Suppr超能文献

急性髓系白血病中阿糖胞苷耐药的基因表达见解:细胞因子的作用

Gene Expression Insights into Cytarabine Resistance in Acute Myeloid Leukemia: The Role of Cytokines.

作者信息

Lee Chieh-Ming, Shih Yin-Hwa, Chen I-Chen, Shieh Tzong-Ming, Yeh Chung-Yu, Tseng Yu-Hsin

机构信息

Department of Pediatrics, Kaohsiung Medical University Hospital, Kaohsiung Medical University, Kaohsiung, Taiwan, R.O.C.

Department of Healthcare Administration, Asia University, Taichung, Taiwan, R.O.C.

出版信息

Cancer Genomics Proteomics. 2025 Sep-Oct;22(5):738-749. doi: 10.21873/cgp.20533.

Abstract

BACKGROUND/AIM: Cytarabine is the main chemotherapy agent used to treat acute myeloid leukemia (AML), but drug resistance remains a major challenge. Imbalances in cytokine secretion are known to play a role in the survival and proliferation of AML blast cells. While numerous studies have investigated cytokine secretion in AML, the precise role of cytokines in the pathogenesis of AML remains unclear. This study aimed to compare cytokine-related gene expression in parental and resistant HL60 cells and assess their prognostic relevance in AML.

MATERIALS AND METHODS

This study compared gene expression profiles of parental HL60 and R-HL60 cells by analyzing gene expression arrays. Further, the correlation between the differential expression genes (DEGs) and overall survival in patients with AML was obtained from the Cancer Genome Atlas (TCGA) database, and the expression of genes was validated by quantitative PCR (QPCR).

RESULTS

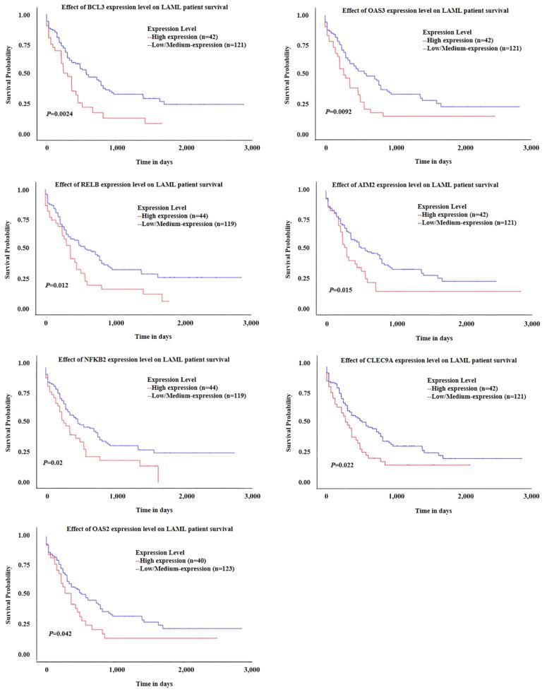
Our results showed that twenty-six genes involved in cytokine regulation were significantly different between HL60 and R-HL60 cells. The DEGs associated with cytokine production between parental HL60 and R-HL60 was subjected to a functional enrichment analysis by ShinyGO. The expression of , and involved in the regulation of cytokine production was associated with survival probability of AML patient in the TCGA database. Among them, the expression of , and genes in R-HL60 cells was higher than that in HL-60 cells.

CONCLUSION

This study identified key genes involved in cytokine dysregulation in cytarabine-resistant HL60 cells, providing potential targets for overcoming drug resistance in AML. These findings offer new avenues for the development of more effective therapies for relapsed or refractory AML patients.

摘要

背景/目的:阿糖胞苷是治疗急性髓系白血病(AML)的主要化疗药物,但耐药性仍然是一个重大挑战。已知细胞因子分泌失衡在AML原始细胞的存活和增殖中起作用。虽然众多研究调查了AML中的细胞因子分泌情况,但细胞因子在AML发病机制中的精确作用仍不清楚。本研究旨在比较亲本和耐药HL60细胞中细胞因子相关基因的表达,并评估它们在AML中的预后相关性。

材料和方法

本研究通过分析基因表达阵列比较了亲本HL60和R-HL60细胞的基因表达谱。此外,从癌症基因组图谱(TCGA)数据库中获得AML患者差异表达基因(DEG)与总生存期之间的相关性,并通过定量PCR(QPCR)验证基因表达。

结果

我们的结果显示,HL60和R-HL60细胞之间26个参与细胞因子调节的基因存在显著差异。通过ShinyGO对亲本HL60和R-HL60之间与细胞因子产生相关的DEG进行功能富集分析。TCGA数据库中参与细胞因子产生调节的 、 和 的表达与AML患者的生存概率相关。其中,R-HL60细胞中 、 和 基因的表达高于HL-60细胞。

结论

本研究确定了阿糖胞苷耐药HL60细胞中参与细胞因子失调的关键基因,为克服AML耐药性提供了潜在靶点。这些发现为复发或难治性AML患者开发更有效疗法提供了新途径。

https://cdn.ncbi.nlm.nih.gov/pmc/blobs/c013/12402712/424ef93f9d37/cgp-22-741-g0001.jpg

文献AI研究员

20分钟写一篇综述,助力文献阅读效率提升50倍。

立即体验

用中文搜PubMed

大模型驱动的PubMed中文搜索引擎

马上搜索

文档翻译

学术文献翻译模型,支持多种主流文档格式。

立即体验