zhu Tingbing
Key Laboratory of Freshwater Biodiversity Conservation, Ministry of Agriculture and Rural Affairs of China, Yangtze River Fisheries Research Institute Chinese Academy of Fisheries Science Wuhan China.
Freshwater Fisheries Research Center Chinese Academy of Fishery Sciences Wuxi China.
Ecol Evol. 2025 Aug 14;15(8):e72002. doi: 10.1002/ece3.72002. eCollection 2025 Aug.
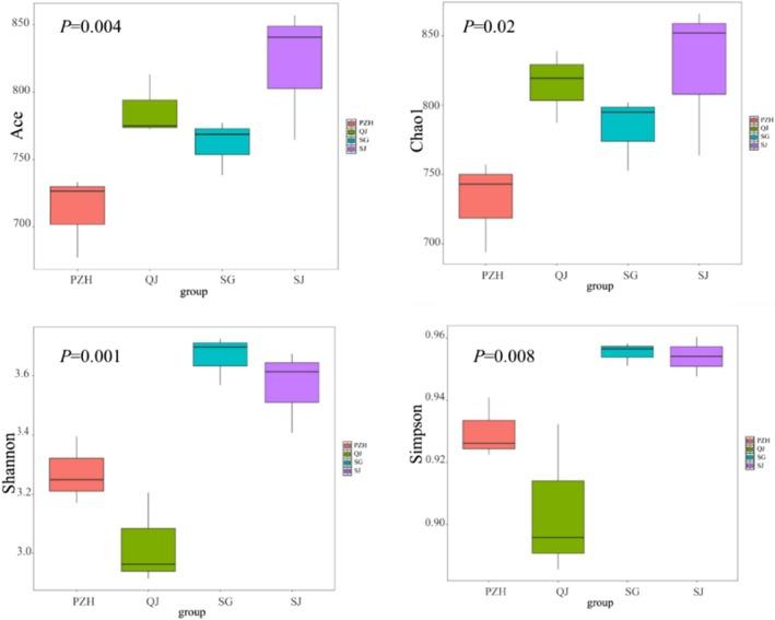
Fish diversity is essential for maintaining the balance of aquatic ecosystems, particularly in rivers impacted by overfishing and hydropower projects, such as the Jinsha river, the upstream segment of the Yangtze river. During initial phases (August and November, 2023) of the 10-year fishing ban in the Yangtze river basin, we investigated fish diversity, seasonal variations, and their correlation with environmental factors in the Jinsha river using environmental DNA (eDNA) metabarcoding. Utilizing two pairs of 12S rRNA primers, MiFish-U and AcMDB07, we identified 61 fish species across 5 orders, 17 families, and 52 genera, including 4 national protected and 7 invasive alien fish. Among them, Cypriniformes constituted the predominant group within the fish community, accounting for 65.6%. This finding aligns with the results from a recent fish catch study, which recorded 68 species of fish belonging to 4 orders, 15 families, and 48 genera, including 4 national protected species and 8 invasive alien fish. The alpha diversity analysis revealed compositional differences in the fish community across various regions and seasons. Furthermore, key environmental factors, such as water temperature, dissolved oxygen, nitrate nitrogen, total suspended solids, and conductivity, were found to be highly correlated with fish diversity in the Jinsha river. Consequently, we provided detailed seasonal data on fish diversity and its correlations with environmental factors, which will aid in the systematic management and restoration of fisheries and the assessment of the 10-year fishing ban in the Jinsha river.
鱼类多样性对于维持水生生态系统的平衡至关重要,特别是在受到过度捕捞和水电项目影响的河流中,例如长江上游的金沙江。在长江流域十年禁渔的初始阶段(2023年8月和11月),我们利用环境DNA(eDNA)宏条形码技术调查了金沙江的鱼类多样性、季节变化及其与环境因素的相关性。使用两对12S rRNA引物MiFish-U和AcMDB07,我们鉴定出了5目、17科、52属的61种鱼类,其中包括4种国家保护鱼类和7种外来入侵鱼类。其中,鲤形目是鱼类群落中的主要类群,占比65.6%。这一发现与最近的一项鱼类捕捞研究结果一致,该研究记录了4目、15科、48属的68种鱼类,其中包括4种国家保护鱼类和8种外来入侵鱼类。α多样性分析揭示了不同区域和季节鱼类群落的组成差异。此外,发现水温、溶解氧、硝酸盐氮、总悬浮固体和电导率等关键环境因素与金沙江的鱼类多样性高度相关。因此,我们提供了鱼类多样性及其与环境因素相关性的详细季节性数据,这将有助于金沙江渔业的系统管理和恢复以及对十年禁渔的评估。