• 文献检索
  • 文档翻译
  • 深度研究
  • 学术资讯
  • Suppr Zotero 插件Zotero 插件
  • 邀请有礼
  • 套餐&价格
  • 历史记录
应用&插件
Suppr Zotero 插件Zotero 插件浏览器插件Mac 客户端Windows 客户端微信小程序
定价
高级版会员购买积分包购买API积分包
服务
文献检索文档翻译深度研究API 文档MCP 服务
关于我们
关于 Suppr公司介绍联系我们用户协议隐私条款
关注我们

Suppr 超能文献

核心技术专利:CN118964589B侵权必究
粤ICP备2023148730 号-1Suppr @ 2026

文献检索

告别复杂PubMed语法,用中文像聊天一样搜索,搜遍4000万医学文献。AI智能推荐,让科研检索更轻松。

立即免费搜索

文件翻译

保留排版,准确专业,支持PDF/Word/PPT等文件格式,支持 12+语言互译。

免费翻译文档

深度研究

AI帮你快速写综述,25分钟生成高质量综述,智能提取关键信息,辅助科研写作。

立即免费体验

术前多模态扩散磁共振成像的直方图特征在预测成人型弥漫性胶质瘤Ki-67增殖方面的附加预后价值。

Added prognostic value of histogram features from preoperative multi-modal diffusion MRI in predicting Ki-67 proliferation for adult-type diffuse gliomas.

作者信息

Huang Yingqian, He Siyuan, Hu Hangtong, Ma Hui, Huang Zihuan, Zeng Shanmei, Mazu Liwei, Zhou Wenwen, Zhao Chen, Zhu Nengjin, Wu Jiajing, Liu Qiuchan, Yang Zhiyun, Wang Wei, Shen Guoping, Zhang Nu, Chu Jianping

机构信息

Department of Radiology, The First Affiliated Hospital, Sun Yat-sen University, Guangzhou, China.

Department of Medical Ultrasonics, Institute of Diagnostic and Interventional Ultrasound, The First Affiliated Hospital, Sun Yat-sen University, Guangzhou, China.

出版信息

Quant Imaging Med Surg. 2025 Sep 1;15(9):8423-8439. doi: 10.21037/qims-2025-242. Epub 2025 Aug 19.

DOI:10.21037/qims-2025-242
PMID:40893487
原文链接:https://pmc.ncbi.nlm.nih.gov/articles/PMC12397644/
Abstract

BACKGROUND

Ki-67 labelling index (LI), a critical marker of tumor proliferation, is vital for grading adult-type diffuse gliomas and predicting patient survival. However, its accurate assessment currently relies on invasive biopsy or surgical resection. This makes it challenging to non-invasively predict Ki-67 LI and subsequent prognosis. Therefore, this study aimed to investigate whether histogram analysis of multi-parametric diffusion model metrics-specifically diffusion tensor imaging (DTI), diffusion kurtosis imaging (DKI), and neurite orientation dispersion and density imaging (NODDI)-could help predict Ki-67 LI in adult-type diffuse gliomas and further predict patient survival.

METHODS

A total of 123 patients with diffuse gliomas who underwent preoperative bipolar spin-echo diffusion magnetic resonance imaging (MRI) were included. Diffusion metrics (DTI, DKI and NODDI) and their histogram features were extracted and used to develop a nomogram model in the training set (n=86), and the performance was verified in the test set (n=37). Area under the receiver operating characteristics curve of the nomogram model was calculated. The outcome cohort, including 123 patients, was used to evaluate the predictive value of the diffusion nomogram model for overall survival (OS). Cox proportion regression was performed to predict OS.

RESULTS

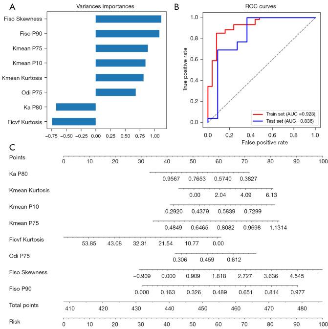
Among 123 patients, 87 exhibited high Ki-67 LI (Ki-67 LI >5%). The patients had a mean age of 46.08±13.24 years, with 39 being female. Tumor grading showed 46 cases of grade 2, 21 cases of grade 3, and 56 cases of grade 4. The nomogram model included eight histogram features from diffusion MRI and showed good performance for prediction Ki-67 LI, with area under the receiver operating characteristic curves (AUCs) of 0.92 [95% confidence interval (CI): 0.85-0.98, sensitivity =0.85, specificity =0.84] and 0.84 (95% CI: 0.64-0.98, sensitivity =0.77, specificity =0.73) in the training set and test set, respectively. Further nomogram incorporating these variables showed good discrimination in Ki-67 LI predicting and glioma grading. A low nomogram model score relative to the median value in the outcomes cohort was independently associated with OS (P<0.01).

