Suppr超能文献

1990年至2021年全球、区域和国家喉癌负担及健康不平等分析,并对2022年至2040年进行预测。

Global, regional, and national larynx cancer burden and health inequality analysis from 1990 to 2021 with a prediction from 2022 to 2040.

作者信息

Jiang Junjie, Xia Zhongfang, Yao Wei

机构信息

Department of Otolaryngology, Wuhan Children's Hospital, Tongji Medical College, Huazhong University of Science and Technology, Wuhan, China.

出版信息

Front Oncol. 2025 Jul 18;15:1617613. doi: 10.3389/fonc.2025.1617613. eCollection 2025.

Abstract

BACKGROUND

To assess the global burden and health inequalities of laryngeal cancer from 1990 to 2021 and to project future trends up to 2040.

METHODS

Using the 2021 Global Burden of Disease (GBD) data, this study analyzed trends in prevalence (ASPR), incidence (ASIR), mortality (ASDR), and disability-adjusted life years (DALYs) of laryngeal cancer from 2009 to 2021, with annual percentage change (EAPC) estimates. Inequalities were assessed using the Slope Index of Inequality (SII) and Concentration Index (CI), while future projections to 2040 were made using the Bayesian Age-Period-Cohort (BAPC) model.

RESULTS

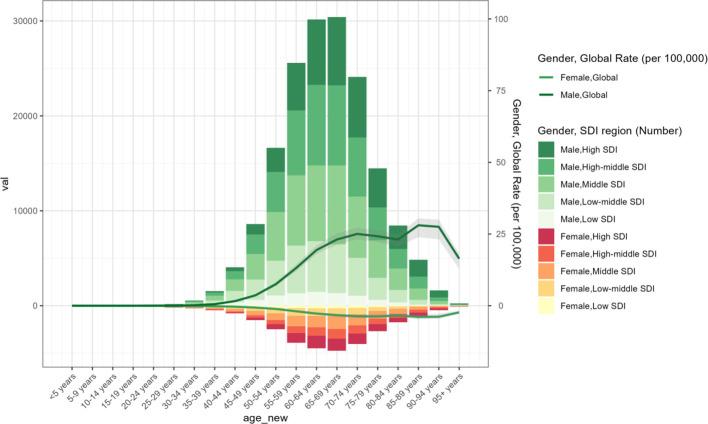
In 2021, there were approximately 1.1 million global laryngeal cancer cases (an age-standardized prevalence rate (ASPR) of 12.56 per 100,000, 95% UI: 11.76-13.49). The age-standardized incidence rate (ASIR), the age-standardized mortality rate (ASDR), and disability-adjusted life years (DALYs) rates were 2.29, 1.35, and 35.8 per 100,000, respectively. Significant disparities were observed across regions and SDI levels: high SDI regions had the highest incidence rates, while middle-low SDI regions experienced the greatest mortality and DALY burden. Central Europe had the highest ASPR, ASIR, and DALY rates, while the Caribbean reported the highest ASDR. From 1990 to 2021, the DALYs Slope Index of Inequality (SII) dropped from 37.75 (95% CI: 26.92-48.58) to -11.57 (95% CI: -22.14 to -1.00), indicating improved equity in health outcomes between high- and low-income countries.

CONCLUSIONS

While the global burden of laryngeal cancer is projected to decline by 2040, significant health disparities persist. Addressing these inequalities will require sustained efforts, including equitable resource allocation, improved access to healthcare, and targeted public health interventions.

摘要

背景

评估1990年至2021年喉癌的全球负担和健康不平等状况,并预测到2040年的未来趋势。

方法

利用2021年全球疾病负担(GBD)数据,本研究分析了2009年至2021年喉癌的患病率(年龄标准化患病率,ASPR)、发病率(年龄标准化发病率,ASIR)、死亡率(年龄标准化死亡率,ASDR)和伤残调整生命年(DALYs)趋势,并估计了年度百分比变化(EAPC)。使用不平等斜率指数(SII)和集中指数(CI)评估不平等状况,同时使用贝叶斯年龄-时期-队列(BAPC)模型对2040年进行未来预测。

结果

2021年,全球喉癌病例约110万例(年龄标准化患病率为每10万人12.56例,95%不确定区间:11.76 - 13.49)。年龄标准化发病率(ASIR)、年龄标准化死亡率(ASDR)和伤残调整生命年(DALYs)率分别为每10万人2.29例、1.35例和35.8例。各地区和社会人口指数(SDI)水平之间存在显著差异:高SDI地区发病率最高,而中低SDI地区死亡率和DALYs负担最重。中欧的ASPR、ASIR和DALYs率最高,而加勒比地区的ASDR最高。1990年至2021年,DALYs不平等斜率指数(SII)从37.75(95%可信区间:26.92 - 48.58)降至 - 11.57(95%可信区间: - 22.14至 - 1.00),表明高收入和低收入国家之间的健康结果公平性有所改善。

结论

虽然预计到2040年喉癌的全球负担将下降,但显著的健康差距仍然存在。解决这些不平等问题需要持续努力,包括公平分配资源、改善医疗服务可及性以及有针对性的公共卫生干预措施。

https://cdn.ncbi.nlm.nih.gov/pmc/blobs/96de/12351386/7c6b082b858c/fonc-15-1617613-g001.jpg

文献检索

告别复杂PubMed语法,用中文像聊天一样搜索,搜遍4000万医学文献。AI智能推荐,让科研检索更轻松。

立即免费搜索

文件翻译

保留排版,准确专业,支持PDF/Word/PPT等文件格式,支持 12+语言互译。

免费翻译文档

深度研究

AI帮你快速写综述,25分钟生成高质量综述,智能提取关键信息,辅助科研写作。

立即免费体验