• 文献检索
  • 文档翻译
  • 深度研究
  • 学术资讯
  • Suppr Zotero 插件Zotero 插件
  • 邀请有礼
  • 套餐&价格
  • 历史记录
应用&插件
Suppr Zotero 插件Zotero 插件浏览器插件Mac 客户端Windows 客户端微信小程序
定价
高级版会员购买积分包购买API积分包
服务
文献检索文档翻译深度研究API 文档MCP 服务
关于我们
关于 Suppr公司介绍联系我们用户协议隐私条款
关注我们

Suppr 超能文献

核心技术专利:CN118964589B侵权必究
粤ICP备2023148730 号-1Suppr @ 2026

文献检索

告别复杂PubMed语法,用中文像聊天一样搜索,搜遍4000万医学文献。AI智能推荐,让科研检索更轻松。

立即免费搜索

文件翻译

保留排版,准确专业,支持PDF/Word/PPT等文件格式,支持 12+语言互译。

免费翻译文档

深度研究

AI帮你快速写综述,25分钟生成高质量综述,智能提取关键信息,辅助科研写作。

立即免费体验

围手术期抗高血压药物及其对非心脏手术中功能衰退和死亡率的影响。

Perioperative antihypertensive medications and effects on functional decline and mortality in non-cardiac surgery.

作者信息

Suzukawa Rena, Mandai Shintaro, Nakano Yuta, Inaba Shunsuke, Matsuki Hisazumi, Mori Yutaro, Ando Fumiaki, Mori Takayasu, Susa Koichiro, Iimori Soichiro, Naito Shotaro, Sohara Eisei, Rai Tatemitsu, Fushimi Kiyohide, Uchida Shinichi

机构信息

Department of Nephrology, Graduate School of Medical and Dental Sciences, Institute of Science Tokyo, Tokyo 113-8519, Japan.

Department of Nephrology and Hypertension, Dokkyo Medical University, Tochigi 321-0293, Japan.

出版信息

Eur Heart J Open. 2025 Aug 11;5(4):oeaf096. doi: 10.1093/ehjopen/oeaf096. eCollection 2025 Jul.

DOI:10.1093/ehjopen/oeaf096
PMID:40896736
原文链接:https://pmc.ncbi.nlm.nih.gov/articles/PMC12393147/
Abstract

AIMS

The association between perioperative antihypertensive drugs and mortality as well as physical function in non-cardiac surgeries remains unclear. We aimed to clarify the association between six antihypertensive classes and postoperative outcomes.

