• 文献检索
  • 文档翻译
  • 深度研究
  • 学术资讯
  • Suppr Zotero 插件Zotero 插件
  • 邀请有礼
  • 套餐&价格
  • 历史记录
应用&插件
Suppr Zotero 插件Zotero 插件浏览器插件Mac 客户端Windows 客户端微信小程序
定价
高级版会员购买积分包购买API积分包
服务
文献检索文档翻译深度研究API 文档MCP 服务
关于我们
关于 Suppr公司介绍联系我们用户协议隐私条款
关注我们

Suppr 超能文献

核心技术专利:CN118964589B侵权必究
粤ICP备2023148730 号-1Suppr @ 2026

文献检索

告别复杂PubMed语法,用中文像聊天一样搜索,搜遍4000万医学文献。AI智能推荐,让科研检索更轻松。

立即免费搜索

文件翻译

保留排版,准确专业,支持PDF/Word/PPT等文件格式,支持 12+语言互译。

免费翻译文档

深度研究

AI帮你快速写综述,25分钟生成高质量综述,智能提取关键信息,辅助科研写作。

立即免费体验

交通相关空气污染、气候因素和绿化程度对婴儿呼吸道疾病风险的综合影响。

Combined effects of traffic-related air pollution, climate factors, and greenness on respiratory disease risk in infants.

作者信息

Lee Ji Young, Lee Seulbi, Lamichhane Dirga Kumar, Shrestha Sabina, Kim Eunji, Oh Jongmin, Lee Whanhee, Park Myung-Sook, Hong Yun-Chul, Park Hyesook, Kim Yangho, Ha Mina, Ha Eunhee, Lee Jin Hwa

机构信息

Inflammation-Cancer Microenvironment Research Center, College of Medicine, Ewha Womans University, Seoul, South Korea.

Big Data Department, National Health Insurance Service, Wonju, South Korea.

出版信息

Sci Rep. 2025 Aug 25;15(1):31250. doi: 10.1038/s41598-025-16838-0.

DOI:10.1038/s41598-025-16838-0
PMID:
40854976
原文链接:https://pmc.ncbi.nlm.nih.gov/articles/PMC12379244/
Abstract

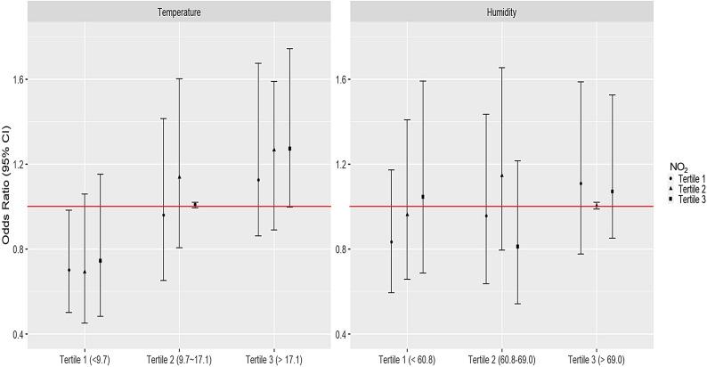
Prenatal exposure to climate factors, air pollution, and green space has been linked to respiratory diseases in infants. However, the role of the combined effects of exposure to these factors on respiratory ailments remains unclear. Here we investigate the association of combined exposure to traffic-related air pollution (TRAP), climate factors, and green space during the prenatal period with respiratory diseases in infants. We enrolled 454 participants from the ongoing prospective birth cohort known as the Mothers and Children's Environmental Health study. Data on infant respiratory diseases were collected from parents or guardians. Average exposure values of TRAP, climate factors, and green spaces for the study population were calculated based on geocoded residential addresses. Multiple logistic regression and quantile-based g-calculation models were utilized to examine the association of exposure to environmental factors and green space with respiratory diseases. The combined exposure to climate factors and TRAP during the first trimester of pregnancy was associated with an increased risk of respiratory diseases in infants. High levels of particulate matter with a diameter less than 2.5 μm (PM) and temperature increased the risk of respiratory diseases (adjusted odds ratio (AOR): 1.615, 95% confidence interval (CI): 1.001, 2.658). Additionally, the risk of respiratory diseases from exposure to air pollution and temperature was associated with lower tertiles of residential green spaces. The AOR was 1.064 (95% CI: 1.001, 1.133) per 1 µg/m increase in PM, 1.057 (95% CI: 1.001, 1.116) per 1 ppb increase in NO, and 1.108 (95% CI: 1.001, 1.176) per 1 ℃ increase in temperature. Incorporating green space into the analysis of joint exposure to climate factors and air pollution reduced the risk of respiratory disease. This study proposes that combined exposures to climate factors, TRAP, and green spaces during pregnancy are associated with infant respiratory diseases. Fewer residential green spaces could enhance the association of climate factors and air pollution with respiratory diseases.

