• 文献检索
  • 文档翻译
  • 深度研究
  • 学术资讯
  • Suppr Zotero 插件Zotero 插件
  • 邀请有礼
  • 套餐&价格
  • 历史记录
应用&插件
Suppr Zotero 插件Zotero 插件浏览器插件Mac 客户端Windows 客户端微信小程序
定价
高级版会员购买积分包购买API积分包
服务
文献检索文档翻译深度研究API 文档MCP 服务
关于我们
关于 Suppr公司介绍联系我们用户协议隐私条款
关注我们

Suppr 超能文献

核心技术专利:CN118964589B侵权必究
粤ICP备2023148730 号-1Suppr @ 2026

文献检索

告别复杂PubMed语法,用中文像聊天一样搜索,搜遍4000万医学文献。AI智能推荐,让科研检索更轻松。

立即免费搜索

文件翻译

保留排版,准确专业,支持PDF/Word/PPT等文件格式,支持 12+语言互译。

免费翻译文档

深度研究

AI帮你快速写综述,25分钟生成高质量综述,智能提取关键信息,辅助科研写作。

立即免费体验

在美国常规临床实践中,CDK4/6抑制剂联合芳香化酶抑制剂用于HR阳性/HER2阴性转移性乳腺癌的真实世界无进展生存期

Real-world progression-free survival of CDK4/6 inhibitors plus an aromatase inhibitor in HR-positive/HER2-negative metastatic breast cancer in United States routine clinical practice.

作者信息

Rugo H S, Layman R M, Lynce F, Liu X, Li B, McRoy L, Cohen A B, Estevez M, Curigliano G, Brufsky A

机构信息

Department of Medical Oncology and Therapeutics Research, City of Hope Comprehensive Cancer Center, Duarte.

The University of Texas MD Anderson Cancer Center, Houston, USA.

出版信息

ESMO Open. 2025 Sep 1;10(9):105570. doi: 10.1016/j.esmoop.2025.105570.

DOI:10.1016/j.esmoop.2025.105570
PMID:40896879
原文链接:https://pmc.ncbi.nlm.nih.gov/articles/PMC12424423/
Abstract

BACKGROUND

All three cyclin-dependent kinase 4/6 inhibitors (CDK4/6i; palbociclib, ribociclib, and abemaciclib) plus aromatase inhibitor (AI) significantly prolonged progression-free survival (PFS) versus placebo plus AI and achieved a similar reduction in risk of disease progression in randomized controlled trials (RCTs) evaluating first-line (1L) treatment of hormone receptor (HR)-positive/human epidermal growth factor receptor 2 (HER2)-negative metastatic breast cancer (mBC). To date, there have been no head-to-head RCT data comparing CDK4/6i, and most real-world comparative effectiveness studies were limited by small sample sizes and/or short follow-up. In this analysis, we compared real-world PFS (rwPFS) in patients with HR-positive/HER2-negative mBC receiving 1L CDK4/6i plus AI in United States routine clinical practice.

PATIENTS AND METHODS

P-VERIFY was a retrospective comparative effectiveness study using a US nationwide deidentified electronic health record-derived longitudinal database. Patients had HR-positive/HER2-negative mBC, were ≥18 years of age, and started 1L CDK4/6i plus AI between February 2015 and November 2023. rwPFS was defined as months from CDK4/6i plus AI initiation to disease progression or death from any cause. Stabilized inverse probability of treatment weighting (sIPTW) as primary analysis was used to balance baseline characteristics. Multivariable Cox proportional hazards model was carried out as a sensitivity analysis.

RESULTS

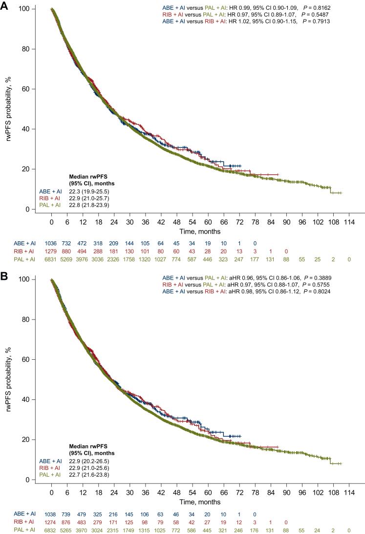
Of 9146 eligible patients, 6831, 1279, and 1036 received palbociclib, ribociclib, and abemaciclib, respectively, plus AI. Baseline characteristics were generally balanced between treatment groups after sIPTW. Median [95% confidence interval (CI)] rwPFS after sIPTW was 22.7 (21.6-23.8), 22.9 (21.0-25.6), and 22.9 (20.2-26.5) months in the palbociclib, ribociclib, and abemaciclib groups, respectively. After sIPTW, there were no significant rwPFS differences (all P > 0.05) between ribociclib versus palbociclib (adjusted hazard ratio 0.97, 95% CI 0.88-1.07), abemaciclib versus palbociclib (0.96, 0.86-1.06), and abemaciclib versus ribociclib (0.98, 0.86-1.12). Findings were generally consistent across subgroups and sensitivity analyses.

