Suppr超能文献

被动物理屏障可调节紫外线B诱导的与有丝分裂灾难相关的髓过氧化物酶(MPO)表达和活性、25-羟基维生素D3-1α-羟化酶,以及组织驻留巨噬细胞向与M1相关的诱导型一氧化氮合酶的转变。

Passive physical barrier modulates UVB-induced METosis-related MPO expression and activity, 25-hydroxyvitamin D3-1alpha-hydroxylase, and the shift of tissue-resident macrophages toward M1-associated iNOS.

作者信息

Meterfi Farah Sara, Zoudji Souad, Bendjeffel Nour Elhouda, Messali Rabia, Boudjelal Fadila, El Mezouar Chahrazed, Brikci Nigassa Nawal, Mekkaoui Zineb, Brikhou Slimane, Mennechet Franck Jd, Touil-Boukoffa Chafia, Li Xin, Bellou Abdelouahab, Aribi Mourad

机构信息

Laboratory of Applied Molecular Biology and Immunology, University of Tlemcen, Tlemcen, Algeria.

Pediatrics Department, Mother and Child Specialized Hospital of Tlemcen, Tlemcen, Algeria.

出版信息

Front Immunol. 2025 Aug 14;16:1583493. doi: 10.3389/fimmu.2025.1583493. eCollection 2025.

Abstract

BACKGROUND

This study investigated the role of UVB radiation and the influence of a simulated passive barrier on the enzymatic conversion of 25-hydroxyvitamin D3 (25(OH)D) by 1-alpha hydroxylase and its effects on the functional activity of tissue-resident macrophages.

METHODS

Murine peritoneal tissue-resident macrophages (PRMφs) were exposed to three conditions: (1) Baseline (Control group), with no light exposure; (2) UVB+/RF- group, exposed to UVB rays without passive barrier simulation; (3) UVB+/RF+ group, UVB exposure with a thin layer of rat fur to mimic the passive barrier on the skin.

RESULTS

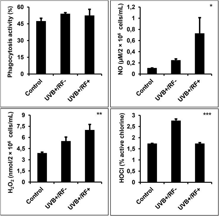
UVB exposure did not significantly alter 25OHD levels across groups but led to a marked downregulation of 1-alpha hydroxylase, particularly with the simulated barrier. UVB slightly enhanced phagocytosis and significantly increased nitric oxide (NO) and hydrogen peroxide (HO) production. Moreover, hypochlorous acid (HOCl) levels were significantly upregulated in the UVB-exposed PRMφ group, whereas they returned to baseline levels in the UVB+/RF+ group. Furthermore, both MPO expression and activity were markedly upregulated after UVB exposure and downregulated in UVB+/RF+ group, suggesting that the overall effect of UVB on METosis-related MPO activity was substantially attenuated by the simulated barrier (for both comparisons, < 0.001 by ANOVA test). Additionally, UVB exposure shifted PRMφs toward M1-phenotype, as evidenced by decreased ARG1 activity and increased iNOS activity and M1-to-M2 ratio. Additionally, UVB downregulated catalase (CAT) activity and intracellular glucose (GLU) levels, with a stronger effect in the barrier group. While UVB increased total cellular cholesterol content (CHOL), this effect was mitigated by the barrier. Finally, intracellular free calcium ion (Ca) levels remained unaffected by UVB but showed a slight increase with the barrier.

CONCLUSIONS

UVB exposure enhances tissue-resident macrophage function in a preclinical rat model, increasing respiratory burst, phagocytosis, and M1-like polarization. The simulated barrier modulates these effects, notably by reducing MPO expression and METosis-related activity, which suggests a potential attenuation of excessive inflammation. These findings provide valuable insights relevant to human immune modulation and support further translational research. Future studies should investigate the role of circadian rhythms and other cell types in UVB- and vitamin D-mediated immune modulation.

摘要

背景

本研究调查了紫外线B(UVB)辐射的作用以及模拟被动屏障对1-α羟化酶将25-羟基维生素D3(25(OH)D)进行酶促转化的影响及其对组织驻留巨噬细胞功能活性的作用。

方法

将小鼠腹膜组织驻留巨噬细胞(PRMφs)暴露于三种条件下:(1)基线(对照组),无光照;(2)UVB+/RF-组,暴露于UVB射线且无被动屏障模拟;(3)UVB+/RF+组,用一层薄大鼠毛进行UVB照射以模拟皮肤的被动屏障。

结果

UVB照射并未显著改变各组的25OHD水平,但导致1-α羟化酶明显下调,特别是在有模拟屏障的情况下。UVB略微增强了吞噬作用,并显著增加了一氧化氮(NO)和过氧化氢(HO)的产生。此外,UVB照射的PRMφ组中次氯酸(HOCl)水平显著上调,而在UVB+/RF+组中则恢复到基线水平。此外,UVB照射后髓过氧化物酶(MPO)的表达和活性均显著上调,而在UVB+/RF+组中下调,这表明模拟屏障显著减弱了UVB对与髓细胞增生相关的MPO活性的总体影响(对于两个比较,方差分析检验P<0.001)。此外,UVB照射使PRMφs向M1表型转变,表现为精氨酸酶1(ARG1)活性降低、诱导型一氧化氮合酶(iNOS)活性增加以及M1与M2比值增加。此外,UVB下调了过氧化氢酶(CAT)活性和细胞内葡萄糖(GLU)水平,在有屏障组中作用更强。虽然UVB增加了细胞总胆固醇含量(CHOL),但这种作用被屏障减弱。最后,细胞内游离钙离子(Ca)水平不受UVB影响,但在有屏障时略有增加。

结论

在临床前大鼠模型中,UVB照射增强了组织驻留巨噬细胞功能,增加了呼吸爆发、吞噬作用和M1样极化。模拟屏障调节了这些作用,特别是通过降低MPO表达和与髓细胞增生相关的活性,这表明可能减轻了过度炎症反应。这些发现为人类免疫调节提供了有价值的见解,并支持进一步的转化研究。未来的研究应调查昼夜节律和其他细胞类型在UVB和维生素D介导的免疫调节中的作用。

https://cdn.ncbi.nlm.nih.gov/pmc/blobs/f5f8/12390812/b127f33aab7e/fimmu-16-1583493-g001.jpg

文献检索

告别复杂PubMed语法,用中文像聊天一样搜索,搜遍4000万医学文献。AI智能推荐,让科研检索更轻松。

立即免费搜索

文件翻译

保留排版,准确专业,支持PDF/Word/PPT等文件格式,支持 12+语言互译。

免费翻译文档

深度研究

AI帮你快速写综述,25分钟生成高质量综述,智能提取关键信息,辅助科研写作。

立即免费体验