METHODS AND RESULTS

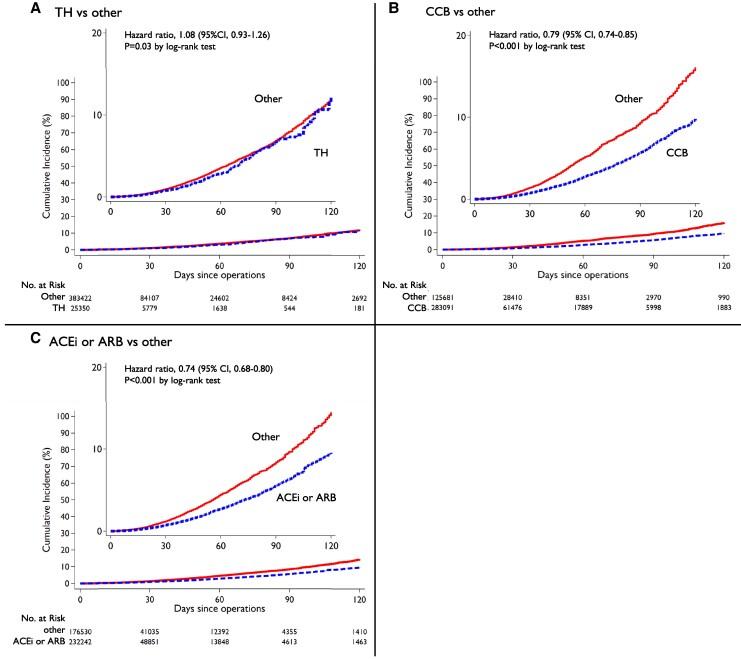
This observational cohort study involved adults undergoing non-cardiac surgeries between 2014 and 2019 using an administrative claims database. We recruited 408 810 patients who continuously used any class of antihypertensive medication both pre- and postoperatively and 2 190 064 non-continuous users aged ≥50 years who underwent five different types of non-cardiac surgeries. The risk for overall death or functional decline, defined as a ≥20% decrease in the Barthel Index score during hospitalization, was determined using multivariable logistic regression models. All-cause deaths or functional decline occurred in 4228 (1.0%) users and 17 978 (0.8%) non-users or 20 625 (5.0%) users and 66 218 (3.0%) non-users, respectively. Among single-class users, angiotensin-converting enzyme inhibitors (ACEis) or angiotensin II receptor blockers (ARBs) showed a multivariable odds ratio (OR) of 0.74 [95% confidence interval (CI) 0.62-0.89 vs. thiazide/thiazide-like diuretics (TH)] for the composite of mortality and functional decline. Among recipients of two medication classes, calcium receptor blockers (CCBs)/ACEi or ARB usage was associated with the lowest risk for composite outcome (OR, 0.86; 95% CI, 0.81-0.91 vs. TH/CCBs). The combinations of the ≥3 classes, including TH/CCB/ACEi or ARB, displayed the lowest odds for the composite outcome. In orthopaedic surgery and gastrointestinal resection, ACEis or ARBs were associated with better survival and physical function.

CONCLUSION

Perioperative use of ACEis or ARBs is associated with favourable outcomes in non-cardiac surgeries.

摘要

目的

围手术期抗高血压药物与非心脏手术患者死亡率及身体功能之间的关联尚不清楚。我们旨在阐明六种抗高血压药物类别与术后结局之间的关联。

方法与结果

这项观察性队列研究纳入了2014年至2019年间使用行政索赔数据库进行非心脏手术的成年人。我们招募了408810名术前和术后持续使用任何一类抗高血压药物的患者,以及2190064名年龄≥50岁、接受五种不同类型非心脏手术的非持续使用者。使用多变量逻辑回归模型确定总体死亡或功能下降的风险,功能下降定义为住院期间Barthel指数评分下降≥20%。全因死亡或功能下降分别发生在4228名(1.0%)使用者和17978名(0.8%)非使用者中,或20625名(5.0%)使用者和66218名(3.0%)非使用者中。在单类药物使用者中,与噻嗪类/类噻嗪利尿剂(TH)相比,血管紧张素转换酶抑制剂(ACEi)或血管紧张素II受体阻滞剂(ARB)在死亡率和功能下降综合结局方面的多变量优势比(OR)为0.74[95%置信区间(CI)0.62 - 0.89]。在接受两类药物治疗的患者中,钙受体阻滞剂(CCB)/ACEi或ARB的使用与综合结局风险最低相关(OR,0.86;95%CI,0.81 - 0.91 vs. TH/CCB)。≥三类药物的组合,包括TH/CCB/ACEi或ARB,在综合结局方面的优势比最低。在骨科手术和胃肠道切除术中,ACEi或ARB与更好的生存和身体功能相关。