CONCLUSIONS

Our study, the largest real-world CDK4/6i comparative effectiveness study to date, demonstrated no significant rwPFS differences between 1L palbociclib, ribociclib, and abemaciclib, plus AI, in patients with HR-positive/HER2-negative mBC.

摘要

背景

在评估激素受体(HR)阳性/人表皮生长因子受体2(HER2)阴性转移性乳腺癌(mBC)一线(1L)治疗的随机对照试验(RCT)中,三种细胞周期蛋白依赖性激酶4/6抑制剂(CDK4/6i;哌柏西利、瑞博西尼和阿贝西利)联合芳香化酶抑制剂(AI)与安慰剂联合AI相比,显著延长了无进展生存期(PFS),并在疾病进展风险降低方面取得了相似的效果。迄今为止,尚无比较CDK4/6i的头对头RCT数据,大多数真实世界的比较有效性研究受到样本量小和/或随访时间短的限制。在本分析中,我们比较了美国常规临床实践中接受1L CDK4/6i联合AI治疗的HR阳性/HER2阴性mBC患者的真实世界PFS(rwPFS)。

患者与方法

P-VERIFY是一项回顾性比较有效性研究,使用美国全国性的匿名电子健康记录衍生纵向数据库。患者患有HR阳性/HER2阴性mBC,年龄≥18岁,于2015年2月至2023年11月开始接受1L CDK4/6i联合AI治疗。rwPFS定义为从开始使用CDK4/6i联合AI至疾病进展或因任何原因死亡的月数。采用稳定的逆概率治疗权重(sIPTW)作为主要分析方法来平衡基线特征。进行多变量Cox比例风险模型作为敏感性分析。

结果

在9146名符合条件的患者中,分别有6831、1279和1036名患者接受了哌柏西利、瑞博西尼和阿贝西利联合AI治疗。sIPTW后各治疗组之间的基线特征总体平衡。sIPTW后的中位[95%置信区间(CI)]rwPFS在哌柏西利组、瑞博西尼组和阿贝西利组中分别为22.7(21.6 - 23.8)、22.9(21.0 - 25.6)和22.9(20.2 - 26.5)个月。sIPTW后,瑞博西尼与哌柏西利之间(调整后风险比0.97,95%CI 0.88 - 1.07)、阿贝西利与哌柏西利之间(0.96,0.86 - 1.06)以及阿贝西利与瑞博西尼之间(0.98,0.86 - 1.12)的rwPFS均无显著差异(所有P>0.05)。各亚组和敏感性分析的结果总体一致。

结论

我们的研究是迄今为止最大的真实世界CDK4/6i比较有效性研究,结果表明在HR阳性/HER2阴性mBC患者中,1L哌柏西利、瑞博西尼和阿贝西利联合AI治疗的rwPFS无显著差异。

https://cdn.ncbi.nlm.nih.gov/pmc/blobs/0dfa/12424423/f1f8e679a99e/gr4.jpg
https://cdn.ncbi.nlm.nih.gov/pmc/blobs/0dfa/12424423/b058c7644f8a/ga1.jpg
https://cdn.ncbi.nlm.nih.gov/pmc/blobs/0dfa/12424423/d98e67bd51e0/gr1.jpg
https://cdn.ncbi.nlm.nih.gov/pmc/blobs/0dfa/12424423/46d0693b2ac5/gr2.jpg
https://cdn.ncbi.nlm.nih.gov/pmc/blobs/0dfa/12424423/ffb8f7e3b51f/gr3.jpg
https://cdn.ncbi.nlm.nih.gov/pmc/blobs/0dfa/12424423/f1f8e679a99e/gr4.jpg
https://cdn.ncbi.nlm.nih.gov/pmc/blobs/0dfa/12424423/b058c7644f8a/ga1.jpg
https://cdn.ncbi.nlm.nih.gov/pmc/blobs/0dfa/12424423/d98e67bd51e0/gr1.jpg
https://cdn.ncbi.nlm.nih.gov/pmc/blobs/0dfa/12424423/46d0693b2ac5/gr2.jpg
https://cdn.ncbi.nlm.nih.gov/pmc/blobs/0dfa/12424423/ffb8f7e3b51f/gr3.jpg
https://cdn.ncbi.nlm.nih.gov/pmc/blobs/0dfa/12424423/f1f8e679a99e/gr4.jpg

