• 文献检索
  • 文档翻译
  • 深度研究
  • 学术资讯
  • Suppr Zotero 插件Zotero 插件
  • 邀请有礼
  • 套餐&价格
  • 历史记录
应用&插件
Suppr Zotero 插件Zotero 插件浏览器插件Mac 客户端Windows 客户端微信小程序
定价
高级版会员购买积分包购买API积分包
服务
文献检索文档翻译深度研究API 文档MCP 服务
关于我们
关于 Suppr公司介绍联系我们用户协议隐私条款
关注我们

Suppr 超能文献

核心技术专利:CN118964589B侵权必究
粤ICP备2023148730 号-1Suppr @ 2026

文献检索

告别复杂PubMed语法,用中文像聊天一样搜索,搜遍4000万医学文献。AI智能推荐,让科研检索更轻松。

立即免费搜索

文件翻译

保留排版,准确专业,支持PDF/Word/PPT等文件格式,支持 12+语言互译。

免费翻译文档

深度研究

AI帮你快速写综述,25分钟生成高质量综述,智能提取关键信息,辅助科研写作。

立即免费体验

5-羟基赖氨酸捕获赖氨酸5,6-氨基变位酶的自杀失活构象状态。

5-Hydroxylysine Captures the Suicidally-Inactivated Conformational State of Lysine 5,6-Aminomutase.

作者信息

Maity Amarendra Nath, Chen Jun-Ru, Ke Ting-Xi, Ke Shyue-Chu

机构信息

Department of Physics, National Dong Hwa University, Hualien 97401, Taiwan.

Department of Occupational Safety and Health, Chang Jung Christian University, Tainan 711301, Taiwan.

出版信息

Int J Mol Sci. 2025 Sep 3;26(17):8561. doi: 10.3390/ijms26178561.

DOI:10.3390/ijms26178561
PMID:40943480
原文链接:https://pmc.ncbi.nlm.nih.gov/articles/PMC12429584/
Abstract

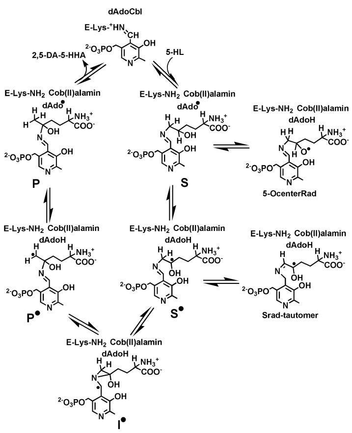
The ability of enzymes to access various conformational states is often essential for their catalytic activity. Lysine 5,6-aminomutase (5,6-LAM), a pyridoxal 5'-phosphate (PLP) and 5'-deoxyadenosylcobalamin (dAdoCbl)dependent enzyme, catalyzes 1,2-amino shift in lysine isomers by shuttling between an open conformational state and a closed conformational state. Nevertheless, suicide inactivation of 5,6-LAM is an obstacle to the realization of its potential as a biocatalyst. In this work, the fate of the reaction of 5-hydroxylysine, an analogue of lysine, is investigated using spectroscopic and computational methods. Although 5-hydroxylysine does not afford any product, results obtained from UV-visible and electron paramagnetic resonance (EPR) spectroscopies demonstrate that initial steps of the catalytic cycle are performed with it. Simulation of the weakly spin-coupled spectrum estimates an intermediate distance between the PLP substrate-based radical and Co(II) in comparison to the that in the open state and the closed state. This distinct conformational state, different from the open state and the closed state, is alluded to in its putative role in suicide inactivation and denoted as the suicidally-inactivated state. Our findings highlight the emergence of EPR spectroscopy as a powerful tool to uncover the hidden conformations in radical enzymes. These results provide new insights into the suicide inactivation of dAdoCbl-dependent enzymes.