摘要

产前暴露于气候因素、空气污染和绿地环境与婴儿呼吸系统疾病有关。然而,这些因素的综合暴露对呼吸系统疾病的作用仍不明确。在此,我们调查了产前暴露于交通相关空气污染(TRAP)、气候因素和绿地环境与婴儿呼吸系统疾病之间的关联。我们从正在进行的前瞻性出生队列“母婴环境健康研究”中招募了454名参与者。婴儿呼吸系统疾病的数据由父母或监护人提供。根据地理编码的居住地址计算研究人群的TRAP、气候因素和绿地环境的平均暴露值。采用多元逻辑回归和基于分位数的g计算模型来检验环境因素暴露和绿地环境与呼吸系统疾病之间的关联。孕期头三个月气候因素和TRAP的综合暴露与婴儿呼吸系统疾病风险增加有关。直径小于2.5微米的颗粒物(PM)和气温升高会增加呼吸系统疾病风险(调整优势比(AOR):1.615,95%置信区间(CI):1.001,2.658)。此外,空气污染和气温暴露导致的呼吸系统疾病风险与居住绿地较低的三分位数有关。每增加1微克/立方米的PM,AOR为1.064(95%CI:1.001,1.133);每增加1 ppb的NO,AOR为1.057(95%CI:1.001,1.116);每升高1℃的温度,AOR为1.108(95%CI:1.001,1.176)。将绿地环境纳入气候因素和空气污染联合暴露的分析中可降低呼吸系统疾病风险。本研究表明,孕期气候因素、TRAP和绿地环境的综合暴露与婴儿呼吸系统疾病有关。居住绿地较少可能会增强气候因素和空气污染与呼吸系统疾病之间的关联。

https://cdn.ncbi.nlm.nih.gov/pmc/blobs/e7dc/12379244/1996103a50ac/41598_2025_16838_Fig3_HTML.jpg
https://cdn.ncbi.nlm.nih.gov/pmc/blobs/e7dc/12379244/9feb082fd8ab/41598_2025_16838_Fig1_HTML.jpg
https://cdn.ncbi.nlm.nih.gov/pmc/blobs/e7dc/12379244/4cac093dcd68/41598_2025_16838_Fig2_HTML.jpg
https://cdn.ncbi.nlm.nih.gov/pmc/blobs/e7dc/12379244/1996103a50ac/41598_2025_16838_Fig3_HTML.jpg
https://cdn.ncbi.nlm.nih.gov/pmc/blobs/e7dc/12379244/9feb082fd8ab/41598_2025_16838_Fig1_HTML.jpg
https://cdn.ncbi.nlm.nih.gov/pmc/blobs/e7dc/12379244/4cac093dcd68/41598_2025_16838_Fig2_HTML.jpg
https://cdn.ncbi.nlm.nih.gov/pmc/blobs/e7dc/12379244/1996103a50ac/41598_2025_16838_Fig3_HTML.jpg

相似文献

1
Combined effects of traffic-related air pollution, climate factors, and greenness on respiratory disease risk in infants.交通相关空气污染、气候因素和绿化程度对婴儿呼吸道疾病风险的综合影响。
Sci Rep. 2025 Aug 25;15(1):31250. doi: 10.1038/s41598-025-16838-0.
2
Analysis of the effects of air pollutants and meteorological factors on upper respiratory tract infection outpatients in Gansu Province.甘肃省空气污染物及气象因素对上呼吸道感染门诊患者的影响分析
Environ Sci Process Impacts. 2025 Jul 21. doi: 10.1039/d4em00748d.
3
Association Between Individual Air Pollution (PM, PM) Exposure and Adverse Pregnancy Outcomes in Korea: A Multicenter Prospective Cohort, Air Pollution on Pregnancy Outcome (APPO) Study.个体空气污染(PM、PM)暴露与韩国不良妊娠结局的关系:一项多中心前瞻性队列研究,空气污染与妊娠结局研究(APPO)。
J Korean Med Sci. 2024 Apr 8;39(13):e131. doi: 10.3346/jkms.2024.39.e131.
4
Association Between Ambient Air Pollution and Birth Weight by Maternal Individual- and Neighborhood-Level Stressors.大气污染与母婴个体和社区水平应激源相关的出生体重。
JAMA Netw Open. 2022 Oct 3;5(10):e2238174. doi: 10.1001/jamanetworkopen.2022.38174.
5
Fine Particulate Matter, Its Constituents, and Spontaneous Preterm Birth.细颗粒物、其成分与自发性早产。
JAMA Netw Open. 2024 Nov 4;7(11):e2444593. doi: 10.1001/jamanetworkopen.2024.44593.
6
Assessing the impact of meteorological factors and air pollution on respiratory disease mortality rates: a random forest model analysis (2017-2021).评估气象因素和空气污染对呼吸疾病死亡率的影响:随机森林模型分析(2017-2021 年)。
Sci Rep. 2024 Oct 19;14(1):24535. doi: 10.1038/s41598-024-74440-2.
7
Associations between life course exposure to ambient air pollution with cognition and later-life brain structure: a population-based study of the 1946 British Birth Cohort.生命历程中暴露于环境空气污染与认知及晚年脑结构之间的关联:基于1946年英国出生队列的一项人群研究。
Lancet Healthy Longev. 2025 Jul 16:100724. doi: 10.1016/j.lanhl.2025.100724.
8
Air pollution during the perinatal period and neurodevelopment in children: A national population study in Taiwan.围产期空气污染与儿童神经发育:台湾全国性人口研究。
Dev Med Child Neurol. 2023 Jun;65(6):783-791. doi: 10.1111/dmcn.15430. Epub 2022 Nov 9.
9
Seasonal extreme temperatures and short-term fine particulate matter increases pediatric respiratory healthcare encounters in a sparsely populated region of the intermountain western United States.季节性极端温度和短期细颗粒物增加了美国山间西部地区人口稀少地区儿科呼吸道保健的就诊次数。
Environ Health. 2024 Apr 15;23(1):40. doi: 10.1186/s12940-024-01082-2.
10
The Association Between Air Pollution and Lung Function in Sarcoidosis and Implications for Health Disparities.结节病中空气污染与肺功能的关联及其对健康差异的影响。
Chest. 2025 Feb;167(2):507-517. doi: 10.1016/j.chest.2024.08.049. Epub 2024 Sep 17.