结论

围手术期使用ACEi或ARB与非心脏手术的良好结局相关。

https://cdn.ncbi.nlm.nih.gov/pmc/blobs/be21/12393147/e4081fee0626/oeaf096f4.jpg
https://cdn.ncbi.nlm.nih.gov/pmc/blobs/be21/12393147/e89cdfffe468/oeaf096_ga.jpg
https://cdn.ncbi.nlm.nih.gov/pmc/blobs/be21/12393147/c22341d86e75/oeaf096f1.jpg
https://cdn.ncbi.nlm.nih.gov/pmc/blobs/be21/12393147/b0b24e050d56/oeaf096f2.jpg
https://cdn.ncbi.nlm.nih.gov/pmc/blobs/be21/12393147/8c05d4e6b2b9/oeaf096f3.jpg
https://cdn.ncbi.nlm.nih.gov/pmc/blobs/be21/12393147/e4081fee0626/oeaf096f4.jpg
https://cdn.ncbi.nlm.nih.gov/pmc/blobs/be21/12393147/e89cdfffe468/oeaf096_ga.jpg
https://cdn.ncbi.nlm.nih.gov/pmc/blobs/be21/12393147/c22341d86e75/oeaf096f1.jpg
https://cdn.ncbi.nlm.nih.gov/pmc/blobs/be21/12393147/b0b24e050d56/oeaf096f2.jpg
https://cdn.ncbi.nlm.nih.gov/pmc/blobs/be21/12393147/8c05d4e6b2b9/oeaf096f3.jpg
https://cdn.ncbi.nlm.nih.gov/pmc/blobs/be21/12393147/e4081fee0626/oeaf096f4.jpg

相似文献

1
Perioperative antihypertensive medications and effects on functional decline and mortality in non-cardiac surgery.围手术期抗高血压药物及其对非心脏手术中功能衰退和死亡率的影响。
Eur Heart J Open. 2025 Aug 11;5(4):oeaf096. doi: 10.1093/ehjopen/oeaf096. eCollection 2025 Jul.
2
ACE Inhibitor Benefit to Kidney and Cardiovascular Outcomes for Patients with Non-Dialysis Chronic Kidney Disease Stages 3-5: A Network Meta-Analysis of Randomised Clinical Trials.血管紧张素转换酶抑制剂对非透析慢性肾脏病 3-5 期患者的肾脏和心血管结局的益处:随机临床试验的网络荟萃分析。
Drugs. 2020 Jun;80(8):797-811. doi: 10.1007/s40265-020-01290-3.
3
Angiotensin-converting enzyme inhibitors and angiotensin receptor blockers for preserving residual kidney function in peritoneal dialysis patients.血管紧张素转换酶抑制剂和血管紧张素受体阻滞剂对腹膜透析患者残余肾功能的保护作用
Cochrane Database Syst Rev. 2014 Jun 23;2014(6):CD009120. doi: 10.1002/14651858.CD009120.pub2.
4
Perioperative angiotensin-converting enzyme inhibitors or angiotensin II type 1 receptor blockers for preventing mortality and morbidity in adults.围手术期使用血管紧张素转换酶抑制剂或血管紧张素II 1型受体阻滞剂预防成人死亡率和发病率。
Cochrane Database Syst Rev. 2016 Jan 27;2016(1):CD009210. doi: 10.1002/14651858.CD009210.pub2.
5
Antihypertensive treatment for kidney transplant recipients.肾移植受者的降压治疗。
Cochrane Database Syst Rev. 2024 Jul 31;7(7):CD003598. doi: 10.1002/14651858.CD003598.pub3.
6
Prescription of Controlled Substances: Benefits and Risks管制药品的处方:益处与风险
7
Antihypertensive drugs and risk of cancer: network meta-analyses and trial sequential analyses of 324,168 participants from randomised trials.降压药物与癌症风险:来自随机试验的 324168 名参与者的网络荟萃分析和试验序贯分析。
Lancet Oncol. 2011 Jan;12(1):65-82. doi: 10.1016/S1470-2045(10)70260-6. Epub 2010 Nov 29.
8
Antihypertensive Medication Class and Functional Outcomes After Nonlobar Intracerebral Hemorrhage.非叶性脑出血后的降压药物类别与功能转归
JAMA Netw Open. 2025 Feb 3;8(2):e2457770. doi: 10.1001/jamanetworkopen.2024.57770.
9
Drugs for preventing postoperative nausea and vomiting in adults after general anaesthesia: a network meta-analysis.成人全身麻醉后预防术后恶心呕吐的药物:网状Meta分析
Cochrane Database Syst Rev. 2020 Oct 19;10(10):CD012859. doi: 10.1002/14651858.CD012859.pub2.
10
Beta-blockers for hypertension.用于治疗高血压的β受体阻滞剂。
Cochrane Database Syst Rev. 2007 Jan 24(1):CD002003. doi: 10.1002/14651858.CD002003.pub2.

