Suppr超能文献

基于β-壳聚糖和苯乙烯共聚物衍生物的功能化纳米颗粒用于多奈哌齐递送。

Functionalized nanoparticles based on β-chitosan and styrene copolymer derivative for donepezil delivery.

作者信息

Helaly Fahima M, Soliman Ahmed A F, Ali Eman AboBakr

机构信息

Polymers and Pigments Department, Chemical Industries Research Institute, National Research Centre (Scopus Affiliation ID 60014618), Dokki, Giza, 12622 Egypt.

Department of Pharmacognosy, Pharmaceutical and Drug Industries Institute, National Research Centre (Scopus Affiliation ID 60014618), Dokki, Giza, 12622 Egypt.

出版信息

3 Biotech. 2025 Sep;15(9):314. doi: 10.1007/s13205-025-04425-z. Epub 2025 Aug 25.

Abstract

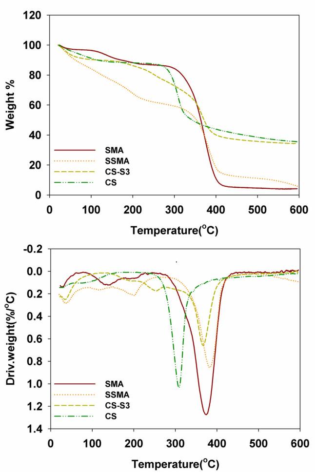
Developing a drug delivery strategy that can cross the blood-brain barrier is crucial to effective neurological treatment. In this work, a new strategy was introduced for efficient drug delivery of Donepezil based on the preparation of polyelectrolyte complexes (PEC) nanogel from β-chitosan (CS) and the prepared sulfonated styrene-maleic anhydride (S-SMA). First, low-molecular-weight SMA was prepared. Then, sulphonation of SMA was carried out. Three PEC nanoparticles were prepared by mixing three different ratios of S-SMA with β-chitosan. The structure and characteristics of the nanoparticles were thoroughly investigated. Varying S-SMA content (donated CS-S1, CS-S2, and CS-S3) for fixed a β-CS content, the surface charge and average size of the nanoparticles were tunable Donepezil hydrochloride (DH) was encapsulated successfully in the nanoparticles CS-S3 and donated as CS-S3-DH. Additionally, the transmission electron microscopy (TEM) images revealed that almost 50% of the nanoparticles particles had diameters of 27 ± 0.1 and 111 ± 0.4 nm for CS-S3 and CS-S3-DH, respectively. The in vitro drug release study indicates a sustained release of DH for 72 h. In addition, the in vitro acetylcholinesterase (AChE) inhibitory was investigated. The result showed that AChE inhibitory percentages were 16.5 and 63.9% for CS-S3 and CS-S3-DH, respectively.

摘要

开发一种能够穿越血脑屏障的药物递送策略对于有效的神经治疗至关重要。在这项工作中,基于由β-壳聚糖(CS)和制备的磺化苯乙烯-马来酸酐(S-SMA)制备聚电解质复合物(PEC)纳米凝胶,引入了一种用于多奈哌齐高效药物递送的新策略。首先,制备了低分子量的SMA。然后,对SMA进行磺化。通过将三种不同比例的S-SMA与β-壳聚糖混合制备了三种PEC纳米颗粒。对纳米颗粒的结构和特性进行了深入研究。在固定β-CS含量的情况下改变S-SMA含量(分别为CS-S1、CS-S2和CS-S3),纳米颗粒的表面电荷和平均尺寸是可调的。盐酸多奈哌齐(DH)成功封装在纳米颗粒CS-S3中,并命名为CS-S3-DH。此外,透射电子显微镜(TEM)图像显示,对于CS-S3和CS-S3-DH,分别有近50%的纳米颗粒直径为27±0.1和111±0.4nm。体外药物释放研究表明DH持续释放72小时。此外,还研究了体外乙酰胆碱酯酶(AChE)抑制作用。结果表明,CS-S3和CS-S3-DH的AChE抑制率分别为16.5%和63.9%。

https://cdn.ncbi.nlm.nih.gov/pmc/blobs/adf7/12378271/d927a18fec3e/13205_2025_4425_Sch1_HTML.jpg

文献检索

告别复杂PubMed语法,用中文像聊天一样搜索,搜遍4000万医学文献。AI智能推荐,让科研检索更轻松。

立即免费搜索

文件翻译

保留排版,准确专业,支持PDF/Word/PPT等文件格式,支持 12+语言互译。

免费翻译文档

深度研究

AI帮你快速写综述,25分钟生成高质量综述,智能提取关键信息,辅助科研写作。

立即免费体验