摘要

酶进入各种构象状态的能力通常对其催化活性至关重要。赖氨酸5,6-氨基变位酶(5,6-LAM)是一种依赖于磷酸吡哆醛(PLP)和5'-脱氧腺苷钴胺素(dAdoCbl)的酶,通过在开放构象状态和封闭构象状态之间穿梭来催化赖氨酸异构体中的1,2-氨基转移。然而,5,6-LAM的自杀失活是阻碍其作为生物催化剂发挥潜力的一个障碍。在这项工作中,使用光谱学和计算方法研究了赖氨酸类似物5-羟基赖氨酸的反应命运。尽管5-羟基赖氨酸没有产生任何产物,但紫外可见光谱和电子顺磁共振(EPR)光谱获得的结果表明,催化循环的初始步骤是与之进行的。与开放状态和封闭状态相比,对弱自旋耦合光谱的模拟估计了基于PLP底物的自由基与Co(II)之间的中间距离。这种不同于开放状态和封闭状态的独特构象状态,在其自杀失活的假定作用中有所提及,并被称为自杀失活状态。我们的研究结果突出了EPR光谱作为揭示自由基酶中隐藏构象的强大工具的出现。这些结果为依赖dAdoCbl的酶的自杀失活提供了新的见解。

https://cdn.ncbi.nlm.nih.gov/pmc/blobs/5877/12429584/9405995ab675/ijms-26-08561-g005.jpg
https://cdn.ncbi.nlm.nih.gov/pmc/blobs/5877/12429584/5aeafb56c05a/ijms-26-08561-sch001.jpg
https://cdn.ncbi.nlm.nih.gov/pmc/blobs/5877/12429584/9405995ab675/ijms-26-08561-g005.jpg
https://cdn.ncbi.nlm.nih.gov/pmc/blobs/5877/12429584/5aeafb56c05a/ijms-26-08561-sch001.jpg
https://cdn.ncbi.nlm.nih.gov/pmc/blobs/5877/12429584/9405995ab675/ijms-26-08561-g005.jpg

相似文献

1
5-Hydroxylysine Captures the Suicidally-Inactivated Conformational State of Lysine 5,6-Aminomutase.5-羟基赖氨酸捕获赖氨酸5,6-氨基变位酶的自杀失活构象状态。
Int J Mol Sci. 2025 Sep 3;26(17):8561. doi: 10.3390/ijms26178561.
2
Prescription of Controlled Substances: Benefits and Risks管制药品的处方:益处与风险
3
7,8-Dihydroxyflavone is a direct inhibitor of human and murine pyridoxal phosphatase.7,8-二羟基黄酮是人类和鼠类磷酸吡哆醛的直接抑制剂。
Elife. 2024 Jun 10;13:RP93094. doi: 10.7554/eLife.93094.
4
Short-Term Memory Impairment短期记忆障碍
5
Elbow Fractures Overview肘部骨折概述
6
Organic Synthesis Away from Equilibrium: Contrathermodynamic Transformations Enabled by Excited-State Electron Transfer.远离平衡态的有机合成:由激发态电子转移实现的反热力学转变
Acc Chem Res. 2024 Jul 2;57(13):1827-1838. doi: 10.1021/acs.accounts.4c00227. Epub 2024 Jun 21.
7
Radical triplets and suicide inhibition in reactions of 4-thia-D- and 4-thia-L-lysine with lysine 5,6-aminomutase.4-硫代-D-赖氨酸和4-硫代-L-赖氨酸与赖氨酸5,6-氨基变位酶反应中的自由基三重态和自杀抑制作用。
Biochemistry. 2009 Sep 1;48(34):8151-60. doi: 10.1021/bi900828f.
8
Exploring the mechanism of action of lysine 5,6-aminomutase using EPR and ENDOR spectroscopies.使用 EPR 和 ENDOR 光谱学探索赖氨酸 5,6-氨基变位酶的作用机制。
Methods Enzymol. 2022;669:197-228. doi: 10.1016/bs.mie.2021.12.021. Epub 2022 Jan 30.
9
Sexual Harassment and Prevention Training性骚扰与预防培训
10
A conformational sampling model for radical catalysis in pyridoxal phosphate- and cobalamin-dependent enzymes.磷酸吡哆醛和钴胺素依赖性酶中自由基催化的构象抽样模型
J Biol Chem. 2014 Dec 5;289(49):34161-74. doi: 10.1074/jbc.M114.590471. Epub 2014 Sep 11.