本文引用的文献

1
Preoperative activation of the renin-angiotensin system and myocardial injury in noncardiac surgery: exploratory mechanistic analysis of the SPACE randomised controlled trial.非心脏手术中肾素-血管紧张素系统的术前激活与心肌损伤:SPACE随机对照试验的探索性机制分析
Br J Anaesth. 2025 May;134(5):1300-1307. doi: 10.1016/j.bja.2024.10.040. Epub 2024 Dec 20.
2
2024 ESC Guidelines for the management of elevated blood pressure and hypertension: what is new in pharmacotherapy?2024年欧洲心脏病学会高血压管理指南:药物治疗有哪些新进展?
Eur Heart J Cardiovasc Pharmacother. 2025 Feb 8;11(1):7-9. doi: 10.1093/ehjcvp/pvae084.
3
2024 AHA/ACC/ACS/ASNC/HRS/SCA/SCCT/SCMR/SVM Guideline for Perioperative Cardiovascular Management for Noncardiac Surgery: A Report of the American College of Cardiology/American Heart Association Joint Committee on Clinical Practice Guidelines.
2024 年美国心脏协会/美国心脏病学会/美国心血管造影和介入学会/美国核医学学会/心律学会/心血管计算机断层成像学会/心血管磁共振学会/心血管超声学会非心脏手术围术期心血管管理临床实践指南:美国心脏病学会/美国心脏协会联合委员会的报告。
Circulation. 2024 Nov 5;150(19):e351-e442. doi: 10.1161/CIR.0000000000001285. Epub 2024 Sep 24.
4
Continuation vs Discontinuation of Renin-Angiotensin System Inhibitors Before Major Noncardiac Surgery: The Stop-or-Not Randomized Clinical Trial.在非心脏大手术前继续或停止肾素-血管紧张素系统抑制剂:停止或不停随机临床试验。
JAMA. 2024 Sep 24;332(12):970-978. doi: 10.1001/jama.2024.17123.
5
Should renin-angiotensin system inhibitors be held prior to major surgery?在进行重大手术前是否应停用肾素-血管紧张素系统抑制剂?
Br J Anaesth. 2024 May;132(5):831-834. doi: 10.1016/j.bja.2024.03.003. Epub 2024 Apr 4.
6
The alternative renin-angiotensin system in critically ill patients: pathophysiology and therapeutic implications.危重症患者的替代肾素-血管紧张素系统:病理生理学和治疗意义。
Crit Care. 2023 Nov 20;27(1):453. doi: 10.1186/s13054-023-04739-5.
7
Discontinuation vs. continuation of renin-angiotensin system inhibition before non-cardiac surgery: the SPACE trial.在非心脏手术前停用或继续使用肾素-血管紧张素系统抑制剂:SPACE 试验。
Eur Heart J. 2024 Apr 1;45(13):1146-1155. doi: 10.1093/eurheartj/ehad716.
8
2022 ESC Guidelines on cardiovascular assessment and management of patients undergoing non-cardiac surgery.2022年欧洲心脏病学会非心脏手术患者心血管评估与管理指南。
Eur Heart J. 2022 Oct 14;43(39):3826-3924. doi: 10.1093/eurheartj/ehac270.
9
Nationwide mortality associated with perioperative acute dialysis requirement in major surgeries.全国范围内主要手术围手术期急性透析需求相关死亡率。
Int J Surg. 2022 Aug;104:106816. doi: 10.1016/j.ijsu.2022.106816. Epub 2022 Aug 6.
10
National Trends and Disparities in Hospitalization for Acute Hypertension Among Medicare Beneficiaries (1999-2019).医保受益人群中急性高血压住院治疗的全国趋势和差异(1999-2019 年)。
Circulation. 2021 Nov 23;144(21):1683-1693. doi: 10.1161/CIRCULATIONAHA.121.057056. Epub 2021 Nov 8.