CONCLUSIONS

Accurate prediction of the Ki-67 LI in adult-type diffuse glioma patients was achieved by using multi-modal diffusion MRI histogram radiomics model, which also reliably and accurately determined survival.

TRIAL REGISTRATION

ClinicalTrials.gov Identifier: NCT06572592.

摘要

背景

Ki-67标记指数(LI)是肿瘤增殖的关键标志物,对成人型弥漫性胶质瘤分级和预测患者生存至关重要。然而,其准确评估目前依赖于侵入性活检或手术切除。这使得非侵入性预测Ki-67 LI及后续预后具有挑战性。因此,本研究旨在探讨多参数扩散模型指标(特别是扩散张量成像(DTI)、扩散峰度成像(DKI)和神经突方向离散度与密度成像(NODDI))的直方图分析是否有助于预测成人型弥漫性胶质瘤的Ki-67 LI,并进一步预测患者生存。

方法

共纳入123例接受术前双极自旋回波扩散磁共振成像(MRI)的弥漫性胶质瘤患者。提取扩散指标(DTI、DKI和NODDI)及其直方图特征,并用于在训练集(n = 86)中建立列线图模型,在测试集(n = 37)中验证其性能。计算列线图模型的受试者操作特征曲线下面积。包括123例患者的结果队列用于评估扩散列线图模型对总生存期(OS)的预测价值。进行Cox比例回归以预测OS。

结果

123例患者中,87例表现为高Ki-67 LI(Ki-67 LI>5%)。患者平均年龄为46.08±13.24岁,女性39例。肿瘤分级显示2级46例,3级21例,4级56例。列线图模型包括来自扩散MRI的八个直方图特征,对预测Ki-67 LI表现出良好性能,训练集和测试集的受试者操作特征曲线下面积(AUC)分别为0.92[95%置信区间(CI):0.85 - 0.98,灵敏度 = 0.85,特异性 = 0.84]和0.84(95%CI:0.64 - 0.98,灵敏度 = 0.77,特异性 = 0.73)。纳入这些变量的进一步列线图在Ki-67 LI预测和胶质瘤分级方面显示出良好的区分度。结果队列中相对于中位数的低列线图模型评分与OS独立相关(P<0.01)。

结论

通过使用多模态扩散MRI直方图放射组学模型实现了对成人型弥漫性胶质瘤患者Ki-67 LI的准确预测,该模型也可靠且准确地确定了生存期。

试验注册

ClinicalTrials.gov标识符:NCT06572592。

https://cdn.ncbi.nlm.nih.gov/pmc/blobs/26e4/12397644/1037f6dd303e/qims-15-09-8423-f6.jpg
https://cdn.ncbi.nlm.nih.gov/pmc/blobs/26e4/12397644/02d578d69a28/qims-15-09-8423-f1.jpg
https://cdn.ncbi.nlm.nih.gov/pmc/blobs/26e4/12397644/2d5bec47aba9/qims-15-09-8423-f2.jpg
https://cdn.ncbi.nlm.nih.gov/pmc/blobs/26e4/12397644/6a7b43c23d43/qims-15-09-8423-f3.jpg
https://cdn.ncbi.nlm.nih.gov/pmc/blobs/26e4/12397644/d6f42d264932/qims-15-09-8423-f4.jpg
https://cdn.ncbi.nlm.nih.gov/pmc/blobs/26e4/12397644/61375080024f/qims-15-09-8423-f5.jpg
https://cdn.ncbi.nlm.nih.gov/pmc/blobs/26e4/12397644/1037f6dd303e/qims-15-09-8423-f6.jpg
https://cdn.ncbi.nlm.nih.gov/pmc/blobs/26e4/12397644/02d578d69a28/qims-15-09-8423-f1.jpg
https://cdn.ncbi.nlm.nih.gov/pmc/blobs/26e4/12397644/2d5bec47aba9/qims-15-09-8423-f2.jpg
https://cdn.ncbi.nlm.nih.gov/pmc/blobs/26e4/12397644/6a7b43c23d43/qims-15-09-8423-f3.jpg
https://cdn.ncbi.nlm.nih.gov/pmc/blobs/26e4/12397644/d6f42d264932/qims-15-09-8423-f4.jpg
https://cdn.ncbi.nlm.nih.gov/pmc/blobs/26e4/12397644/61375080024f/qims-15-09-8423-f5.jpg
https://cdn.ncbi.nlm.nih.gov/pmc/blobs/26e4/12397644/1037f6dd303e/qims-15-09-8423-f6.jpg