相似文献

1
Real-world progression-free survival of CDK4/6 inhibitors plus an aromatase inhibitor in HR-positive/HER2-negative metastatic breast cancer in United States routine clinical practice.在美国常规临床实践中,CDK4/6抑制剂联合芳香化酶抑制剂用于HR阳性/HER2阴性转移性乳腺癌的真实世界无进展生存期
ESMO Open. 2025 Sep 1;10(9):105570. doi: 10.1016/j.esmoop.2025.105570.
2
Comparative overall survival of CDK4/6 inhibitors plus an aromatase inhibitor in HR+/HER2- metastatic breast cancer in the US real-world setting.美国真实世界中CDK4/6抑制剂联合芳香化酶抑制剂用于HR+/HER2-转移性乳腺癌的总生存比较
ESMO Open. 2025 Jan;10(1):104103. doi: 10.1016/j.esmoop.2024.104103. Epub 2025 Jan 3.
3
Real-world effectiveness comparison of first-line palbociclib, ribociclib or abemaciclib plus endocrine therapy in advanced HR-positive/HER2-negative BC patients: results from the multicenter PALMARES-2 study.一线哌柏西利、瑞博西尼或阿贝西利联合内分泌治疗在晚期激素受体阳性/人表皮生长因子受体2阴性乳腺癌患者中的真实世界疗效比较:多中心PALMARES-2研究结果
Ann Oncol. 2025 Apr 8. doi: 10.1016/j.annonc.2025.03.023.
4
First-line cyclin-dependent kinase 4 and 6 inhibitors in combination with an aromatase inhibitor for HR+/HER2- metastatic breast cancer: A real-world cost-effectiveness assessment in a US Medicare-eligible population.一线细胞周期蛋白依赖性激酶4和6抑制剂联合芳香化酶抑制剂治疗激素受体阳性/人表皮生长因子受体2阴性转移性乳腺癌:美国符合医疗保险资格人群的真实世界成本效益评估
J Manag Care Spec Pharm. 2025 Jul 30:1-12. doi: 10.18553/jmcp.2025.25063.
5
Real-World Tumor Response of Palbociclib in Combination With an Aromatase Inhibitor as First-Line Therapy in Pre/Perimenopausal Women With Metastatic Breast Cancer.帕博西尼联合芳香化酶抑制剂作为一线治疗方案用于绝经前/围绝经期转移性乳腺癌患者的真实世界肿瘤缓解情况。
Target Oncol. 2023 Jul;18(4):543-558. doi: 10.1007/s11523-023-00979-1. Epub 2023 Jul 10.
6
Real-world evidence from Japan regarding survival outcomes and treatment sequence in patients receiving CDK4/6 inhibitor plus endocrine therapy as first- or second-line treatment for hormone receptor-positive, HER2-negative advanced or metastatic breast cancer.来自日本的真实世界证据,涉及接受CDK4/6抑制剂加内分泌治疗作为激素受体阳性、人表皮生长因子受体2阴性晚期或转移性乳腺癌一线或二线治疗的患者的生存结果和治疗顺序。
Breast Cancer. 2025 May 20. doi: 10.1007/s12282-025-01713-7.
7
Comparative overall survival of CDK4/6 inhibitors in combination with endocrine therapy in advanced breast cancer.CDK4/6 抑制剂联合内分泌治疗晚期乳腺癌的总生存比较。
Sci Rep. 2024 Feb 7;14(1):3129. doi: 10.1038/s41598-024-53151-8.
8
Influence of ethnicity on cyclin-dependent kinase inhibitor efficacy and toxicity: A systematic review and meta-analysis.种族对细胞周期蛋白依赖性激酶抑制剂疗效和毒性的影响:一项系统评价和荟萃分析。
Breast. 2025 Feb;79:103833. doi: 10.1016/j.breast.2024.103833. Epub 2024 Nov 4.
9
Real-World Treatment Patterns and Outcomes of Palbociclib Plus an Aromatase Inhibitor for Metastatic Breast Cancer: Flatiron Database Analysis.帕博西尼联合芳香化酶抑制剂治疗转移性乳腺癌的真实世界治疗模式和结局:Flatiron 数据库分析。
Clin Breast Cancer. 2022 Aug;22(6):601-610. doi: 10.1016/j.clbc.2022.05.002. Epub 2022 May 5.
10
Nationwide real-world practice pattern and clinical data of palbociclib in HR (+), HER2 (-) metastatic breast cancer patients in Korea (KCSG BR21-15).韩国HR(+)、HER2(-)转移性乳腺癌患者中帕博西尼的全国真实世界实践模式和临床数据(KCSG BR21-15)
Breast. 2025 May 12;82:104500. doi: 10.1016/j.breast.2025.104500.

