Suppr超能文献

特发性突发性感音神经性听力损失中的气象因素:一项回顾性研究

Meteorological Factors in Idiopathic Sudden Sensorineural Hearing Loss: A Retrospective Study.

作者信息

Vlachodimitropoulos Athanasios, Danielides Gerasimos, Stathas Theodoros, Batsaouras Georgios, Athanasopoulos Michail, Giotakis Aris I, Lygeros Spyridon

机构信息

Otolaryngology - Head and Neck Surgery, University General Hospital of Patras, Patras, GRC.

Otolaryngology - Head and Neck Surgery, Hippokration General Hospital, National and Kapodistrian University of Athens, Athens, GRC.

出版信息

Cureus. 2025 Jul 29;17(7):e89018. doi: 10.7759/cureus.89018. eCollection 2025 Jul.

Abstract

BACKGROUND AND OBJECTIVE

Idiopathic sudden sensorineural hearing loss (ISSNHL), which is an otologic emergency characterized by rapid-onset inner-ear hearing loss without an identifiable cause, remains a clinically urgent but poorly understood entity. While environmental factors have been proposed as potential triggers, prior studies show conflicting results. This study aimed to examine associations between weekly ISSNHL incidence and meteorological variables, including temperature, wind speed, and atmospheric pressure, in a Mediterranean city over a six-year period.

METHODS

We retrospectively analyzed 97 ISSNHL cases treated at the University General Hospital of Patras, Greece, from January 2019 to May 2025. Daily weather data were averaged into weekly values and aligned with weekly ISSNHL incidence. Welch's t-tests and Mann-Whitney U-tests were used to compare weather variables between high-incidence (weeks with >1 case) and low-incidence periods. Lag models were used to assess delayed effects.

RESULTS

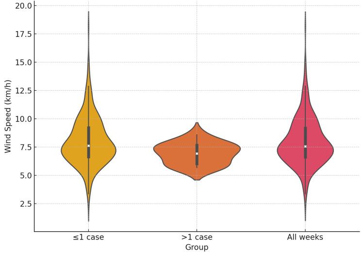
No significant seasonal trend in ISSNHL was detected (p=0.973). However, lower wind speeds were consistently associated with higher ISSNHL incidence (p<0.05 across multiple comparisons). A trend toward lower atmospheric pressure in high-incidence windows was also observed. Temperature showed no significant relationships with ISSNHL.

CONCLUSIONS

In this Mediterranean setting, ISSNHL incidence was not seasonally patterned but was associated with low wind speed and possibly low atmospheric pressure in the days preceding onset. These findings suggest that calm atmospheric conditions may contribute to ISSNHL risk, potentially via mechanisms involving air quality, vascular reactivity, or inner-ear pressure dynamics.

摘要

背景与目的

特发性突发性感音神经性听力损失(ISSNHL)是一种耳科急症,其特征为内耳听力迅速丧失且病因不明,至今仍是临床上亟待解决但了解不足的病症。虽然环境因素被认为是潜在诱因,但先前研究结果相互矛盾。本研究旨在调查地中海某城市六年内每周ISSNHL发病率与气象变量(包括温度、风速和气压)之间的关联。

方法

我们回顾性分析了2019年1月至2025年5月在希腊帕特雷大学综合医院接受治疗的97例ISSNHL病例。每日天气数据平均为每周数据,并与每周ISSNHL发病率进行比对。采用韦尔奇t检验和曼-惠特尼U检验比较高发病率时期(每周发病>1例)和低发病率时期的天气变量。使用滞后模型评估延迟效应。

结果

未检测到ISSNHL有显著的季节性趋势(p = 0.973)。然而,较低风速始终与较高的ISSNHL发病率相关(多次比较中p<0.05)。在高发病率时段还观察到气压有降低趋势。温度与ISSNHL无显著关系。

结论

在这个地中海地区,ISSNHL发病率没有季节性模式,但与发病前几天的低风速以及可能存在 的低气压有关。这些发现表明,平静的大气条件可能会增加ISSNHL风险,其潜在机制可能涉及空气质量、血管反应性或内耳压力动态变化。

https://cdn.ncbi.nlm.nih.gov/pmc/blobs/48a0/12394787/ef00c7d1354b/cureus-0017-00000089018-i01.jpg

文献检索

告别复杂PubMed语法,用中文像聊天一样搜索,搜遍4000万医学文献。AI智能推荐,让科研检索更轻松。

立即免费搜索

文件翻译

保留排版,准确专业,支持PDF/Word/PPT等文件格式,支持 12+语言互译。

免费翻译文档

深度研究

AI帮你快速写综述,25分钟生成高质量综述,智能提取关键信息,辅助科研写作。

立即免费体验