相似文献

1
Added prognostic value of histogram features from preoperative multi-modal diffusion MRI in predicting Ki-67 proliferation for adult-type diffuse gliomas.术前多模态扩散磁共振成像的直方图特征在预测成人型弥漫性胶质瘤Ki-67增殖方面的附加预后价值。
Quant Imaging Med Surg. 2025 Sep 1;15(9):8423-8439. doi: 10.21037/qims-2025-242. Epub 2025 Aug 19.
2
Grading meningiomas with diffusion metrics: a comparison between diffusion kurtosis, mean apparent propagator, neurite orientation dispersion and density, and diffusion tensor imaging.用弥散指标对脑膜瘤进行分级:弥散峰度、平均表观弥散系数、神经纤维方向分散和密度与弥散张量成像的比较。
Eur Radiol. 2023 May;33(5):3671-3681. doi: 10.1007/s00330-023-09505-3. Epub 2023 Mar 10.
3
Histogram analysis based on DTI and NODDI for differentiating atypical high-grade glioma from primary central nervous system lymphoma.基于扩散张量成像(DTI)和神经突方向离散度与密度成像(NODDI)的直方图分析用于鉴别非典型高级别胶质瘤与原发性中枢神经系统淋巴瘤。
Front Neurol. 2025 Jul 23;16:1577811. doi: 10.3389/fneur.2025.1577811. eCollection 2025.
4
Are Current Survival Prediction Tools Useful When Treating Subsequent Skeletal-related Events From Bone Metastases?当前的生存预测工具在治疗骨转移后的骨骼相关事件时有用吗?
Clin Orthop Relat Res. 2024 Sep 1;482(9):1710-1721. doi: 10.1097/CORR.0000000000003030. Epub 2024 Mar 22.
5
Development of a Radiomic-clinical Nomogram for Prediction of Survival in Patients with Nasal Extranodal Natural Killer/T-cell Lymphoma.用于预测鼻型结外自然杀伤/T细胞淋巴瘤患者生存情况的影像组学-临床列线图的开发
Curr Med Imaging. 2025 Jun 19. doi: 10.2174/0115734056319914250605053257.
6
Role of dynamic contrast-enhanced and dynamic susceptibility contrast imaging in evaluating the biological features of glioma.动态对比增强成像和动态磁敏感对比成像在评估胶质瘤生物学特征中的作用。
Quant Imaging Med Surg. 2025 Aug 1;15(8):7030-7045. doi: 10.21037/qims-2024-2794. Epub 2025 Jul 28.
7
Magnetic resonance perfusion for differentiating low-grade from high-grade gliomas at first presentation.首次就诊时磁共振灌注成像用于鉴别低级别与高级别胶质瘤
Cochrane Database Syst Rev. 2018 Jan 22;1(1):CD011551. doi: 10.1002/14651858.CD011551.pub2.
8
Comparison of Two Modern Survival Prediction Tools, SORG-MLA and METSSS, in Patients With Symptomatic Long-bone Metastases Who Underwent Local Treatment With Surgery Followed by Radiotherapy and With Radiotherapy Alone.两种现代生存预测工具 SORG-MLA 和 METSSS 在接受手术联合放疗和单纯放疗治疗有症状长骨转移患者中的比较。
Clin Orthop Relat Res. 2024 Dec 1;482(12):2193-2208. doi: 10.1097/CORR.0000000000003185. Epub 2024 Jul 23.
9
Preoperative Diffusion Tensor Imaging and Neurite Dispersion and Density Imaging in Isocitrate Dehydrogenase-Mutant Grade 2 and 3 Gliomas: Definition of Tumor-Related Epilepsy and Predictive Factors of Seizure Outcomes Based on a Single-Center Retrospective Case Series.术前弥散张量成像和神经突弥散与密度成像在异柠檬酸脱氢酶突变的2级和3级胶质瘤中的应用:基于单中心回顾性病例系列对肿瘤相关性癫痫的定义及癫痫预后的预测因素
Neurosurgery. 2025 Jan 29;97(2):361-373. doi: 10.1227/neu.0000000000003365.
10
Development and validation of a machine learning model based on laboratory parameters for preoperative prediction of Ki-67 expression in gliomas.基于实验室参数的机器学习模型用于术前预测胶质瘤中Ki-67表达的开发与验证
J Neurosurg. 2025 Mar 28:1-13. doi: 10.3171/2024.11.JNS241673.