本文引用的文献

1
Real-world effectiveness comparison of first-line palbociclib, ribociclib or abemaciclib plus endocrine therapy in advanced HR-positive/HER2-negative BC patients: results from the multicenter PALMARES-2 study.一线哌柏西利、瑞博西尼或阿贝西利联合内分泌治疗在晚期激素受体阳性/人表皮生长因子受体2阴性乳腺癌患者中的真实世界疗效比较:多中心PALMARES-2研究结果
Ann Oncol. 2025 Apr 8. doi: 10.1016/j.annonc.2025.03.023.
2
Comparative overall survival of CDK4/6 inhibitors plus an aromatase inhibitor in HR+/HER2- metastatic breast cancer in the US real-world setting.美国真实世界中CDK4/6抑制剂联合芳香化酶抑制剂用于HR+/HER2-转移性乳腺癌的总生存比较
ESMO Open. 2025 Jan;10(1):104103. doi: 10.1016/j.esmoop.2024.104103. Epub 2025 Jan 3.
3
Head-to-head comparison of palbociclib and ribociclib in first-line treatment of HR-positive/HER2-negative metastatic breast cancer with real-world data from the OPAL registry.
基于OPAL注册研究的真实世界数据,对哌柏西利和瑞博西利一线治疗激素受体阳性/人表皮生长因子受体2阴性转移性乳腺癌进行头对头比较。
Int J Cancer. 2025 May 1;156(9):1770-1782. doi: 10.1002/ijc.35296. Epub 2024 Dec 20.
4
Real-world effectiveness of CDK 4/6 inhibitors in estrogen-positive metastatic breast cancer.CDK 4/6抑制剂在雌激素受体阳性转移性乳腺癌中的真实世界疗效
BJC Rep. 2024 Jun 20;2(1):44. doi: 10.1038/s44276-024-00070-w.
5
Comparative effectiveness analysis of survival with first-line palbociclib or ribociclib plus AI in HR + /HER2- advanced breast cancer (CEPRA study): preliminary analysis of real-world data from Thailand.在 HR +/HER2- 晚期乳腺癌中一线哌柏西利或瑞博西林联合 AI 的生存比较效果分析(CEPRA 研究):来自泰国真实世界数据的初步分析。
BMC Cancer. 2024 Aug 16;24(1):1018. doi: 10.1186/s12885-024-12765-x.
6
6th and 7th International consensus guidelines for the management of advanced breast cancer (ABC guidelines 6 and 7).第六和第七版晚期乳腺癌国际共识诊治指南(ABC 指南 6 和 7)。
Breast. 2024 Aug;76:103756. doi: 10.1016/j.breast.2024.103756. Epub 2024 May 28.
7
CDK4/6 inhibitors and endocrine therapy in the treatment of metastatic breast cancer: A real-world and propensity score-adjusted comparison.CDK4/6 抑制剂与内分泌治疗在转移性乳腺癌中的应用:真实世界研究与倾向评分调整比较。
Cancer Treat Res Commun. 2024;40:100818. doi: 10.1016/j.ctarc.2024.100818. Epub 2024 May 11.
8
Abemaciclib plus a nonsteroidal aromatase inhibitor as initial therapy for HR+, HER2- advanced breast cancer: final overall survival results of MONARCH 3.阿贝西利联合非甾体芳香化酶抑制剂作为 HR+/HER2-晚期乳腺癌的初始治疗:MONARCH 3 的最终总生存结果。
Ann Oncol. 2024 Aug;35(8):718-727. doi: 10.1016/j.annonc.2024.04.013. Epub 2024 May 8.
9
Overall Survival With Palbociclib Plus Letrozole in Advanced Breast Cancer.哌柏西利联合来曲唑治疗晚期乳腺癌的总生存期。
J Clin Oncol. 2024 Mar 20;42(9):994-1000. doi: 10.1200/JCO.23.00137. Epub 2024 Jan 22.
10
Raising the Bar for Real-World Data in Oncology: Approaches to Quality Across Multiple Dimensions.提高肿瘤学真实世界数据的质量标准:多维度的方法。
JCO Clin Cancer Inform. 2024 Jan;8:e2300046. doi: 10.1200/CCI.23.00046.