本文引用的文献

1
Identification of Two Distinct Stereoselective Lysine 5-Hydroxylases by Genome Mining Based on Alazopeptin Biosynthetic Enzymes.基于丙嗪肽生物合成酶的基因组挖掘鉴定出两种不同的立体选择性赖氨酸5-羟化酶。
Chemistry. 2025 Apr 4;31(20):e202404790. doi: 10.1002/chem.202404790. Epub 2025 Feb 28.
2
A constitutional isomer selective chemical proteomic strategy for system-wide profiling of protein lysine 5-hydroxylation.一种用于全系统蛋白质赖氨酸5-羟基化谱分析的结构异构体选择性化学蛋白质组学策略。
Chem Sci. 2024 Oct 8;15(44):18395-404. doi: 10.1039/d4sc05397d.
3
ENDOR Spectroscopy Reveals the "Free" 5'-Deoxyadenosyl Radical in a Radical SAM Enzyme Active Site Actually is Chaperoned by Close Interaction with the Methionine-Bound [4Fe-4S] Cluster.
电子顺磁共振波谱学揭示了活性位点中“游离”的 5'-脱氧腺嘌呤核苷自由基实际上是由与蛋氨酸结合的 [4Fe-4S] 簇的紧密相互作用所“护送”的。
J Am Chem Soc. 2024 Feb 14;146(6):3710-3720. doi: 10.1021/jacs.3c09428. Epub 2024 Feb 3.
4
Resolving Hidden Solution Conformations of Hemoglobin Using IMS-IMS on a Cyclic Instrument.利用循环仪器上的 IMS-IMS 解析血红蛋白的隐藏溶液构象。
J Am Soc Mass Spectrom. 2023 Aug 2;34(8):1559-1568. doi: 10.1021/jasms.3c00032. Epub 2023 Jul 7.
5
Mechanism of Radical Initiation in the Radical SAM Enzyme Superfamily.自由基 SAM 酶超家族中自由基引发的机制。
Annu Rev Biochem. 2023 Jun 20;92:333-349. doi: 10.1146/annurev-biochem-052621-090638. Epub 2023 Apr 4.
6
Single-molecule FRET uncovers hidden conformations and dynamics of human Argonaute 2.单分子 FRET 揭示了人类 Argonaute 2 的隐藏构象和动态。
Nat Commun. 2022 Jul 2;13(1):3825. doi: 10.1038/s41467-022-31480-4.
7
Exploring the mechanism of action of lysine 5,6-aminomutase using EPR and ENDOR spectroscopies.使用 EPR 和 ENDOR 光谱学探索赖氨酸 5,6-氨基变位酶的作用机制。
Methods Enzymol. 2022;669:197-228. doi: 10.1016/bs.mie.2021.12.021. Epub 2022 Jan 30.
8
The Nitrogen Atom of Vitamin B Is Essential for the Catalysis of Radical Aminomutases.维生素 B 中的氮原子对于催化自由基氨基转移酶是必需的。
Int J Mol Sci. 2022 May 6;23(9):5210. doi: 10.3390/ijms23095210.
9
Lysine 2,3-Aminomutase and a Newly Discovered Glutamate 2,3-Aminomutase Produce β-Amino Acids Involved in Salt Tolerance in Methanogenic Archaea.赖氨酸2,3-氨基变位酶和新发现的谷氨酸2,3-氨基变位酶可产生参与产甲烷古菌耐盐性的β-氨基酸。
Biochemistry. 2022 May 11. doi: 10.1021/acs.biochem.2c00014.
10
Metabolomic Profiling Reveals That 5-Hydroxylysine and 1-Methylnicotinamide Are Metabolic Indicators of Keloid Severity.代谢组学分析表明,5-羟赖氨酸和1-甲基烟酰胺是瘢痕疙瘩严重程度的代谢指标。
Front Genet. 2022 Feb 9;12:804248. doi: 10.3389/fgene.2021.804248. eCollection 2021.