本文引用的文献

1
The value of morphological magnetic resonance imaging features combined with diffusion kurtosis imaging for predicting Ki-67 expression levels in high-grade gliomas.形态学磁共振成像特征联合扩散峰度成像预测高级别胶质瘤中Ki-67表达水平的价值
Quant Imaging Med Surg. 2025 Apr 1;15(4):2813-2826. doi: 10.21037/qims-24-2035. Epub 2025 Mar 21.
2
Molecular Testing in Gliomas: What is Necessary in Routine Clinical Practice?脑胶质瘤的分子检测:常规临床实践中需要检测什么?
Curr Oncol Rep. 2024 Nov;26(11):1277-1282. doi: 10.1007/s11912-024-01602-w. Epub 2024 Oct 3.
3
Molecular Profile as an Outcome Predictor in Glioblastoma along with MRI Features and Surgical Resection: A Scoping Review.
胶质母细胞瘤的分子谱与 MRI 特征和手术切除的预后预测:范围综述。
Int J Mol Sci. 2024 Sep 8;25(17):9714. doi: 10.3390/ijms25179714.
4
Qualitative and quantitative MRI analysis of alveolar soft part sarcoma: correlation with histological grade and Ki-67 expression.肺泡软组织肉瘤的定性和定量MRI分析:与组织学分级及Ki-67表达的相关性
Insights Imaging. 2024 Jun 13;15(1):142. doi: 10.1186/s13244-024-01687-8.
5
Survival outcome and predictors of WHO grade 2 and 3 insular gliomas: A classification based on the tumor spread.生存结局和世界卫生组织 2 级和 3 级岛叶胶质瘤的预测因素:基于肿瘤扩散的分类。
Cancer Med. 2024 Jun;13(11):e7377. doi: 10.1002/cam4.7377.
6
Dataset of weekly intra-treatment diffusion weighted imaging in head and neck cancer patients treated with MR-Linac.头颈部癌症患者接受 MR-Linac 治疗的每周治疗内扩散加权成像数据集。
Sci Data. 2024 May 11;11(1):487. doi: 10.1038/s41597-024-03217-z.
7
Clinical and Imaging Characteristics of Contrast-enhanced Mammography and MRI to Distinguish Microinvasive Carcinoma from Ductal Carcinoma In situ.对比增强乳腺 X 线摄影和 MRI 的临床及影像学特征,以鉴别微浸润癌和导管原位癌。
Acad Radiol. 2024 Nov;31(11):4299-4308. doi: 10.1016/j.acra.2024.04.041. Epub 2024 May 11.
8
The role of apparent diffusion coefficient in the grading of adult isocitrate dehydrogenase-mutant astrocytomas: relationship with the Ki-67 proliferation index.表观扩散系数在成人异柠檬酸脱氢酶突变型星形细胞瘤分级中的作用:与 Ki-67 增殖指数的关系。
Acta Radiol. 2024 May;65(5):489-498. doi: 10.1177/02841851241242653. Epub 2024 Apr 22.
9
Multiparametric MRI for characterization of the tumour microenvironment.多参数 MRI 用于肿瘤微环境的特征分析。
Nat Rev Clin Oncol. 2024 Jun;21(6):428-448. doi: 10.1038/s41571-024-00891-1. Epub 2024 Apr 19.
10
Ultra-high b-value DWI accurately identifies isocitrate dehydrogenase genotypes and tumor subtypes of adult-type diffuse gliomas.超高 b 值 DWI 可准确识别成人弥漫性胶质瘤的异柠檬酸脱氢酶基因型和肿瘤亚型。
Eur Radiol. 2024 Oct;34(10):6751-6762. doi: 10.1007/s00330-024-10708-5. Epub 2024 Mar 25.