Saavedra Ruth, Etxeberria Miren
Department of Civil and Environmental Engineering, Campus Nord, Universitat Politècnica de Catalunya·Barcelona TECH, 08034 Barcelona, Spain.
Materials (Basel). 2025 Sep 5;18(17):4168. doi: 10.3390/ma18174168.
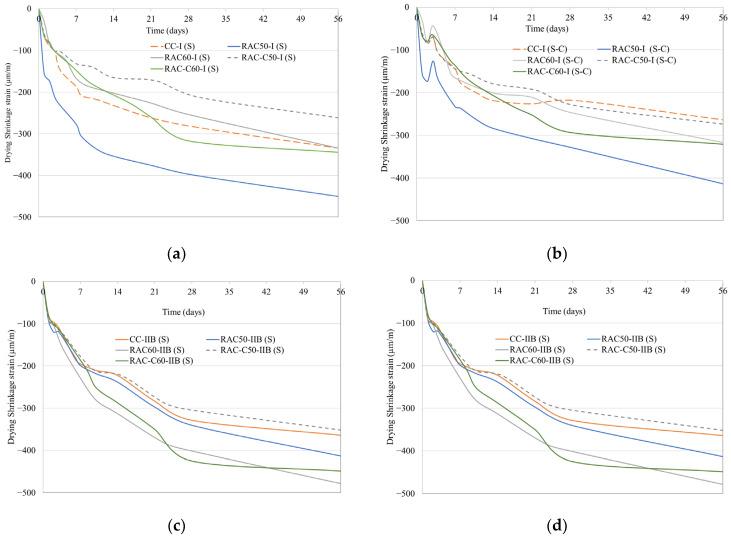
The use of supplementary cementitious materials and the CO uptake capacity of cementitious materials-including recycled concrete aggregates-not only promotes the circular economy but may also present an opportunity to increase their ecoefficiency, thus improving the shrinkage and durability properties of concretes. This study analyses the impact of carbonated recycled aggregates and CO curing on improving the properties of commercial structural self-compacting concrete. Recycled aggregate concretes (RACs) were produced using 50% and 60% coarse recycled concrete aggregate (RCA), in carbonated and uncarbonated forms, and two types of cement-ordinary Portland cement (CEM I) and CEM II/B-M Portland composite cement containing 24% less clinker than CEM I-all with similar compressive strengths. After evaluating the CO curing process, the physical, mechanical, shrinkage, and durability properties (including suction and carbonation resistance) of the concretes were assessed. The properties of the RACs were compared with those achieved by conventional concrete, to generate insights for developing a highly sustainable concrete manufacturing process. Taking all the assessed properties into account, the CO curing process improved concrete's properties. In addition, RAC-C50-I concrete (using CEM I with carbonated RCA) and RAC50-II (using CEM IIB and uncarbonated RCA) exhibited the greatest durability, resulting in reductions in sorptivity values of 40% and 45%, and decreases in the carbonation coefficient of 16% and 21%, respectively, compared to concrete without CO curing.