Suppr超能文献

使用甲硝唑治疗的犬类粪便接种物对膳食纤维进行体外发酵特性研究。

In vitro fermentation characteristics of dietary fibers using fecal inocula from dogs treated with metronidazole.

作者信息

Martini Sara E, Geary Elizabeth L, Oba Patrícia M, Bauer Laura L, Dilger Ryan N, Swanson Kelly S

机构信息

Department of Animal Sciences, University of Illinois Urbana-Champaign, Urbana, IL, 61801, USA.

Division of Nutritional Sciences, University of Illinois Urbana-Champaign, Urbana, IL, 61801, USA.

出版信息

Anim Microbiome. 2025 Sep 1;7(1):93. doi: 10.1186/s42523-025-00459-z.

Abstract

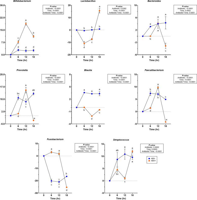
Metronidazole is a potent antibiotic often prescribed to treat gastrointestinal enteropathies, but is known to induce loose stools, negatively alter the fecal microbiome, and affect fecal metabolites. Dietary intervention may aid in the recovery following antibiotic cessation, but little research has been conducted regarding the potential of fiber utilization for microbial recovery in canines. Using an in vitro fermentation assay, the objective of this study was to investigate the fermentation characteristics of dietary fibers using fecal inocula from dogs treated with metronidazole. Four healthy male beagles were fed a commercial kibble diet for 2 weeks, then administered metronidazole (20 mg/kg body weight twice a day) for 2 weeks. Fresh fecal samples were collected at weeks 2 and 4, stabilized in a 20% glycerol solution, and then frozen. For the in vitro fermentation experiment, feces from each time point (ABX-= pre-metronidazole collection; ABX+ = post-metronidazole collection) were thawed, diluted in an anaerobic diluting solution, and used to inoculate tubes. Tubes contained sterile medium and either cellulose, pectin, beet pulp, or chicory pulp fiber to test fermentation potential, with additional tubes used without fiber inclusion for blank corrections. At baseline (0 h) and after 6, 12, and 18 h of fermentation, pH, short-chain fatty acid (SCFA) production, and microbiota were measured. Data was analyzed within each fiber using the Mixed Models procedure of SAS version 9.4, with effects of antibiotic treatment, time and treatment*time interactions reported, accounting for the random effect across replicates. As expected, antibiotic administration had large effects on fiber fermentability characteristics, slowing pH reduction, lowering SCFA production, and altering SCFA molar ratios. Butyrate production was minimal among all fibers tested in ABX+ inocula tubes. Additionally, ABX+ inoculum lowered bacterial alpha diversity, affected bacterial beta diversity and the relative abundances of over 50 bacterial genera. Increased Bifidobacterium and Lactobacillus was observed in tubes containing ABX + inoculum (P < 0.0001) during pectin or beet pulp fermentation. Additionally, increased Faecalibacterium, Streptococcus, and Bacteroides was observed in tubes containing ABX- inoculum during chicory pulp fermentation (P < 0.0001). Beta diversity plots during beet pulp and chicory pulp fermentation demonstrated positive shifts toward ABX- inoculum tubes, but pectin fermentation did not yield the same shifts. The data presented here demonstrate that metronidazole administration can elicit unique responses to various fiber sources by reducing microbial diversity and negatively altering microbial fermentative activity (i.e., lower SCFA production). Both beet pulp and chicory pulp increased SCFA production and microbial diversity over time, with ABX+ inoculum tubes approaching that of ABX- inoculum tubes after 18 h of fermentation. More research is necessary but this data suggests that functional fibers promote microbial activity and recovery, and shed light on the potential effects of functional fibers in antibiotic-treated dogs.

摘要

甲硝唑是一种常用于治疗胃肠道疾病的强效抗生素,但已知它会导致腹泻、对粪便微生物群产生负面影响并影响粪便代谢物。饮食干预可能有助于抗生素停用后的恢复,但关于犬类利用纤维促进微生物恢复的潜力,相关研究较少。本研究采用体外发酵试验,旨在利用甲硝唑治疗犬的粪便接种物,研究膳食纤维的发酵特性。四只健康的雄性比格犬先食用商业颗粒饲料2周,然后给予甲硝唑(20毫克/千克体重,每天两次)2周。在第2周和第4周收集新鲜粪便样本,保存在20%甘油溶液中,然后冷冻。在体外发酵实验中,将每个时间点(ABX-=甲硝唑给药前收集;ABX+=甲硝唑给药后收集)的粪便解冻,在厌氧稀释液中稀释,用于接种试管。试管中含有无菌培养基和纤维素、果胶、甜菜粕或菊苣粕纤维,以测试发酵潜力,另外设置不含纤维的试管用于空白校正。在基线(0小时)以及发酵6、12和18小时后,测量pH值、短链脂肪酸(SCFA)产量和微生物群。使用SAS 9.4版的混合模型程序对每种纤维的数据进行分析,报告抗生素治疗、时间和治疗*时间相互作用的影响,并考虑重复实验中的随机效应。正如预期的那样,抗生素给药对纤维发酵特性有很大影响,减缓了pH值下降,降低了SCFA产量,并改变了SCFA摩尔比。在ABX+接种物试管中测试的所有纤维中,丁酸盐产量最低。此外,ABX+接种物降低了细菌的α多样性,影响了细菌的β多样性以及50多个细菌属的相对丰度。在果胶或甜菜粕发酵过程中,含有ABX+接种物的试管中观察到双歧杆菌和乳酸杆菌增加(P<0.0001)。此外,在菊苣粕发酵过程中,含有ABX-接种物的试管中观察到粪杆菌、链球菌和拟杆菌增加(P<0.0001)。甜菜粕和菊苣粕发酵过程中的β多样性图显示向ABX-接种物试管有正向变化,但果胶发酵没有产生相同的变化。此处呈现的数据表明,甲硝唑给药可通过降低微生物多样性和对微生物发酵活性产生负面影响(即降低SCFA产量),引发对各种纤维来源的独特反应。随着时间的推移,甜菜粕和菊苣粕均增加了SCFA产量和微生物多样性,ABX+接种物试管在发酵18小时后接近ABX-接种物试管。虽然还需要更多研究,但这些数据表明功能性纤维可促进微生物活性和恢复,并揭示了功能性纤维在抗生素治疗犬中的潜在作用。

https://cdn.ncbi.nlm.nih.gov/pmc/blobs/fed8/12403923/ac43277835c5/42523_2025_459_Fig1_HTML.jpg

文献检索

告别复杂PubMed语法,用中文像聊天一样搜索,搜遍4000万医学文献。AI智能推荐,让科研检索更轻松。

立即免费搜索

文件翻译

保留排版,准确专业,支持PDF/Word/PPT等文件格式,支持 12+语言互译。

免费翻译文档

深度研究

AI帮你快速写综述,25分钟生成高质量综述,智能提取关键信息,辅助科研写作。

立即免费体验