本文引用的文献

1
Extreme temperatures exacerbated oxidative stress and airway inflammation in a mouse model of allergic asthma.在过敏性哮喘小鼠模型中,极端温度加剧了氧化应激和气道炎症。
Allergy. 2024 May;79(5):1333-1335. doi: 10.1111/all.15883. Epub 2023 Sep 7.
2
The complex role of air pollution on the association between greenness and respiratory mortality: Insight from a large cohort, 2009-2020.空气污染对绿化与呼吸死亡率相关性的复杂作用:来自大型队列研究的新视角,2009-2020 年。
Sci Total Environ. 2023 Nov 15;899:165588. doi: 10.1016/j.scitotenv.2023.165588. Epub 2023 Jul 18.
3
Traffic-Related Air Pollution (TRAP) in relation to respiratory symptoms and lung function of school-aged children in Kuala Lumpur.
吉隆坡学龄儿童的交通相关空气污染(TRAP)与呼吸道症状及肺功能的关系
Int J Environ Health Res. 2024 Mar;34(3):1384-1396. doi: 10.1080/09603123.2023.2211020. Epub 2023 May 9.
4
Climate change impacts on children's respiratory health.气候变化对儿童呼吸健康的影响。
Curr Opin Pediatr. 2023 Jun 1;35(3):350-355. doi: 10.1097/MOP.0000000000001253. Epub 2023 Apr 14.
5
Combined effect of preconceptional and prenatal exposure to air pollution and temperature on childhood pneumonia: A case-control study.孕前及孕期暴露于空气污染和温度对儿童肺炎的综合影响:一项病例对照研究。
Environ Res. 2023 Jan 1;216(Pt 4):114806. doi: 10.1016/j.envres.2022.114806. Epub 2022 Nov 12.
6
The protective effect of green space on heat-related respiratory hospitalization among children under 5 years of age in Hanoi, Vietnam.越南河内 5 岁以下儿童因热相关呼吸道住院的绿地保护效应。
Environ Sci Pollut Res Int. 2022 Oct;29(49):74197-74207. doi: 10.1007/s11356-022-21064-6. Epub 2022 May 30.
7
Effects of air pollution and green spaces on impaired lung function in children: a case-control study.空气污染和绿色空间对儿童肺功能受损的影响:病例对照研究。
Environ Sci Pollut Res Int. 2022 Feb;29(8):11907-11919. doi: 10.1007/s11356-021-16554-y. Epub 2021 Sep 23.
8
Air pollution and children's health-a review of adverse effects associated with prenatal exposure from fine to ultrafine particulate matter.空气污染与儿童健康-细颗粒物至超细颗粒物的产前暴露相关的不良影响综述。
Environ Health Prev Med. 2021 Jul 12;26(1):72. doi: 10.1186/s12199-021-00995-5.
9
Maternal exposure to PM during pregnancy and asthma risk in early childhood: consideration of phases of fetal lung development.孕期母亲暴露于细颗粒物与幼儿期哮喘风险:胎儿肺发育阶段的考量
Environ Epidemiol. 2021 Apr;5(2). doi: 10.1097/ee9.0000000000000130.
10
Adverse Environmental Exposure and Respiratory Health in Children.不良环境暴露与儿童呼吸健康
Pediatr Clin North Am. 2021 Feb;68(1):277-291. doi: 10.1016/j.pcl.2020.09.018.