Suppr超能文献

改良中性粒细胞血小板评分(MNPs):结直肠癌的一种新型预后标志物。

Modified Neutrophil Platelet Scores (MNPs): A Novel Prognostic Marker in Colorectal Cancer.

作者信息

Tang Yan, Zhao Feihong, Zong Baian, Zhang Haogang

机构信息

General Surgery, The Second Affiliated Hospital of Harbin Medical University, Harbin, People's Republic of China.

出版信息

J Inflamm Res. 2025 Aug 27;18:11783-11799. doi: 10.2147/JIR.S537431. eCollection 2025.

Abstract

BACKGROUND

Inflammation can influence how tumors develop and is linked to patient outcomes. We studied a new marker called the Modified Neutrophil Platelet Score (MNPs), which uses blood neutrophil and platelet counts. This research aimed to verify if MNPs and other clinical markers help doctors better predict disease severity after surgery for people with colorectal cancer.

METHODS

We reviewed records from 503 patients with colorectal cancer. All patients had curative surgery at the Second Affiliated Hospital of Harbin Medical University (2016-2018). We collected their blood test results one week before surgery, including neutrophil, platelet, lymphocyte, and monocyte counts, plus CEA and CA199 levels. Using Kaplan-Meier analysis, we examined how MNPs relates to patients' overall survival (OS) and recurrence-free survival (RFS). We performed univariate and multivariate Cox regression analyses. To compare MNPs with other inflammation markers, we calculated time-dependent ROC curves, C-index, and Brier scores.

RESULTS

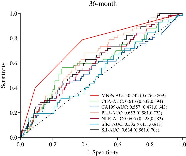
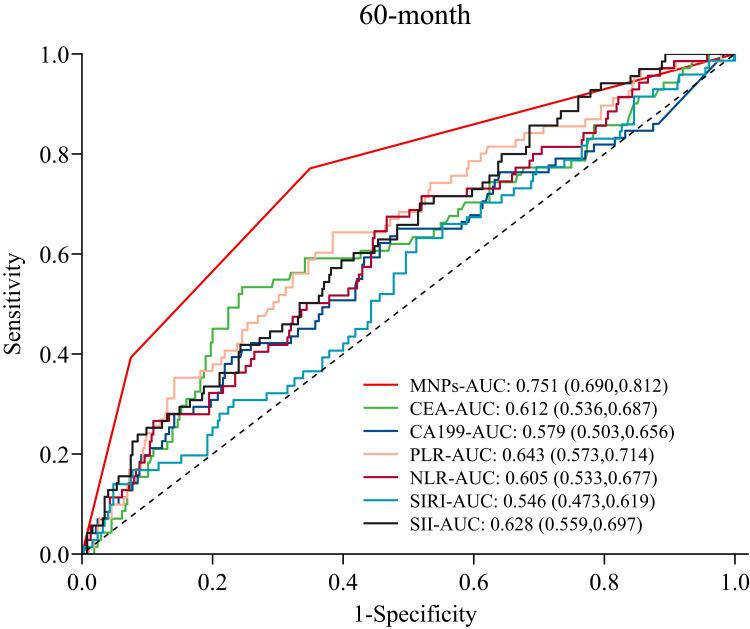
Overall Survival (OS): Patients with lower MNPs (score 0) lived longer. Compared to score 0 patients, those with score 1 had shorter survival (HR = 3.180, 95% CI 2.028-4.988, p < 0.001), and score 2 patients lived significantly shorter lives (HR = 7.430, 95% CI 4.672-11.816, p < 0.001). Recurrence-Free Survival (RFS): Patients with lower MNPs (score 0) stayed cancer-free longer. Score 1 patients had higher recurrence risk than score 0 patients (HR = 3.790, 95% CI 2.065-6.954, p < 0.001), while score 2 patients faced the highest recurrence risk (HR = 10.023, 95% CI 5.428-18.510, p < 0.001). Multivariate analysis confirmed MNPs independently predicts OS and RFS outcomes. Time-dependent ROC curves, C-index, and Brier scores showed MNPs predicts patient outcomes more accurately than other inflammation markers.

CONCLUSION

MNPs can help doctors predict outcomes for people with colorectal cancer. Patients with lower MNPs tend to live longer and stay cancer-free longer after surgery.

摘要

背景

炎症会影响肿瘤的发展方式,并与患者的预后相关。我们研究了一种名为改良中性粒细胞血小板评分(MNPs)的新标志物,它使用血液中的中性粒细胞和血小板计数。本研究旨在验证MNPs和其他临床标志物是否有助于医生更好地预测结直肠癌患者术后的疾病严重程度。

方法

我们回顾了503例结直肠癌患者的记录。所有患者均在哈尔滨医科大学附属第二医院接受了根治性手术(2016 - 2018年)。我们收集了他们术前一周的血液检测结果,包括中性粒细胞、血小板、淋巴细胞和单核细胞计数,以及癌胚抗原(CEA)和糖类抗原199(CA199)水平。使用Kaplan - Meier分析,我们研究了MNPs与患者总生存期(OS)和无复发生存期(RFS)的关系。我们进行了单因素和多因素Cox回归分析。为了将MNPs与其他炎症标志物进行比较,我们计算了时间依赖性ROC曲线、C指数和Brier评分。

结果

总生存期(OS):MNPs较低(评分为0)的患者生存期更长。与评分为0的患者相比,评分为1的患者生存期较短(HR = 3.180,95%CI 2.028 - 4.988,p < 0.001),评分为2的患者生存期明显更短(HR = 7.430,95%CI 4.672 - 11.816,p < 0.001)。无复发生存期(RFS):MNPs较低(评分为0)的患者无癌生存期更长。评分为1的患者复发风险高于评分为0的患者(HR = 3.790,95%CI 2.065 - 6.954,p < 0.001),而评分为2的患者面临的复发风险最高(HR = 10.023,95%CI 5.428 - 18.510,p < 0.001)。多因素分析证实MNPs可独立预测OS和RFS结果。时间依赖性ROC曲线、C指数和Brier评分显示,MNPs比其他炎症标志物更准确地预测患者预后。

结论

MNPs有助于医生预测结直肠癌患者的预后。MNPs较低的患者术后往往生存期更长且无癌生存期更长。

https://cdn.ncbi.nlm.nih.gov/pmc/blobs/9aad/12399861/5328fc550e59/JIR-18-11783-g0001.jpg

文献检索

告别复杂PubMed语法,用中文像聊天一样搜索,搜遍4000万医学文献。AI智能推荐,让科研检索更轻松。

立即免费搜索

文件翻译

保留排版,准确专业,支持PDF/Word/PPT等文件格式,支持 12+语言互译。

免费翻译文档

深度研究

AI帮你快速写综述,25分钟生成高质量综述,智能提取关键信息,辅助科研写作。

立即免费体验